background image

 

Product Specification – Oct 24, 2017 V.5 

 

 

 

 

 

 

 

 

 

 

 

 

 

 

 

 

 

 

 

 

 

 

 

 

 

 

 

 

 

 
 

DATA SHEET 

High Power Rating Chip Resistor 

CPW Series 

0.1% TO 5%, TCR -200 TO +400 

SIZE: 0201/0402/0603/0805/1206/1210/2010/2512 

RoHs Compliant

 

 

Towards Excellence in 

Quality, Service & Innovation

 

ASJ DS_High Power Rating Chip Resistor-CPW-html.html
background image

HIGH POWER RATING CHIP RESISTOR

 

CPW Series

 

DS-ENG-010                                                                                                                                

Page: 

2 of 18

 

 

     Towards Excellence in 

Quality, Service & Innovation

 

 

                                                                                                                 

 

Product Specification 

1.

 

SCOPE

 

1.1  

This specification is applicable to lead and halogen free CPW series high power thick 
film chip resistors.  

1.2

 

Lead free products mean lead free termination meets RoHS requirement. Pb contained in 
glass material of resistor element is exempted by RoHS directive. 

1.3

 

The products are tested and passed based on the test conditions and methods defined in     
AEC-Q200. 
 

2

 

PART NUMBERING SYSTEM 

Part Numbering is made in accordance with the following system: 

 

3

 

RATING

 

3.2

 

Rated Power 

 

3.1.1

 

Resistor Rated Power 

 

 

ASJ DS_High Power Rating Chip Resistor-CPW-html.html
background image

HIGH POWER RATING CHIP RESISTOR

 

CPW Series

 

DS-ENG-010                                                                                                                                

Page: 

3 of 18

 

 

     Towards Excellence in 

Quality, Service & Innovation

 

 

                                                                                                                 

 

Product Specification 

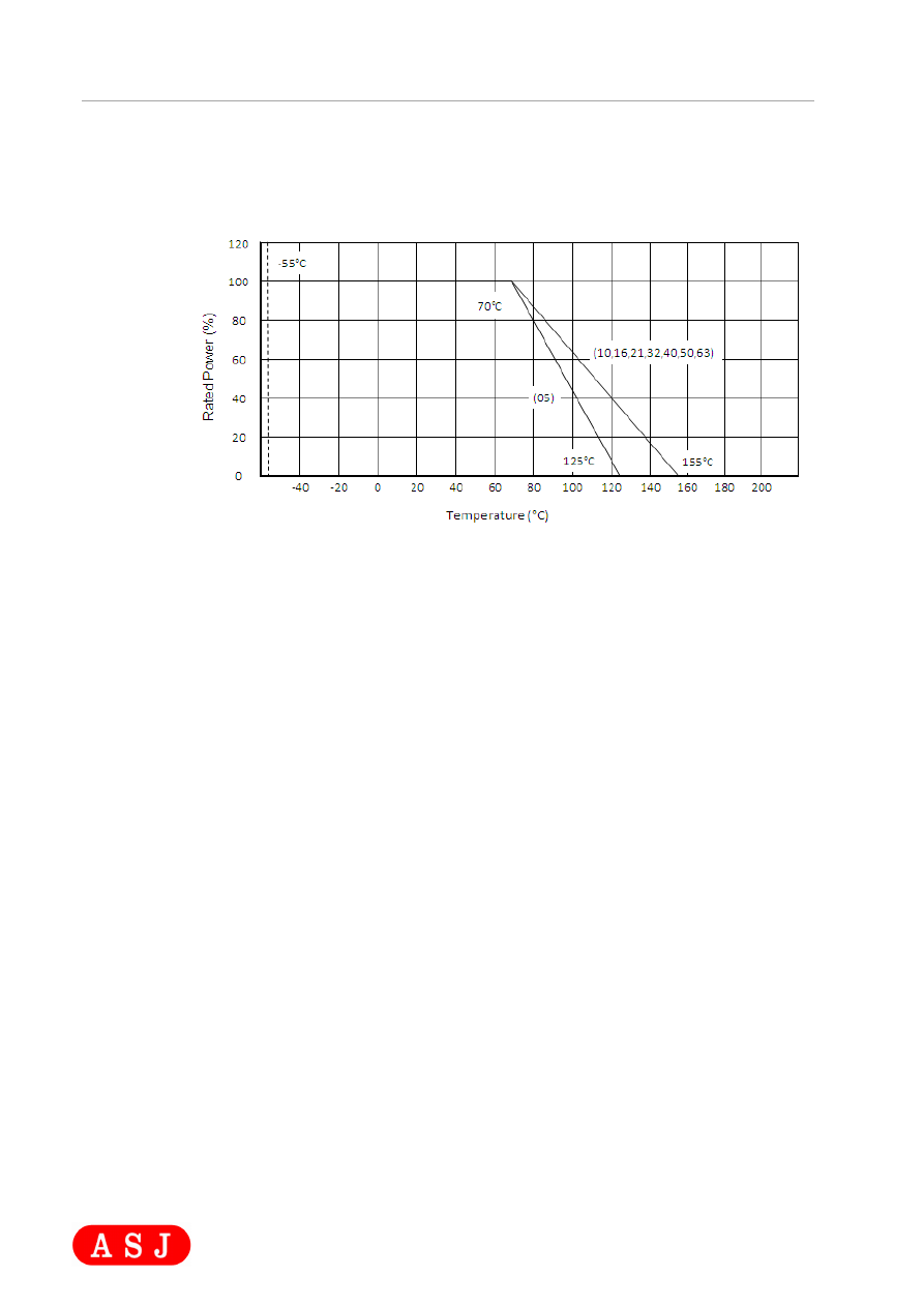
3.2

 

Power Derating Characteristics 

Rated Power shall be the load power corresponding to nominal wattage suitable for 
continuous use at 70

C ambient temperatures.  In case the ambient temperature exceeds 

70

C, reduce the load power in accordance with Derating curve in Fig. 1. 

 

Fig.1 Power Derating Characteristics 

3.3

 

Standard Atmospheric Condition 

Unless otherwise specified, the standard range of atmospheric conditions for making 
measurements and tests is as follows: 

Ambient Temperature   = + 5

C to +35

Relative Humidity 

= < 85% RH 

Air Pressure 

 

= 86 kPa to 106kPa 

If there may be any doubt about the results, measurement shall be made within the 
following limits: 

Ambient Temperature  = 20 

  2

Relative Humidity 

= 60 to 70% RH 

Air Pressure 

 

= 86 kPa to 106kPa 

 

3.4 

Operating Temperature Range 

-55

C to +155

C (Except CR05 is -55

C to +125

C) 

 

3.5 

Storage Temperature Range 

-5

C to + 40

C  

 

3.6 

Flammability Rating 

Tested in accordance to UL-94, V-0 

 

3.7 

Moisture Sensitivity Level Rating: 

Level 1 

 

3.8 

Product Assurance ASJ resistors shall warranty 24 months from the date of shipment. 

3.9

 

ASJ resistors are RoHS compliance in accordance to RoHS Directive 2011/65/EU. 

ASJ DS_High Power Rating Chip Resistor-CPW-html.html
background image

HIGH POWER RATING CHIP RESISTOR

 

CPW Series

 

DS-ENG-010                                                                                                                                

Page: 

4 of 18

 

 

     Towards Excellence in 

Quality, Service & Innovation

 

 

                                                                                                                 

 

Product Specification 

3.10

 

Resistance, Resistance Tolerance and Temperature Coefficient of Resistance. 

     

 

 

3.11

 

Rated Voltage 

The rated voltage is calculated from the rated power and nominal resistance by the 
following formula: 
 

 

 

            

 

 

 

Where   E :   Rated Voltage (V) 

 

 

P :   Rated Power (W) 
R :   Nominal Resistance (

 

In case the value calculated by the formula exceeds the maximum working voltage given 
in Section 3.1.1, the maximum working voltage in Section 3.1.1 shall be regarded as the 
rated voltage. 
 

3.12  

All product, product specifications and data are subject to change without notice to 
improve reliability, function or design or otherwise. 

 
 
 
 
 
 
 

4

 

MARKING ON PRODUCT

 

The nominal resistance shall be marked on the surface of each resistor 

ASJ DS_High Power Rating Chip Resistor-CPW-html.html
background image

HIGH POWER RATING CHIP RESISTOR

 

CPW Series

 

DS-ENG-010                                                                                                                                

Page: 

5 of 18

 

 

     Towards Excellence in 

Quality, Service & Innovation

 

 

                                                                                                                 

 

Product Specification 

Part 

Number 

Color 

Marking on Product 

CPW05 

(0201) 

No marking 

CPW10 

(0402) 

No marking 

CPW16 

(0603) 

Light Yellow

 

1)

 

Tolerance : 

 

1.0% (F) 

  

°

    Four Numerals Marking (E96 Series)     

CPW21 

(0805) 

Light Yellow 

CPW32 

(1206) 

Light Yellow  

  

°

    0603 Three Characters Marking based on  

       E-96 marking standard. 

CPW40 

(1210) 

Light Yellow 

2)

 

Tolerance;  

±

 2.0% (G), 

±

5.0% (J) 

       Three Numerals Marking 

CPW63 

(2512) 

Light Yellow 

3)  Zero ohm jumper resistor 
      The marking used shall be 0   

 

4.1

 

Numeric Numbering 

4.1.1

 

1% Tolerance : 

Four Numerals  Marking

 

First 3 digits are significant figures; fourth digit is number of zeros

Examples: 

Nominal Resistance 

Marking 

Remarks 

 

1R00 

1 X 10

0

 = 1 

10 

 

10R0 

10 X 10

0

 = 10 

100 

 

1000 

100 X 10

0

 = 100 

4.7K 

 

4701 

470 X 10

1

 = 470 0 

47K 

 

4702 

470 X 10

2

 = 470 00 

470K 

  

4703 

470 X 10

3

 = 470 000 

1M 

  

1004 

100 X 10

4

 = 100 0000 

 

4.1.2

 

0603 1% Tolerance: 

Three Character E-96 Marking Standard.

 

The first 2 digits for the 3 digits E-96 part marking standard, (Refer Table 2 
& 3).  

The third character is a letter multiplier

Nominal resistance 

Marking 

Remark 

33.2 

 

51 X 

332 X 10

-1

 

 

150 

 

18 A 

150 X 10

0

 

 

4.99K 

 

68 B 

499 X 10

1

 

 

1 0.2K 

 

02 C 

102 X 10

2

 

 

100K 

 

01 D 

100 X 10

3

 

 

 

 

4.1.2.1

 

EIA-96 Marking Scheme 

Table 2 Significant figures 

ASJ DS_High Power Rating Chip Resistor-CPW-html.html
background image

HIGH POWER RATING CHIP RESISTOR

 

CPW Series

 

DS-ENG-010                                                                                                                                

Page: 

6 of 18

 

 

     Towards Excellence in 

Quality, Service & Innovation

 

 

                                                                                                                 

 

Product Specification 

Significant 

Symbol 

Significant 

Symbol 

Significant 

Symbol 

Significant 

Symbol 

Figures 

Figures 

Figures 

Figures 

100 

01 

178 

25 

316 

49 

562 

73 

102 

02 

182 

26 

324 

50 

576 

74 

105 

03 

187 

27 

332 

51 

590 

75 

107 

04 

191 

28 

340 

52 

604 

76 

110 

05 

196 

29 

348 

53 

619 

77 

113 

06 

200 

30 

357 

54 

634 

78 

115 

07 

205 

31 

365 

55 

649 

79 

118 

08 

210 

32 

374 

56 

665 

80 

121 

09 

215 

33 

383 

57 

681 

81 

124 

10 

221 

34 

392 

58 

698 

82 

127 

11 

226 

35 

402 

59 

715 

83 

130 

12 

232 

36 

412 

60 

732 

84 

133 

13 

237 

37 

422 

61 

750 

85 

137 

14 

243 

38 

432 

62 

768 

86 

140 

15 

249 

39 

442 

63 

787 

87 

143 

16 

255 

40 

453 

64 

806 

88 

147 

17 

261 

41 

464 

65 

825 

89 

150 

18 

267 

42 

475 

66 

845 

90 

154 

19 

274 

43 

487 

67 

866 

91 

158 

20 

280 

44 

499 

68 

887 

92 

162 

21 

287 

45 

511 

69 

909 

93 

165 

22 

294 

46 

523 

70 

931 

94 

169 

23 

301 

47 

536 

71 

953 

95 

174 

24 

309 

48 

549 

72 

976 

96 

 

 

 

 

Table 3 Multiplier 

Symbol 

Multiplier 

Symbol 

Multiplier 

10

0

 

10

6

 

10

1

 

10

7

 

10

2

 

10

-1

 

10

3

 

10

-2

 

10

4

 

 

 

10

5

 

 

 

 

 

 

 

 

 

 

5

 

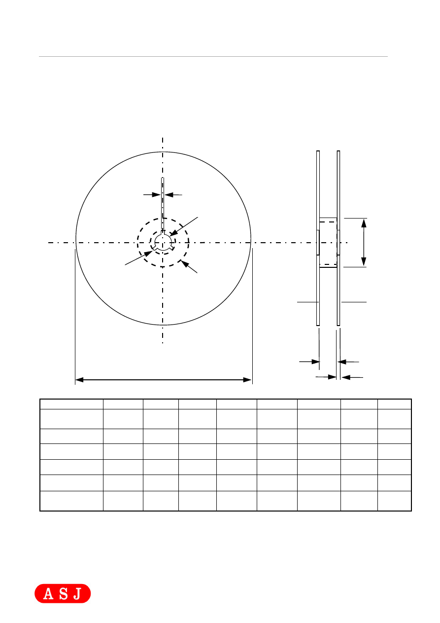
DIMENSIONS, CONSTRUCTIONS AND MATERIALS

 

5.1  Dimensions 

ASJ DS_High Power Rating Chip Resistor-CPW-html.html
background image

HIGH POWER RATING CHIP RESISTOR

 

CPW Series

 

DS-ENG-010                                                                                                                                

Page: 

7 of 18

 

 

     Towards Excellence in 

Quality, Service & Innovation

 

 

                                                                                                                 

 

Product Specification 

I

I

I

I

 

 

 

 

                                                                                                                           Unit: Inches (Millimeters) 

CODE 

I

1

 

I

2

 

 CPW05 

0.024±0.001 

0.001±0.001 

0.009±0.001 

0.006±0.002 

0.006±0.002 

(0201/0603) 

(0.60±0.03) 

(0.30±0.03) 

(0.23±0.03) 

(0.15±0.05) 

(0.15±0.05) 

CPW10 

0.040±0.004 

0.020±0.002 

0.014±0.002 

0.008±0.004 

0.010±0.004 

(0402/1005) 

(1.00±0.10) 

(0.50±0.05) 

(0.30±0.05) 

(0.20±0.10) 

(0.25±0.10) 

 CPW16 

0.061±0.004 

0.031±0.004 

0.018±0.004 

0.012±0.006 

0.012±0.006 

(0603/1608) 

(1.55±0.10) 

(0.80±0.10) 

(0.45±0.10) 

(0.30±0.15) 

(0.30±0.15) 

CPW21 

0.079±0.004 

0.049±0.004 

0.020±0.004 

0.014±0.008 

0.014±0.006 

(0805/2012) 

(2.00±0.10) 

(1.25±0.10) 

(0.50±0.10) 

(0.35±0.20) 

(0.35±0.15) 

CPW32 

0.120±0.004 

0.061±0.004 

0.020±0.004 

0.018±0.008 

0.014±0.006 

(1206/3216) 

(3.05±0.10) 

(1.55±0.10) 

(0.50±0.10) 

(0.45±0.20) 

(0.35±0.15) 

CPW40 

0.120±0.004 

0.100±0.004 

0.022±0.004 

0.020±0.008 

0.020±0.008 

(1210/3225) 

(3.05±0.10) 

(2.55±0.10) 

(0.55±0.10) 

(0.50±0.20) 

(0.50±0.20) 

CPW50 

0.195±0.004 

0.096±0.004 

0.028±0.004 

0.026±0.008 

0.024±0.008 

(2010/5025) 

(4.95±0.10) 

(2.45±0.10) 

(0.70±0.10) 

(0.65±0.20) 

(0.60±0.20) 

CPW63 

0.252±0.008 

0.126±0.008 

0.027±0.004 

0.024±0.008 

0.049±0.008 

(2512/6432) 

(6.40±0.20) 

(3.20±0.20) 

(0.70±0.10) 

(0.60±0.20) 

(1.25±0.20) 

 

 

 

 

 

 
 
 

6

 

ELECTRICAL CHARACTERISTICS AND TEST CONDITIONS

 

ASJ DS_High Power Rating Chip Resistor-CPW-html.html
background image

HIGH POWER RATING CHIP RESISTOR

 

CPW Series

 

DS-ENG-010                                                                                                                                

Page: 

8 of 18

 

 

     Towards Excellence in 

Quality, Service & Innovation

 

 

                                                                                                                 

 

Product Specification 

CHARACTERISTICS  

SPECIFICATIONS 

TESTING CONDITIONS 

Resistance 

Resistance 
Temperature 
Coefficient 

Refer Section 3.10 Table 1 
 
 
 
 
 
 

MIL-STD-202 Method 304 

Measure R at t

o

=25

0

C and after 45 

minutes measure R at t=125

0

C. 

Calculation :  

TCR(ppm/

0

C)=R – R

0

   x  1   x 10

6

 

                            R

0  

        t-t

0   

  

Short Time 
Overload 

1%: ±(1.0%+0.05Ω) 
2%, 5%: ±(2.0%+0.10Ω) 

JIS C 5201-1 4.13 

Apply at 2.5 times rated voltage for 5 
seconds. Applied voltage shall not 
exceed maximum overload voltage or 
current. 

Insulation 
Resistance 

> 10G 

 

 
 
 

JIS C 5201-1 4.6 

Apply (100 

±15) 

VDC for 1 minute. 

Measured the insulation resistance 
between electrodes and insulating 
enclosure or between electrodes and 
base.   
 
 
 
 
 

Dielectric 
Withstanding 
Voltage 

No failure of resistor such as short-
circuit, burning, breakdown. 

JIS C 5201-1 4.7 

Apply 500VAC for 1 minute  
± 5secs. for chip 

 0805.   

Apply 300VAC for 1 minute  
± 5secs. for chip 0402 & 0603 
Apply 50Vac for 1 minute   
± 5secs for 0201 
 
 
 
 
 
 
The variation in relation to the initial 
resistance shall be within + 1%. 

 

 

 

 
 

ASJ DS_High Power Rating Chip Resistor-CPW-html.html
background image

HIGH POWER RATING CHIP RESISTOR

 

CPW Series

 

DS-ENG-010                                                                                                                                

Page: 

9 of 18

 

 

     Towards Excellence in 

Quality, Service & Innovation

 

 

                                                                                                                 

 

Product Specification 

Core Body Strength  ±(1.0%+0.05Ω) 

JIS-C5201-1 4.15 

Applied R0.5 test probe at its central 
part then pushing 10N

1.02Kgf

 

force on the sample for 10 sec. 
 

Noise 

1~9 
10~99 
100~999 
1K~9.9K 
10K~99.9K 
100K~999.9K 
>1M 

-10dB(0.32

v/v) 

- 5 dB(0.52

v/v) 

0   dB(1.0

v/v) 

10 dB(3.2

v/v) 

18 dB(5.6

v/v) 

20 dB(10

v/v) 

30 dB(32

v/v) 

JIS C 5201-1 4.12

 

V

0

(dB) = T-

f

(T-S)-D 

 

Terminal Strength 

Test 1: No evidence of mechanical 
damage. 
 
Test 2 :  
CPW05 ≥3N 
Other type: ≥5N

 

JIS C 5201-1 4.16  

Test 1 : The resistor mounted on the 
board applied 5N pushing force on the 
sample rear for 10sec.  
Test 2 : The resistor mounted on the 
board slowly add force on the sample 
rear until the sample termination is 
breakdown.

 

Resistance to 
Solvent 

CPW05:±(1.0%+0.05Ω) 
Other type:±(0.5%+0.05Ω) 

JIS-C5201-1 4.29 

The tested resistor be immersed into 
isopropyl alcohol of 20~25°C for 5 
minutes, then the resistor is left in the 
room for 48 hrs, and measured its 
resistance variance rate. 

No evidence of mechanical damage. 
No G2 over coating and Sn layer by 
leaching. 

Solderability 

> 95% Coverage at all terminal 

JIS-C5201-1 4.17  

Preconditioning: 
Put the tested resistor in the apparatus 
of PCT, at a temperature of 105°C, 
humidity of 100% RH, and pressure of 
1.22×105 Pa for a duration of 4 hours. 
Then after left the tested resistor in 
room temperature for 2 hours or more. 
Test method: 
The resistor be immersed into solder 
pot in temperature 235±5°C for 2 sec, 
then the resistor is left as placed under 
microscope to observed its solder area.  

10  Resistance to 

soldering heat 
 

Δ

R%=±(1.0%+0.05Ω) 

 

JIS-C5201-1 4.18  

Solder bath method 
Resistor dipped entirely in solder bath 
of 260

5

C for 10 sec.  

After which the sample shall be left at 
ambient temperature for 1~ 2 hrs 
before measurement. 

 

 
 

ASJ DS_High Power Rating Chip Resistor-CPW-html.html
background image

HIGH POWER RATING CHIP RESISTOR

 

CPW Series

 

DS-ENG-010                                                                                                                                 

Page: 

10 of 

18

 

 

     Towards Excellence in 

Quality, Service & Innovation

 

 

                                                                                                                 

 

Product Specification 

 
 
 
 
 
 
 

11  Vibration 

1%: ±(0.5%+0.05Ω) 
2%, 5%: ±(1.0%+0.05Ω) 

JIS-C5201-1 4.22 

The resistor shall be mounted by its 
terminal leads to the supporting 
terminals on the solid table. 
The entire frequency range: from 10 
Hz to 55 Hz and return to 10 
Hz, shall be transferred in 1 min. 
Amplitude :1.5 mm 
This motion shall be applied for a 
period of 2 hours in each 3 
mutually perpendicular directions (a 
total of 6 hrs)

 

12  Low Temperature 

Operation 

1%:±(0.5%+0.05Ω) 
2%, 5%:±(1.0%+0.05Ω) 

MIL-R-55342D 4.7.4 

Put the tested resistor in the chamber at 
room temperature 25

C. Decreasing the 

temperature to -55

C and keep the 

temperature at -55

C for 1 hour. Then 

load the rated voltage for 45 minutes 
on, and 15 minutes off. Then leaving 
the tested resistor in room temperature 
for 8±1 hours, and measure its 
resistance variance rate. 

13  Resistance Dry 

Heat 

1%:±(1.0%+0.05Ω) 
2%, 5%:±(2.0%+0.10Ω) 

JIS-C5201-1 4.25 

Put tested resistor in chamber under 
temperature 155±5

C for 

1000 +48/-0 hours. Then leaving the 
tested resistor in room 
temperature for 60 minutes, and 
measure its resistance variance 
rate. 

14  Loadlife 

1%:±(0.5%+0.05Ω) 

2%, 5%:±(2.0%

0.10Ω) 

JIS-C5201-1 4.25  

At 70

2

C Apply DC rated voltage at 

90minutes On, 30minutes Off  for 1000 
hours 
Sample shall be left at ambient 
temperature for 1~ 2 hrs after test 
before measuring final resistance. 

15  Loading Life in 

Moisture 

1%:±(0.5%+0.05Ω) 

2%, 5%:±(2.0%

0.10Ω) 

JIS-C5201-1 4.24 

Put the tested resistor in the chamber 
under temperature 40±2

C, relative 

humidity 90~95% and load the rated 
voltage for 90 minutes on, 30 minutes 
off, total 1000 hours. Then leaving the 
tested resistor in room temperature for 
60 minutes, and measure its resistance 
variance rate. 

ASJ DS_High Power Rating Chip Resistor-CPW-html.html
background image

HIGH POWER RATING CHIP RESISTOR

 

CPW Series

 

DS-ENG-010                                                                                                                                 

Page: 

11 of 

18

 

 

     Towards Excellence in 

Quality, Service & Innovation

 

 

                                                                                                                 

 

Product Specification 

 

6.1

 

Soldering Profile 

 

6.1.1 

IR Reflow  

 

 

 

 

6.1.2

 

Wave Soldering 

 
 

                         

 

 
 
 

ASJ DS_High Power Rating Chip Resistor-CPW-html.html
background image

HIGH POWER RATING CHIP RESISTOR

 

CPW Series

 

DS-ENG-010                                                                                                                                 

Page: 

12 of 

18

 

 

     Towards Excellence in 

Quality, Service & Innovation

 

 

                                                                                                                 

 

Product Specification 

 
 

7

 

TAPING 

 

7.1

 

Structure of Taping 

 

                                

 

 
 

             

 

 
 
 
 
 

ASJ DS_High Power Rating Chip Resistor-CPW-html.html
background image

HIGH POWER RATING CHIP RESISTOR

 

CPW Series

 

DS-ENG-010                                                                                                                                 

Page: 

13 of 

18

 

 

     Towards Excellence in 

Quality, Service & Innovation

 

 

                                                                                                                 

 

Product Specification 

 
 
 

7.2

 

Dimension 

 

7.5.1 

Dimension of Punched Paper Tape Carrier System (CPW – 05, 10) 

   

 

 
 

Remark : Pitch tolerance over any 10 pitches of Po is 

 0.2 mm 

 
 
 
 
 
               Dimension of Punched Paper Tape Carrier System (CPW- 05, 10) 

 

 

 

 

 

 

 

 

 

 

 

 

                              (Unit: mm) 

Code 

P

1

 

CPW05 

0.68 ± 0.5 

0.38 ± 0.03 

8.00 ± 0.10 

1.75 ± 0.10 

3.50 ± 0.05 

2.0 

 0.05 

CPW10 

1.15 

 0.1 

0.65 

 0.05 

8.0 

 0.2 

1.75 

 0.1 

3.5 

 0.05 

2.0 

 0.05 

 

Code 

P

2

 

P

0

 

D

0

 

T

2

 

CPW05 

2.0 

 0.05 

4.0 

 0.5 

1.5

−0

+0.1

 

0.28 ± 0.02  0.42 + 0.1/-0 

CPW10 

2.0 

 0.05 

4.0 

 0.5 

1.5

−0

+0.1

 

0.40 ± 0.5 

0.42 + 0.2/-0 

 
 
 
 
 
 
 
 
 
 
 
 

ASJ DS_High Power Rating Chip Resistor-CPW-html.html
background image

HIGH POWER RATING CHIP RESISTOR

 

CPW Series

 

DS-ENG-010                                                                                                                                 

Page: 

14 of 

18

 

 

     Towards Excellence in 

Quality, Service & Innovation

 

 

                                                                                                                 

 

Product Specification 

 
 
 

7.5.2

 

Dimension of Punched Paper Tape Carrier System /Plastic Embossed 
Carrier System  
(CPW-16, 21, 32, 40, 50, 63) 
 

 

 

Remark :  Pitch tolerance over any 10 pitches of Po is 

 0.2 mm 

 
 
              Dimension of Punched Paper Tape Carrier System (CPW - 16, 21, 32, 40) 
 

Code 

P1 

Do 

T2 

CPW16 

1.9 

 0.1 

1.1 

 0.1 

 

 

 

 

 

0.60 

 0.1 

CPW21 

2.4 

 0.1 

1.65 

 0.1 

8.0 

 0.2 

1.75 

 0.1 

3.5 

 0.05 

4.0 

 0.1 

1.5

−0

+0.1

 

0.75 

 0.1 

CPW32 

3.5 

 0.1 

1.9 

 0.1 

 

 

 

 

 

0.75 

 0.1 

CPW40 

3.5 

 0.1 

2.8 

 0.1 

 

 

 

 

 

0.75 

 0.1 

              

Dimension of Plastic Embossed Carrier System (CPW -50, 63) 

 

Code 

P1 

Do 

T1 

CPW50 

5.4 

 0.2 

2.9 

 0.2 

12 

 0.2 

1.75 

 0.1 

5.5 

 0.05 

4.0 

 0.1 

1.5

−0

+0.1

 

0.2

 0.10 

CPW63 

6.6 

 0.2 

3.6 

 0.1 

 
 
 
 
 
 
 
 
 
 
 
 
 
 
 

ASJ DS_High Power Rating Chip Resistor-CPW-html.html
background image

HIGH POWER RATING CHIP RESISTOR

 

CPW Series

 

DS-ENG-010                                                                                                                                 

Page: 

15 of 

18

 

 

     Towards Excellence in 

Quality, Service & Innovation

 

 

                                                                                                                 

 

Product Specification 

 
 
 
 

7.7 

Packaging 

 

 
7.7.1

 

Taping 
7.7.1.1

 

Quantity – Tape and Reels 
 

Code 

Quantity 

Remarks 

CPW05 

10000 pcs 

20 000 or 50 000 pcs 

on request 

CPW10 
CPW16 

 

10 000 or 20 000 pcs 

on request 

CPW21 

5000 pcs 

CPW32 

 

CPW40 

5000 pcs 

CPW50 

4000 pcs 

CPW63 

4000 pcs 

 
 

7.7.2

 

Identification 

Production  label  that  indicates  the  8  digits  lot  number,  product  type,  resistance 
value and tolerance shall be pasted on the surface of each reel. 
 

 

 
 
 

7.7.3

 

Packaging Reel Box 

 

Dimension 

Reel Box 

Number of Reels 

185 × 60 × 186 mm 

25K Box 

185 × 120 × 186 mm 

50K Box 

10 

 
 
 

ASJ DS_High Power Rating Chip Resistor-CPW-html.html
background image

HIGH POWER RATING CHIP RESISTOR

 

CPW Series

 

DS-ENG-010                                                                                                                                 

Page: 

16 of 

18

 

 

     Towards Excellence in 

Quality, Service & Innovation

 

 

                                                                                                                 

 

Product Specification 

 
 
 
 
 

7.7.4

 

Reel Dimensions 

 

 

 

Model 

W

7”Reel (5K) 
(except 0402 10K) 

178

2.0 

80min 

13

 0.2 

2.0

 0.5 

11

 0.1 

14.4 max 

1.0

 0.1 

1.0 

7”Reel (4K) 

178

2.0 

60min 

13

 0.2 

2.0

 0.5 

13

1.0 

14.4 max 

1.2

 0.1 

1.0 

7”Reel (2K)  
(for 2512) 

178

2.0 

60min 

13.5

0.5 

2.0

 0.5 

13.8

0.5 

14.4 max 

1.2

 0.1 

1.0 

10”Reel (10K) 

254

2.0 

60min 

13

 0.2 

2.0

 0.5 

11

 1.0 

14.4 max 

1.5

 0.1 

1.0 

13”Reel 
(20K) 

330

2.0 

60min 

13

 0.2 

2.0

 0.5 

11

 1.0 

14.4 max 

2.1

 0.1 

13”Reel 
(20K) 

330

1.0 

100

13.5

 

0.5 

2~3

 0.5 

10

 0.5 

 
 
 
 
 
 
 

W

t

A

r

D

C

B

B

W

1

 

ASJ DS_High Power Rating Chip Resistor-CPW-html.html
background image

HIGH POWER RATING CHIP RESISTOR

 

CPW Series

 

DS-ENG-010                                                                                                                                 

Page: 

17 of 

18

 

 

     Towards Excellence in 

Quality, Service & Innovation

 

 

                                                                                                                 

 

Product Specification 

SMC 

 
 
 
 
 
 

8

 

SURFACE MOUNT LAND PATTERNS 

 

 
 
 
 
 
 
 
 

Unit: Inch (mm)      

 

 

 

 

 

 

 

 

 

 

 

 

 

 

 

 

 

 

Product ( Type ) 

Land Dimension 

 

CPW05 (0201) 

0.012 [0.30] 

0.04  [1.00] 

0.016 [ 0.40 ] 

CPW10 (0402) 

0.020 [0.50] 

0.059 [1.50] 

0.024 [ 0.60 ] 

CPW16 (0603) 

0.031 [0.80] 

0.083 [2.10] 

0.035 [ 0.90 ] 

CPW21 (0805)  

0.047 [1.20] 

0.118 [3.00] 

0.051 [ 1.30 ] 

CPW32 (1206) 

0.087 [2.20] 

0.165 [4.20] 

0.063 [ 1.60 ] 

CPW40 (1210) 

0.087 [2.20] 

0.165 [4.20] 

0.110 [ 2.80 ] 

CPW50 (2010) 

0.138 [3.50] 

0.240 [6.10] 

0.110 [ 2.80 ] 

CPW63 (2512) 

0.150 [3.80] 

0.315 [8.00] 

0.138 [ 3.50 ] 

ASJ DS_High Power Rating Chip Resistor-CPW-html.html
background image

HIGH POWER RATING CHIP RESISTOR

 

CPW Series

 

DS-ENG-010                                                                                                                                 

Page: 

18 of 

18

 

 

     Towards Excellence in 

Quality, Service & Innovation

 

 

                                                                                                                 

 

Product Specification 

 

 

 

 

9

 

REVISION HISTORY  

 

REVISION 

DATE 

   CHANGE NOTIFICATION           DESCRIPTION 

Version. 1 

February 
13,2015 

 

         Initial Release 

Version.2 

 

Version.3 

 

 

 

 

 

Version.4 

 

 

 

 

 

Version.5 

December 
15,2015 

May 

23,2016 

 

 

 

 

October 

28,2016 

 

 

 

 

October 

24, 2017 

 

 

 

 

ECO No.: 002/2016 

 

 

 

 

 

 

 

 

 

PCN-ECO: 01/2016 

 

Surface Mount Land 
Pattern updated 

Revise clause 2 and 
7.7.1.1, change 
CPW63 packaging 
from 2000 pcs to 4000 
pcs , Revise clause 5.1, 
change Chip 
dimension CPW63 (H) 
from 1.05±0.1 to 
0.70±0.10,  

Update clause 2, Part 
Numbering System 

Update clause 3.10, 
Resistance, Resistance 
Tolerance and TCR 
information 

Update clause 7.7.4, 
13” reel information 

Typo error on clause 2 

Typo error on 3.10