background image

POWR-GARD

®

  

PRODUCTS CATALOG

© 2018 Littelfuse, Inc.

FORM PF101N

Rev: 1-C-020818

Specifications, descriptions and illustrative material in this literature are as accurate as known at the time of publication, but are subject to changes without notice. 

Visit Littelfuse.com for the most up-to-date technical information. 

Disclaimer Notice –

 Information furnished is believed to be accurate and reliable. However, users should independently evaluate the suitability of and test each product selected for their own 

applications. Littelfuse products are not designed for, and may not be used in, all applications. 

Read complete Disclaimer Notice at www.littelfuse.com/product-disclaimer.

Littelfuse products are certified to many standards around 

the world. To check certifications on specific product please 

refer to the product datasheet on Littelfuse.com. 

Littelfuse World Headquarters

8755 West Higgins Road, Suite 500

Chicago, IL 60631, USA

Technical Support:

 

Tel: +1-800-TEC-FUSE
E-mail: techline@littelfuse.com

Customer Service:

Tel: +1-800-227-0029
E-mail: PG_CSG@littelfuse.com

Fax: +1-847-787-5190

Littelfuse SymCom

222 Disk Drive
Rapid City, SD 57701, USA

Technical Support

:

Tel: +1-800-832-3873
E-mail: techline@littelfuse.com

Customer Service:

 

Tel: +1-800-227-0029
E-mail: PG_CSG@littelfuse.com

Fax: + 1-605-348-5685

Littelfuse Startco

3714 Kinnear Place
Saskatoon, SK S7P 0A6
Canada
Tel: +1-306-373-5505
Fax: +1-306-374-2245
E-mail: techline@littelfuse.com

PO
WR-GAR

D

®

 PRODUCTS CA

TAL
OG

SURGE SUPPRESSION PRODUCTS

AUTOMOTIVE & ELECTRONIC FUSES

UL GENERAL INDUSTRIAL FUSES

HIGH-SPEED FUSES

MEDIUM VOLTAGE FUSES

PRE-ENGINEERED PANELS & SWITCHES

SOLAR PRODUCTS

BLOCKS & HOLDERS

POWRGARD-Electrical-Product-Catalog-html.html
background image

Kaunas

Amsterdam

Muzquiz

Bellingham

Matamoros

Boston

Essen

Saskatoon

Piedras Negras

Seoul

Tokyo

Tsukuba

Suzhou

Wuxi

Beijing

Shanghai

Kunshan

Taipei

Chu-pei

Dongguan

Shenzhen

Hong Kong

Lipa City

Singapore

São Paulo

Legnago

Bremen

Deventer

Lauf

Ozegna

Troy

Eagle Pass

Manaus

Lake Mills

Rapid City

Chicago

Champaign

Freemont

Local Resources for a 

GLOBAL

 Market

Visit Technical Resources at Littelfuse.com

  

Technical information is only a click away. The Littelfuse Technical 

Resources contains datasheets, product manuals, whitepapers, 

application guides, demos, on-line design tools, and more.

Protection Relays & Controls Catalog 

(PF130N)   

The comprehensive line of electronic and microprocessor-
based protection relays, timers, and flashers safeguard 
equipment and personnel to prevent expensive damage, 
downtime or injury due to electrical faults.

POWR-GARD

®

 Solar Catalog 

(PF140N)

POWR-GARD Solar Products are designed specifically 
for photovoltaic applications where issues such as heat, 
efficiency, longevity and global standards impact the choices  
in selecting circuit protection.

An Extension of Your Team

Technical Hotline (800-TEC-FUSE or 800-832-3873)

 

Littelfuse engineers are a phone call away to help identify potential issues and provide 
product recommendations to resolve problems. 

Application and Field Support

 

Our experienced product and application engineers work step-by-step with customers 
from design to installation to determine the best solution.

...plus 30% more fuse blocks!

NEW  POWR-SPEED

®

High-Speed Fuses

NEW 1500V Solar Fuses & Holders

LFPXV Series  

Touch-Safe Fuse Holders

SPNH Series  

Solar Fuse

LFNH Series 

Fuse Terminal 

Covers

LFNH Series

Fuse Holder

POWRGARD-Electrical-Product-Catalog-html.html
background image

1

littelfuse.com 

© 2018 Littelfuse POWR-GARD

®

 Products Catalog

Fuses

Class L Fuses ..................................................................................... 8
Class RK1 Fuses ............................................................................... 13
Class RK5 Fuses .............................................................................. 16
Class K5 Fuses .................................................................................20
Class J Fuses ................................................................................... 21
Class T Fuses ................................................................................... 24
Class G Fuses ...................................................................................26
Class CC  / CD Fuses .........................................................................27
UL Supplemental / 10 x 38 Fuses .....................................................30

Electronic Fuses & Automotive Blade

Glass / Electronic  Fuses ...................................................................33
Blade / Automotive  Fuses ................................................................36

Medium Voltage  Fuses 

Medium Voltage Fuses Overview ...................................................39
R-Rated Medium Voltage Fuses .....................................................40
E-Rated Medium Voltage Fuses ..................................................... 42
Medium Voltage Live Parts .............................................................48

Telecommunication Products

Telecommunications Power Fuses ..................................................49

Special Purpose Fuses

Solar Products Overview ................................................................57
1500 Vdc Solar Rated Fuses ...........................................................58
1000 Vdc Solar Rated Fuses ........................................................... 61
Forklift / Stud  Mounted  Fuses .........................................................64
Plug Fuses ........................................................................................65
MEGA

®

 Bolt-Down Fuses ...............................................................65

In-Line Fuses & Holders ..................................................................66
Cable Limiters ..................................................................................67
Cylindrical Fuses ..............................................................................68
OEM Custom Products ....................................................................69
High-Speed Square Body Fuses ..................................................... 71
High-Speed Round-Body Fuses ...................................................... 76
Traditional High-Speed Fuses .........................................................82

Fuse Blocks & Holders

LF Series Fuse Blocks Overview .....................................................89
Class J Fuse Blocks ......................................................................... 91
Class H ,  K5 & R Fuse Blocks ...........................................................94
Class T Fuse Blocks ....................................................................... 100
Class G Fuse Blocks ....................................................................... 105
Class CC / CD & Midget Fuse Blocks ............................................. 107
LF Series Fuse Block Covers ..........................................................112
Solar Rated Fuse Blocks .................................................................113
Dead Front Fuse Holders ................................................................119
Miscellaneous Fuse Blocks & Holders ......................................... 120
High-Speed Semiconductor Fuse Blocks ...................................... 128
Distribution &  Splicer Blocks ........................................................ 131
In-Line Fuse Holders ...................................................................... 149

Pre-Engineered Solutions

LCP Fused Selective Coordination Panel ...................................... 157
LPS Series POWR-Switch (Shunt Trip Disconnect)...................... 159

Suppression Products

Industrial Varistor Products .......................................................... 163
Surge Suppression Fuses .............................................................. 165
BVSP Suppression Fuses............................................................... 166

Miscellaneous Accessories

Fuse Reducers ............................................................................... 168
Box Cover Units ............................................................................. 169
Fuse Replacement & Custom Kit (FRCK Series) ........................... 170
Fuse Display & Cabinet ................................................................. 171

Technical Application Guide

Fuseology Fundamentals ............................................................... 173
Selection Considerations .............................................................. 174
Time-current Curves & Peak Let-through Charts ......................... 179
Selective Coordination .................................................................. 181
UL / CSA Fuse Classes & Applications .......................................... 184
Terms & Definitions ....................................................................... 186
Motor Protection Tables................................................................ 193
Condensed Fuse Cross Reference ................................................ 196 
Alphanumeric Index of Catalog Numbers .................................... 197

Table of Contents

1

2

3

4

7

5

8

6

9

10

1

6

2

7

3

8

5

10

4

9

POWRGARD-Electrical-Product-Catalog-html.html
background image

2

© 2018 Littelfuse POWR-GARD

®

 Products Catalog

littelfuse.com

FUSE CLASS AND SELECTION CHART

UL CLASS

LITTELFUSE 

SERIES

OVERLOAD 

CHARACTERISTICS

AC RATINGS

DC RATINGS

RECOMMENDED 

FUSE BLOCKS AND 

FUSE HOLDERS

FUSE SERIES 

PAGE 

NUMBERS

VOLTAGE 

(VOLTS)

CURRENT 

(AMPERES)

INTERRUPTING 

(AMPERES)

VOLTAGE 

(VOLTS)

CURRENT 

(AMPERES)

INTERRUPTING 

(AMPERES)

L

KLPC

Time-Delay

600

200 - 6000

200K / 300K*

480

200 - 6000

20,000

8

KLLU

Time-Delay

600

601 - 4000

200,000

300

601 - 4000

20,000

9

LDC

Fast-Acting

600

150 - 2000

200,000

600

150 - 2000

50,000

10

RK1

LLNRK

Time-Delay

250

0.1 - 600

200K / 300K*

125

0.1 - 600

20,000

LFR25

13

LLSRK_ID

Time-Delay

600

0.1 - 600

300

0.1 - 600

LFR60

13

LLSRK

Time-Delay

600

0.1 - 600

300

0.1 - 600

LFR60

13

KLNR

Fast-Acting

250

1 - 600

200,000

125

1 - 600

LFR25

15

KLSR

Fast-Acting

600

1 - 600

250 

300

1 - 30 

35 - 600

LFR60

15

RK5

FLNR_ID

Time-Delay

250

35 - 600

200K / 300K*

125

35 - 600

20,000

LFR25

17

FLNR

250

0.1 - 600

125

0.1 - 600

17

FLSR_ID

600

0.1 - 600

300

0.1 - 600

LFR60

17

FLSR

600

0.1 - 600

300

0.1 - 600

17

IDSR

600

0.1 - 600

600

0.1 - 600

16

J

JTD_ID

Time-Delay

600

0.8 - 600

200K / 300K*

300 

500

0.8 - 100 

110 - 600

20,000

LFJ60 • LFPSJ

21

JTD

Time-Delay

600

0.8 - 600

21

JLS

Fast-Acting

600

1 - 600

200,000

22

T

JLLN

Fast-Acting

300

1 - 1200

200,000

160 

125

1 - 60 

70 - 1200

20,000

LFT30 • 

LSCR002 (700-800A)

24

JLLS

600

1 - 1200

300

1 - 1200

LFT60 •  

LSCR002 (700-800A)

24

CC

CCMR

Time-Delay

600

0.2 - 30

200K / 300K*

250 

250 

300 

500

0.2 - 2 

4.5 - 10 

2.25 - 4 

12 - 30

20,000

L60030C • LFPSC • 

LPSC • 571 • 572 • 

LEC • LEY

27

KLDR

Time-Delay

600

0.1 - 30

200,000

300

0.1 - 30

28

KLKR

Fast-Acting

600

0.1 - 30

200,000

300

0.1 - 30

28

CD

CCMR

Time-Delay

600

35 - 60

200K / 300K*

250

35 - 60

20,000

LFC60060

27

G

SLC

Time Lag

600 

480

0.5 - 20 

25 - 60

100,000

170

0.5 - 60

10,000

LFG600 (1/2 - 20A)

26

LFG480 (25 - 60A)

Solar

SPF

Solar

1000

1 - 30

20,000

LFPHV

62

SPFJ

600

125-450

200,000

1000

70 - 450

 20K (70 - 200A)

10K (250 - 400A)

20K (450A)

LFJ1000

63

SPFI

1000

2 - 30

20,000

Not Required

61

SPNH

1500

50 - 400

15,000

LFNH

60

SPXV

1500

6 - 30

30,000

LPXV

58

SPXI

1500

2.5 - 30

30,000

Not Required

59

K5

NLN

Fast-Acting

250

1 - 600

50,000

250

1 - 600

20K (1 - 60A) 

50K (70 - 600A)

LFH25

20

NLS

600

1 - 600

600 

500 

400 

600 

500

1 - 7 

8 - 30 

35 - 60 

70 - 200 

225 - 600

20K (1 - 60A) 

50K (70 - 600A)

LFH60

20

High-Speed

L15S

Very Fast-Acting

150

1 - 1000

200,000

150 

100

1 - 60 

70 - 1000

20,000

LSCR • 1LFS

81

L25S

250

1 - 800

250 

200

1 - 200 

225 - 800

81

L50QS

500

35-800

500

35-800

50,000

LSCR

71

L50S

10 - 800

450

10 - 800

20,000

LSCR • 1LFS

77

L60S

600

1 - 800

81

L70QS

700

35-800

700

35-800

50,000

LSCR

74

L70S

10 - 800

650

10 - 800

20,000

LSCR • 1LFS

79

Midget 

(Supplementary)

BLF

Fast-Acting

250 

125

0.5 - 15 

20 - 30

10,000

L60030M • LFPSM •  

571 • 572 • 

LEB • LEX

30

BLN

Fast-Acting

250

1 - 30

10,000

30

BLS

Fast-Acting

600 

250

0.2 - 5 

6 - 10

10,000

31

FLA

Time-Delay

125

0.1 - 30

10,000

31

FLM

Time-Delay

250

0.1 - 30

10,000

125

0.1 - 30

10,000

30

FLQ

Time-Delay

500

0.1 - 30

10,000

300

0.1 - 30

10,000

30

KLK

Fast-Acting

600

0.1 - 30

100K / 200K*

500

0.1 - 30

50,000

30

KLKD

Fast-Acting

600

0.1 - 30

100,000

600

0.1 - 30

50,000

30

KLQ

Time-Delay

600

1 - 6

10,000

31

FLU

Fast-Acting

1000

0.44/ 

11

10,000 

20,000

1000

0.44 

11

10,000 

20,000

LFPHV

31

Plug

SOO, TOO

Time-Delay

125

0.25 - 30

10,000

Box Cover Units

65

SLO, TLO

Medium Time-Delay

125

15 - 30

10,000

Telecom

L17T

Fast-Acting

170

70 - 1200

100,000

LTFD Series

50

TLN

1 - 600

LFR25

51

TLS

1 - 125

LTFD101 • 

LFT30060 (cartridge)

52

* Littelfuse

®

  self-certified

POWRGARD-Electrical-Product-Catalog-html.html
background image

3

littelfuse.com 

© 2018 Littelfuse POWR-GARD

®

 Products Catalog

UL FUSE CLASS

POWR-PRO

®

PAGE NUMBERS 

Class L

KLPC & LDC

8, 10

Class RK1

LLNRK/LLSRK/LLSRK_ID

13

Class J

JTD/JTD_ID

21

Class CC / CD

CCMR 

(

2

/

10

–60)

27

TM

Increase safety and reduce inventory  

with MROplus

Your detailed reports will include:
•  A streamlined current-limiting fuse inventory 

recommendation

•  A guide to reducing electrical hazards within your facility
•  An annual cost savings estimate

•  A detailed cross reference

Contact your local sales representative for the MROplus  
request form.

Look for the POWR-PRO

®

 logo (or green  

fuse label) for superior protection

Littelfuse POWR-GARD

®

–  

Advanced Protection and 
Facility Savings

Increase safety with POWR-PRO

®

 Fuses

•  Superior current-limitation from 

1

/

10

 – 6000 amperes

•  Type 2 “No Damage” coordination with NEMA  

and IEC motor circuits

•  Blown fuse indication (LLSRK_ID and JTD_ID Series)
•   Compact motor protection (JTD/JTD_ID, CCMR Series)
•  300,000 AIR to meet trends toward higher SCCR

POWRGARD-Electrical-Product-Catalog-html.html
background image

4

© 2018 Littelfuse POWR-GARD

®

 Products Catalog

littelfuse.com

SPXV Series Space-Saving Solar Fuse ...................58

SPXI Series In-Line Solar Fuse ................................59

SPNH Series 1500 Vdc Solar Fuse ..........................60

LPXV Series 1500 Vdc Fuse Holder .......................112

LFPXV Series 1500 Vdc Fuse Holder .................... 113

New Products............................... littelfuse.com/solar

SPFI Series 1000 Vdc In-Line Solar Fuse .................. 61

SPF Series 1000 Vdc 10x38mm Fuse....................... 62

SPFJ Series 1000 Vdc Class J Size Fuse ..................63

LPHV 1000 Vdc Fuse Holder ................................... 116

IDSR Series 600 Vdc Class RK5 Fuse ....................... 16

KLKD Series 600 Vdc 10x38mm Fuse ......................30

1500 Vdc Solar Products

600-1000 Vdc Solar Products

Look for this logo to indicate products that are used in solar applications.  
Visit our website littelfuse.com/solar for the latest updates on  
approvals, certifications, and new products.

POWR-GARD

®

 SOLAR RATED PRODUCTS

This catalog incorporates our line of products designed specifically for the growing solar industry. As global 
standards are constantly changing, Littelfuse continues to develop circuit protection products that meet the 
requirements of the evolving photovoltaic market.

Developing Next Generation 
1500 Vdc Products for High  
And Low Current Ratings

POWRGARD-Electrical-Product-Catalog-html.html
background image

5

littelfuse.com 

© 2018 Littelfuse POWR-GARD

®

 Products Catalog

Enhanced 
Overload Relays

Protect motors and 

pumps from over/

under current, over/

under voltage, phase 

issues and ground 

faults. Communication 

modules also available.

Voltage/Phase 
Monitors

A cost-effective means 

to protect motors and 

pumps from voltage 

and phase issues.

Alternating 
Relays

Start and stop up to 

four pumps or use as 

a multi-channel switch. 

Intrinsically safe 

options available.

Pump  
Controllers

Balance runtime 

between loads and can 

be used in hazardous 

locations.

 
Load Sensors

Detect if the load is 

running or if there is an 

overload or underload 

condition.

Timers & 
Flashers

Delay starting 

and stopping 

loads, cycling, and 

sequencing of motors, 

pumps, compressors, 

heaters, and lighting.

PROTECTION RELAYS & CONTROLS

Expanding our Line of Protection Relay Products

SymCom and SSAC the names you know and trust for Motor Protection, Pump Protection, and 
Timers have officially become part of the Littelfuse family. Over 1000 MotorSaver, PumpSaver, 
and SSAC parts have been added to Littelfuse.com. These robust products are used to control 
and protect applications in the Industrial Pumping, Irrigation, Water and Waste Water, HVAC/R, 
Oil and Gas, Food and Beverage, and Elevator markets. 

Find all of our new and updated product pages at 

littelfuse.com/protection-relays

FINDING 

RELAYS IS 

EASIER THAN 

EVER!

New protection relay products include:

To view the full line of protection relay products please visit www.littelfuse.com/protection-relays

POWRGARD-Electrical-Product-Catalog-html.html
background image

6

© 2018 Littelfuse POWR-GARD

®

 Products Catalog

littelfuse.com

LCP Series Coordination Panel

Ideal for circuits that require selective coordination  

such as emergency lighting circuits or essential  

electrical systems.

Features/Benefits

•  Meets NEC

®

 requirements

•  Class CC & J fuse holders have open-circuit indication
•  Fast-acting fuses protect against short circuits 
•  Feed through/sub feed lugs and 84-circuit  

configuration available

•  Ground and neutral bars
•  Copper bus standard

littelfuse.com/LCP
See page 157

LPS Series POWR-Switch

Individual fusible shunt trip disconnect switch easily 

coordinates with system’s overcurrent protection.  

Typical applications include elevator circuits.

Features/Benefits

•  Pre-engineered single unit makes procurement easy
•  Reduces labor costs up to 66%
•  Flexibility for a variety of applications
•  Control power terminal block
•  UL Listed package
•  Cu and AI wire rated
•   Lockable operating handle meets all code and  

safety requirements

littelfuse.com/LPS
See page 159

Meet NEC

®

 Requirments  

And Save Time With  

Pre

-

Engineered Solutions

POWRGARD-Electrical-Product-Catalog-html.html
background image

7

littelfuse.com 

© 2018 Littelfuse POWR-GARD

®

 Products Catalog

FUSES

UL Class L Fuses ........................................................ 8

UL Class RK1 Fuses .................................................... 13

UL Class RK5 Fuses.................................................... 16

UL Class K5 Fuses .....................................................20

UL Class J Fuses ....................................................... 21

UL Class T Fuses .......................................................24

UL Class G Fuses ......................................................26

UL Class CC/CD Fuses ................................................27

UL Supplemental Midget (10x38) Fuses ............................. 30

Table of Contents

Section Overview

Since 1927 Littelfuse

®

 has been providing fuses to the industrial 

market. You can continue to count on our manufacturing and supply 
chain processes to deliver high quality fuses when you need them. 
At Littelfuse we leverage our global reach to stay on top of the latest 
applications and standards. Whether your circuit protection needs are 
focused on OEM, MRO, or construction, we are committed to being 
your circuit protection partner and appreciate your business.

POWRGARD-Electrical-Product-Catalog-html.html
background image

8

© 2018 Littelfuse POWR-GARD

®

 Products Catalog

littelfuse.com

UL Class L F

uses

Fuses – UL Class L

CLASS L - KLPC SERIES POWR-PRO

®

 FUSES

 

 

     600 Vac • Time-Delay • 200-6000 A

Web Resources

Download TC Curves, CAD drawings and other technical 
information: 

littelfuse.com/klpc

Dimensions

Please refer to the Class L dimensions ............................. 12

Peak Let-Thru Curve

Note: For more information, see Peak Let-Thru Table on pg. 11

Ordering Information

KLPC

Description

KLPC series POWR-PRO

®

 fuses meet or exceed the most 

stringent project specifications, including silver links, silver-plated 
copper end bells, glass-reinforced melamine bodies, O-ring seals 
between body and end bells, and granular quartz fillers.

Applications

•  Switchboard mains and feeders
•  Motor control center mains
•  Large motor branch circuits
•  Protection of power circuit breakers

Features/Benefits

•  POWR-PRO

®

 Performance

•  Best-in-class time-delay withstand
•  Current-Limiting
•  Easily coordinated with other system components
•  300 kA AC Interrupting Rating (self-certified)

Specifications

Voltage Ratings  

 

AC: 600 Vac or less 

 

DC: 480 V

Ampere Range

 

200 – 6000 A

Interrupting Ratings 

 

AC:  200 kA rms symmetrical 

300 kA rms symmetrical 
(Littelfuse self-certified)

 

DC: 20,000 A

Approvals

 

AC:  Standard 248-10, Class L 

UL Listed 601–6000 A (File: E81895) 
UL Recognized 200–600 A (File: E71611) 
CSA Certified 601–6000 A (File: LR29862) 
Federal Specifications 700–6000 A 
(QPL-W-F-1814)

 

DC: Littelfuse self-certified 

Material 

Melamine body, Copper caps (silver plated)

Country of Origin  

Mexico

AMPERE RATINGS

200

500

800

1350

2000

3000

250

600

900

1400

2100

3500

300

601

1000

1500

2200

4000

350

650

1100

1600

2300

4500

400

700

1200

1800

2400

5000

450

750

1300

1900

2500

6000

SERIES

AMPERAGE

CATALOG NUMBER ORDERING NUMBER

KLPC

800

KLPC800

KLPC800.X

1

POWRGARD-Electrical-Product-Catalog-html.html
background image

9

littelfuse.com 

© 2018 Littelfuse POWR-GARD

®

 Products Catalog

UL Class L F

uses

Fuses – UL Class L

CLASS L - KLLU SERIES FUSES

600 Vac • Time-Delay • 601-4000 A

Web Resources

Download TC Curves, CAD drawings and other technical 
information: 

littelfuse.com/kllu

Dimensions

Please refer to the Class L dimensions ............................. 12

Peak Let-Thru Curve

Note: For more information, see Peak Let-Thru Table on pg. 11

Ordering Information

KLLU

Description

KLLU series fuses meet or exceed UL requirements for 
UL Class L fuses. The KLLU series offers an economical 
alternative to KLPC POWR-PRO

®

 fuse with a slightly  

higher peak let through current.

Applications

•  Service switches
•  Switchboard mains and feeders
•  Motor control center mains
•  Large motor branch circuits
•  Circuit breaker protection

Features/Benefits

•  Current-Limiting
•  Easily coordinated with other system components
•  200 kA AC Interrupting Rating

Specifications

Voltage Ratings 

 

AC: 600 Vac or less 

 

DC: 300 V

Ampere Range

 

601–4000 A

Interrupting Ratings

 

AC: 200 kA rms symmetrical 

 

DC: 20 kA rms symmetrical

Approvals

 

Standard 248-10, Class L 

 

UL Listed (File: E81895) 

 

CSA Certified (File: LR29862) 

 

DC: Littelfuse self-certified

Material 

Melamine body, Copper caps (silver plated)

Country of Origin  

Mexico

AMPERE RATINGS  

601

750

1000

1400

1800

3000

650

800

1200

1500

2000

3500

700

900

1350

1600

2500

4000

SERIES

AMPERAGE

CATALOG NUMBER ORDERING NUMBER

KLLU

601

KLLU601

KLLU601.X

1

POWRGARD-Electrical-Product-Catalog-html.html
background image

10

© 2018 Littelfuse POWR-GARD

®

 Products Catalog

littelfuse.com

UL Class L F

uses

CLASS L - LDC SERIES POWR-PRO

®

 FUSES

 

 

     600 Vac/dc • Fast Acting • 150-2000 A

Description

High DC voltage and interrupting ratings make the  
POWR-PRO

®

 LDC ideal for DC applications. The DC 

interrupting performance exceeds UL listing requirements.

Applications

•  Solar inverter and array protection
•  UPS protection especially for large battery circuits
•  DC distribution and variable speed drives
•  Mass transit systems

Features/Benefits

•  POWR-PRO

®

 Performance

•  Extremely Current-Limiting
•  600 Vac/dc rated
•  200 kA AC Interrupting Rating
•  50 kA DC Interrupting Rating

Specifications

Voltage Ratings 

 

600 Vac/dc or less

Ampere Range

 

150–2000 A

Interrupting Ratings

 

AC: 200 kA rms symmetrical 

 

DC:  50 kA

Time Constant

 

16 ms

Approvals

 

Standard 248-10, Class L 

 

UL Listed 601–2000 A (File: E81895) 

 

UL Recognized 150–600 A (File: E71611) 

 

CSA Certified 800-2000 A (File: LR29862)

Material 

Melamine body, Copper caps (silver plated)

Country of Origin  

Mexico

AMPERE RATINGS

150

450

750

1201

1601

200

500

800

1300

1800

250

600

900

1350

1900

300

601

1000

1400

2000

350

650

1100

1500

400

700

1200

1600

Web Resources

Download TC curves, CAD drawings and other technical 
documents: 

littelfuse.com/ldc

Dimensions

Please refer to the Class L dimensions ............................. 12

Peak Let-Thru Curve

Note: For more information, see Peak Let-Thru Table on pg. 11

SERIES

AMPERAGE

CATALOG NUMBER ORDERING NUMBER

LDC

700

LDC700

0LDC700.X

Ordering Information

LDC

Fuses – UL Class L

1

POWRGARD-Electrical-Product-Catalog-html.html
background image

11

littelfuse.com 

© 2018 Littelfuse POWR-GARD

®

 Products Catalog

UL Class L F

uses

SHORT CIRCUIT 

CURRENT*

APPARENT RMS SYMMETRICAL CURRENT FOR VARIOUS FUSE RATINGS

800 A

1200 A

1600 A

2000 A

3000 A

4000 A

5000 A

6000 A

5,000

5,000

5,000

5,000

5,000

5,000

5,000

5,000

5,000

10,000

8,800

10,000

10,000

10,000

10,000

10,000

10,000

10,000

15,000

10,500

13,500

15,000

15,000

15,000

15,000

15,000

15,000

20,000

12,000

15,000

19,000

20,000

20,000

20,000

20,000

20,000

25,000

13,000

16,000

21,000

24,000

25,000

25,000

25,000

25,000

30,000

14,000

18,000

23,000

26,000

30,000

30,000

30,000

30,000

35,000

15,000

19,000

24,000

27,000

32,000

35,000

35,000

35,000

40,000

16,000

20,000

25,000

28,000

34,000

40,000

40,000

40,000

50,000

17,000

22,000

27,000

31,000

37,000

42,500

50,000

50,000

60,000

18,000

24,000

29,000

34,000

40,000

46,000

52,000

60,000

80,000

20,000

26,000

32,000

37,000

44,000

51,000

57,000

70,000

100,000

21,000

27,000

34,000

40,000

46,000

57,000

65,000

75,000

150,000

23,000

31,000

38,000

44,000

54,000

67,000

75,000

87,000

200,000

24,000

34,000

42,000

46,000

57,000

70,000

80,000

95,000

Current-Limiting Effects of KLPC (600 V) Fuses

Current-Limiting Effects of LDC (600 V) Fuses

SHORT CIRCUIT 

CURRENT*

APPARENT RMS SYM MET RI CAL CURRENT FOR VARIOUS FUSE RATINGS

800 A

1200 A

1600 A

2000 A

5,000

5,000

5,000

5,000

5,000

10,000

8,500

10,000

10,000

10,000

15,000

9,750

14,000

15,000

15,000

20,000

10,500

15,000

19,000

20,000

25,000

11,500

16,000

21,000

25,000

30,000

12,000

17,000

22,000

26,000

35,000

12,500

18,000

23,000

28,000

40,000

13,500

19,000

24,000

30,000

50,000

14,000

21,000

26,000

32,000

60,000

15,000

22,000

28,000

34,000

80,000

16,000

24,000

30,000

36,000

100,000

18,000

25,000

33,000

40,000

150,000

20,000

30,000

38,000

44,000

200,000

23,000

32,000

41,000

46,000

*Prospective RMS Sym met ri cal Amperes Short-Circuit Current

Note: Data derived from Peak Let-Thru Curves

SHORT-CIRCUIT 

CURRENT*

APPARENT RMS SYMMETRICAL CURRENT FOR VARIOUS FUSE RATINGS

800 A

1200 A

1600 A

2000 A

3000 A

4000 A

5,000 

5,000

5,000

5,000

5,000

5,000

5,000

10,000 

10,000

10,000

10,000

10,000

10,000

10,000

15,000 

11,900

15,000

15,000

15,000

15,000

15,000

20,000 

13,000

18,500

20,000

20,000

20,000

20,000

25,000 

14,000

20,000

25,000

25,000

25,000

25,000

30,000 

14,500

21,000

26,500

30,000

30,000

30,000

35,000 

15,000

22,000

28,500

34,000

35,000

35,000

40,000 

16,000

23,000

30,000

35,000

37,000

40,000

50,000 

17,000

24,000

32,000

38,000

39,000

44,000

60,000 

18,000

26,000

34,000

42,000

43,000

50,000

80,000 

19,000

28,000

36,000

44,000

46,000

54,500

100,000 

21,000

30,000

38,000

46,000

48,000

57,500

150,000 

24,000

35,000

44,000

50,000

51,000

68,000

200,000 

26,000

38,000

48,000

53,000

60,000

74,000

Current-Limiting Effects of KLLU (600 V) Fuses

CLASS L CURRENT-LIMITING EFFECTS  

Fuses – UL Class L

1

POWRGARD-Electrical-Product-Catalog-html.html
background image

12

© 2018 Littelfuse POWR-GARD

®

 Products Catalog

littelfuse.com

UL Class L F

uses

CLASS L SERIES DIMENSIONS

B

C

J

F

M

FIG.1

A

A

B

C

J

D E F

N

M

FIG.2

D E F

A

B

C

G

H

N

M

J

 

FIG. 3

B

D

G

A F

H

J

M

FIG. 5

N

M

G

D E F

A

B

C

H

J

FIG. 4

K

L

AMPERES

FIG. 

NO.

DIMENSIONS INCHES (mm)

A

B

C

D

E

F

G

H

J

K

L

M

N

150-800

1

3

3

4

 

(95.3)

5

3

4

(146.1)

6

3

4

(171.5)

 —

8

5

8

(219.1)

2

(50.8)

2

1

2

(63.5)

3

8

(9.5)

5

8

 x 1

1

8

(15.9) x (28.6)

— 

900-1200

2

3

3

4

(95.3)

5

3

4

(146.1)

6

3

4

(171.5)

9

1

4

(235.0)

9

1

2

(241.3)

10

3

4

(273.1)

2

(50.8)

2

1

2

(63.5)

3

8

(9.5)

5

8

 x 

3

4

(15.9) x (19.1)

5

8

 x 1

1

8

 

(15.9) x (28.6)

1300-1600

2

3

3

4

(95.3)

5

3

4

(146.1)

6

3

4

(171.5)

9

1

4

(235.0)

9

1

2

(241.3)

10

3

4

(273.1)

2

3

8

(60.3)

3

(76.2)

7

16

(11.1)

5

8

 x 

3

4

(15.9) x (19.1)

5

8

 x 1

1

8

 

(15.9) x (28.6)

1800-2000

2

3

3

4

(95.3)

5

3

4

(146.1)

6

3

4

(171.5)

9

1

4

(235.0)

9

1

2

(241.3)

10

3

4

(273.1)

2

3

4

(69.9)

3

1

2

(88.9)

1

2

(12.7)

5

8

 x 

3

4

(15.9) x (19.1)

5

8

 x 1

1

8

 

(15.9) x (28.6)

2100-2500

3

4

(101.6)

5

3

4

(146.1)

6

3

4

(171.5)

9

1

4

(235.0)

9

1

2

(241.3)

10

3

4

(273.1)  

1

5

8

(41.3)

1

3

4

(44.5)

3

1

2

(88.9)

5

(127.0)

3

4

(19.1)

5

8

 x 

3

4

(15.9) x (19.1)

5

8

 x 1

1

8

 

(15.9) x (28.6)

2501-3000

3

4

(101.6)

5

3

4

(146.1)

6

3

4

(171.5)

9

1

4

(235.0)

9

1

2

(241.3)

10

3

4

(273.1)

1

5

8

(41.3)

1

3

4

(44.5)

4

(101.6)

5

(127.0)

3

4

(19.1)

5

8

 x 

3

4

(15.9) x (19.1)

5

8

 x 1

1

8

 

(15.9) x (28.6)

3500-4000

4

4

(101.6)

5

3

4

(146.1)

6

3

4

(171.5)

9

1

4

(235.0)

9

1

2

(241.3)

10

3

4

(273.1)

1

3

4

(44.5)

3

1

4

(82.6)

4

3

4

(120.7)

5

3

4

(146.1)

3

4

(19.1)

5

8

 x 1

3

8

(15.9) x (34.9)

5

8

 x 1

3

8

(15.9) x (34.9)

4500-5000

5

4

(101.6)

5

3

4

(146.1)

9

1

4

(235.0)

10

3

4

(273.1)

1

5

8

(41.3)

3

1

4

(82.6)

5

1

4

(133.4)

7

1

8

(181.0)

1

(25.4)

5

8

 DIA.

(15.9)

— 

6000

5

4

(101.6)

5

3

4

(146.1)

9

1

4

(235.0)

10

3

4

(273.1)

1

5

8

(41.3)

3

1

4

(82.6)

5

1

4

(133.4)

7

1

8

(181.0)

1

(25.4)

5

8

 DIA.

(15.9)

Dimensions

Fuses – UL Class L

1

POWRGARD-Electrical-Product-Catalog-html.html
background image

13

littelfuse.com 

© 2018 Littelfuse POWR-GARD

®

 Products Catalog

UL Class RK1 F

uses

Note: For more information, see Peak Let-Thru Table on pg. 14

Fuses – UL Class RK1

CLASS RK1 – LLNRK • LLSRK • LLSRK_ID SERIES FUSES

 

 

     250/600 Vac • Dual Element • Time-Delay • 

1

/

10

-600 A

Description

RK1 fuses are extremely current-limiting fuses meaning they 

greatly reduce or eliminate damage to circuits and equipment under 

short-circuit conditions. Replacing existing Class H, K and RK5 fuses 

with RK1 fuses is one of the easiest ways to immediately improve 

the protection of plant workers and equipment.

Applications

•  All general purpose circuits
•  Motors
•  Transformers
•  Safety upgrades

Features/Benefits

•  POWR-PRO Performance
•  Indication available
•  Dual-element design
•  Extremely Current-Limiting
•  IEC Type 2 “No Damage” protection to IEC and NEMA 

type motor starters

•  Indicating and DIN mount fuse holders available

Specifications

Voltage Ratings 

 

600 Vac/300 Vdc (LLSRK/LLSRK_ID)

 

250 Vac/125 Vdc (LLNRK)

Interrupting Ratings

 

AC:  200 kA rms symmetrical 

300 kA rms symmetrical 

(Littelfuse self-certified)

 

DC: 20 kA

Ampere Range

 

1/10 – 600 A

Approvals

 

AC:  Standard 248-12, Class RK1 

UL Listed (File: E81895) 

CSA Certified (File: LR29862)

 

DC:  Littelfuse self-certified 

Federal Specification WF-1814 

(QPL- W-F-1814)

AMPERE RATINGS

1

/

10

1

8

/

10

1

/

4

25

80

250

15

/

100

1

/

8

3

7

30

90

300

2

/

10

1

/

4

2

/

10

8

35

100

350

1

/

4

4

/

10

1

/

2

40

110

400

3

/

10

6

/

10

4

10

45

125

450

4

/

10

8

/

10

1

/

2

12

50

150

500

1

/

2

2

5

15

60

175

600

6

/

10

1

/

4

6

/

10

17 

1

/

2

70

200

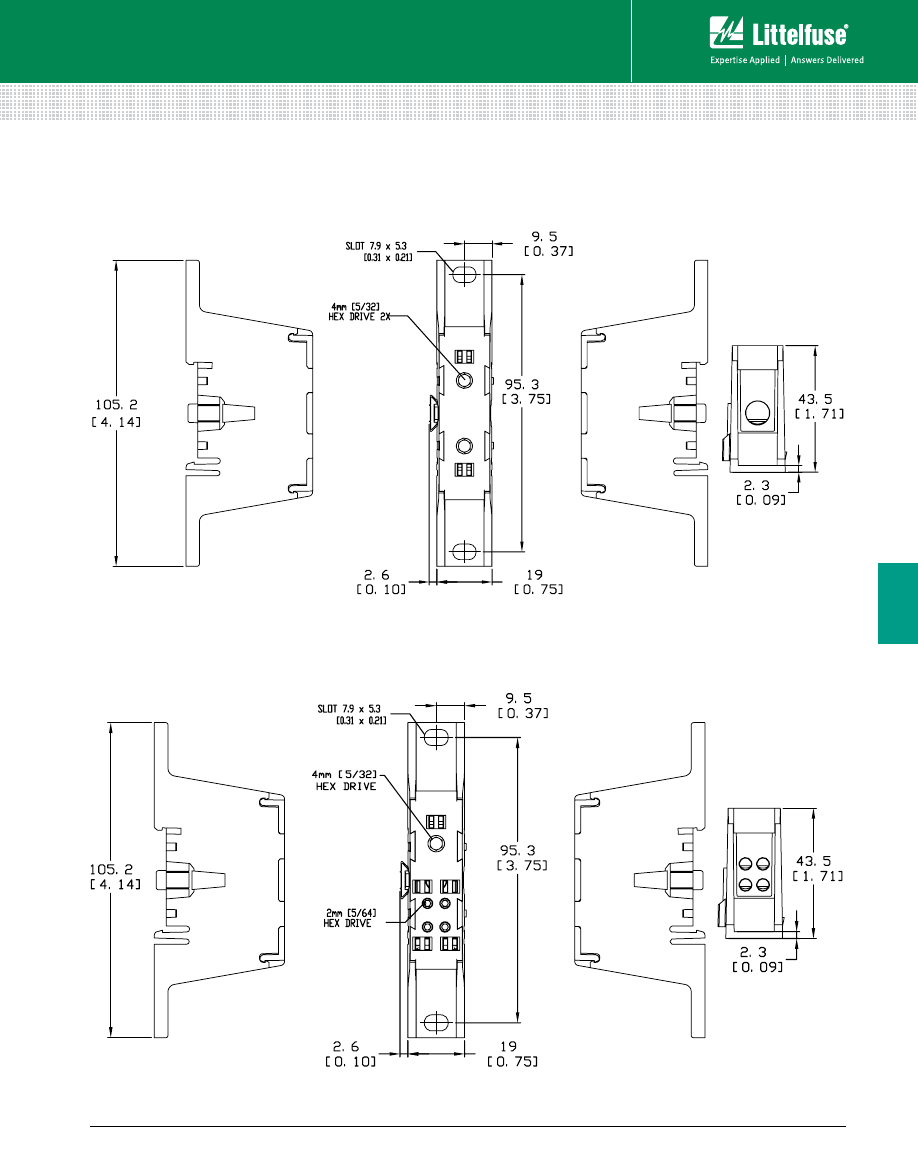
8

/

10

1

/

2

6

20

 75*

225

Note: All LLSRK_ID fuses rated 1 amp and above are Indicator

®

 fuses. 

*75 A is only available for the 600 V.

Recommended Fuse Holders

LFR60 Series • LFR25 Series ............................................ 94

1,000

10,000

100,000

PEAK 

LET-

TH

R

U

 IN

 AM

PER

ES

600A -

400A -

200A -

100A -

60A -

30A -

12A -

5A -

3.5A -

10

100

10

100

1,000

10,000

100,000

AVAILABLE FAULT CURRENT

SYMMETRICAL  R.M.S.  AMPERES

BASIS FOR DATA:

TEST VOLTAGE:  600V

TIME CONSTANT/POWER FACTOR:

FUSE CATALOG NUMBER:

DRAWN BY:
DATE:
REVISION:

DRAWING NO.:                                             SHEET       

PEAK LET‐THRU CHARACTERISTIC CURVES

LITTELFUSE, INC.

CHICAGO, IL. USA

LLL       
03/14/2016
A

2 OF 6

FCC05-LSRK      

LLSRK & LLSRKID 3.5A - 600A

- DATA GENERATED IN EXCEL -

Peak Let-Thru Curve (600 V)

Ordering Information

TYPE

SERIES

AMP

CATALOG 

NUMBER

ORDERING 

NUMBER

INDICATING

LLSRK_ID

60

LLSRK060ID

LSRK060.TXID

NON-INDICATING

LLSRK

60

LLSRK060

LSRK060.T

600 V

250 V

TYPE

SERIES

AMP

CATALOG 

NUMBER

ORDERING 

NUMBER

NON-INDICATING

LLNRK

80

LLNRK080

LNRK080.V

LLSRK & LLSRKID

QPL

Web Resources

Download TC Curves, CAD drawings and other technical 
information:  

littelfuse.com/llsrk 
littelfuse.com/llnrk

Dimensions

Please refer to the Class R dimensions ............................. 19

1

POWRGARD-Electrical-Product-Catalog-html.html
background image

14

© 2018 Littelfuse POWR-GARD

®

 Products Catalog

littelfuse.com

UL Class RK1 F

uses

Fuses – UL Class RK1

CLASS RK1 – LLNRK • LLSRK • LLSRK_ID SERIES FUSES

SHORT CIRCUIT 

CURRENT*

APPARENT RMS SYMMETRICAL CURRENT FOR VARIOUS FUSE RATINGS

3.5 A

5 A

12 A

30 A

100 A

200 A

400 A

600 A

 5,000 

196

251

427

586

1,764

2,821

-

-

 10,000 

247

316

538

739

2,222

3,554

6,850

8,489

 15,000 

283

362

616

845

2,544

4,069

7,842

9,718

 20,000 

312

399

677

930

2,800

4,478

8,631

10,696

 25,000 

336

430

730

1,002

3,016

4,824

9,297

11,522

 30,000 

357

456

776

1,065

3,205

5,126

9,880

12,244

 35,000 

376

481

816

1,121

3,374

5,397

10,401

12,889

 40,000 

393

502

854

1,172

3,528

5,642

10,874

13,476

 50,000 

423

541

919

1,263

3,800

6,078

11,714

14,516

 60,000 

450

575

977

1,342

4,038

6,459

12,448

15,426

 80,000 

495

633

1,075

1,477

4,445

7,109

13,700

16,979

 100,000 

533

682

1,158

1,591

4,788

7,658

14,758

18,290

 150,000 

610

781

1,326

1,821

5,481

8,766

16,894

20,936

 200,000 

671

859

1,460

2,005

6,032

9,648

18,594

23,043

Current-Limiting Effects of LLSRK and LLSRK_ID (600 V) Fuses

SHORT CIRCUIT 

CURRENT*

APPARENT RMS SYMMETRICAL CURRENT FOR VARIOUS FUSE RATINGS

30 A

60 A

100 A

200 A

400 A

600 A

 5,000 

900

1,400

2,000

2,700

4,800

5,000

 10,000 

1,100

1,900

2,700

3,500

6,200

8,500

 15,000 

1,250

2,100

3,100

4,200

7,000

9,500

 20,000 

1,400

2,400

3,500

4,600

8,000

10,800

 25,000 

1,500

2,600

3,900

5,000

8,300

11,500

 30,000 

1,600

2,800

4,000

5,250

9,000

12,000

 35,000 

1,700

2,850

4,300

5,500

9,500

12,500

 40,000 

1,800

3,000

4,600

5,800

9,800

13,500

 50,000 

1,900

3,200

4,800

6,300

10,200

14,000

 60,000 

2,000

3,500

5,200

6,700

11,000

15,000

 80,000 

2,200

3,900

5,700

7,200

12,200

16,000

 100,000 

2,300

4,000

6,000

8,100

12,700

17,000

 150,000 

2,500

4,500

6,700

9,100

14,000

19,000

 200,000 

2,600

4,800

7,000

9,700

15,000

20,000

*Prospective RMS Symmetrical Amperes Short-Circuit Current 

 

Note: Data derived from Peak Let-Thru Curves

Current-Limiting Effects of LLNRK (250 V) Fuses

Blown Fuse Indicator Assembly

Granular Quartz Filling

Precision Formed Short Circuit Element

Fiberglass Reinforced Pultruded Body

Elastomeric Silicone Overload Section

Plated End Caps

LLSRK_ID Fuses—Quality Construction 

for performance you can rely on…

Littelfuse 

LLSRK_ID

 Fuses feature true dual-element 

construction. This robust design withstands  
repeated surges within rated time delay  
without opening needlessly, eliminating  
downtime caused by power surges  
or equipment demands.

1

POWRGARD-Electrical-Product-Catalog-html.html
background image

15

littelfuse.com 

© 2018 Littelfuse POWR-GARD

®

 Products Catalog

UL Class RK1 F

uses

CLASS RK1 – KLNR / KLSR SERIES FUSES

250/600 Vac • Fast-Acting • 1-600 A

AMPERE RATINGS

1

10

40

100

250

2

12

45

110

300

3

15

50

125

350

4

20

60

150

400

5

25

70

175

450

6

30

80

200

500

8

35

90

225

600

Web Resources

Download TC Curves, CAD drawings and other technical 
information: 

 littelfuse.com/klsr 
littelfuse.com/klnr

Recommended Fuse Blocks

LFR Series ......................................................................... 94

Dimensions

Please refer to the Class R dimensions ............................. 19

05549002

Peak Let-Thru Curve (600 V)

Ordering Information

VOLTAGE

SERIES

AMP

CATALOG 

 NUMBER

ORDERING 

NUMBER

600

KLSR

90

KLSR090

KLSR090.V

250

KLNR

90

KLNR090

KLNR090.V

KLSR

Fuses – UL Class RK1

Description

KLSR and KLNR series are en economical design providing 

the safety of a RK1 fuse. The single element design  

provides fast-acting overload and short-circuit protection.
Use POWR-PRO

®

 LLNRK and LLSRK series RK1, dual-

element, time-delay fuses in all new applications requiring  

the current-limiting ability of UL Class RK1 fuses or in  

existing applications where fast-acting RK1 or RK5 fuses  

have been opening on harmless system surges such as  

motor starting currents.

Applications

•  Resistance heaters

•  Lighting circuits

•  Non-inductive loads

Features/Benefits

•  Extremely Current-Limiting

•  Indicating and DIN mount fuse blocks available

Specifications

Voltage Ratings 

 

AC:  600 Vac or less (KLSR) 

250 Vac or less (KLNR)

 

DC:  250 V (1 – 30 A KLSR); 

300 V (35 – 600 A KLSR) 

125 V (KLNR)

Ampere Range

 

1 – 600 A

Interrupting Ratings

 

AC: 200 kA rms symmetrical 

 

DC: 20 kA

Approvals

 

AC:  Standard 248-12, Class RK1 

UL Listed (File: E81895) 

CSA Certified (File: LR29862)

 

DC: Littelfuse self-certified

Material 

1-60 A: Composite body, Bronze cap (nickel plated) 

 

70-100 A: Composite body, Copper caps 

 

110-600 A: Melamine body, Copper caps

Country of Origin  

Mexico

1

POWRGARD-Electrical-Product-Catalog-html.html
background image

16

© 2018 Littelfuse POWR-GARD

®

 Products Catalog

littelfuse.com

UL Class RK5 F

uses

Fuses – UL Class RK5

CLASS RK5 – IDSR SERIES INDICATOR

®

 POWR-PRO

® 

FUSES

 

 

     600 Vac/dc • Dual Element • Time-Delay • 

1

/

10

-600 A

Ordering Information

AMPERE RATINGS

1

/

10 

6

/

10

8

/

10

4

8

30

80

225

1

/

8

8

/

10

2

1

/

2

9

35

90

250

15

/

100

1

1

/

4

5

10

40

100

300

2

/

10

1

/

8

1

/

2

6

/

10

12

45

110

350

1

/

4

1

/

4

8

/

10

6

15

50

125

400

3

/

10

4

/

10

3

1

/

4

17 

1

/

2

60

150

450

4

/

10

1

/

2

2

/

10

7

20

70

175

500

1

/

2

6

/

10

1

/

2

1

/

2

25

75

200

600

Note: All fuses rated 1A and above are Indicator

®

 fuses.

Web Resources

Download TC Curves, CAD drawings and other technical 
information: 

littelfuse.com/idsr

Recommended Fuse Blocks

LFR Series ......................................................................... 94

Dimensions

Please refer to the Class R dimensions ............................. 19

VOLTAGE

SERIES

AMP

CATALOG  

NUMBER

ORDERING  

NUMBER

600

IDSR

30

IDSR030

IDSR030.T

Description

The IDSR combines 600 Vdc capability with indication to 
provide an ideal solution for many DC applications.

Applications

•  DC circuits
•  Solar inverters
•  Motors
•  Transformers
•  Solenoids
•  Fluorescent lighting

Features/Benefits

•  POWR-PRO

®

 Performance

•  Current limiting

•  Indication

Specifications

Voltage Ratings 

 

 AC: 600 Vac or less 
DC: 600 Vdc or less

Ampere Range

 

1

/

10

 – 600 A

Interrupting Ratings

 

AC:  200 kA rms symmetrical 

300 kA rms symmetrical 
(Littelfuse self-certified)

 

DC: 20 kA

Approvals

 

 Standard 248-12, Class RK5 
UL Listed (File: E81895) 
CSA Certified (File: LR29862)

Material 

1/10-60 A: Composite body, Bronze caps 

 

70-600 A: Composite body, Copper caps

Country of Origin  

Mexico

Peak Let-Thru Curve

Note: For more information, see Peak Let-Thru Table on pg. 18

100

1000

10000

100000

1000000

100

1000

10000

100000

2000000

AVAILABLE FAULT CURRENT

SYMMETRICAL R.M.S. AMPERES

PEAK LET-THRU IN AMPER

ES

15 A

30 A

60 A

100 A

200 A

400 A

600 A

IDSR

1

POWRGARD-Electrical-Product-Catalog-html.html
background image

17

littelfuse.com 

© 2018 Littelfuse POWR-GARD

®

 Products Catalog

UL Class RK5 F

uses

Fuses – UL Class RK5

CLASS RK5 – FLNR_ID • FLSR_ID SERIES INDICATOR

®

 FUSES

250/600 Vac • Dual Element • Time Delay • 

1

/

10

-600 A

Description

Available in both Indicating and Non-Indicating versions, 
the FLNR/FLSR series of fuses set the standard for general 
purpose fuses. The dual-element design provides advanced 
short circuit and overload protection. FLSR series fuses 
provide excellent protection for all types of circuits especially 
those containing motors.

Applications

•  Service entrance switches
•  Transformers
•  Switchboard mains and feeders
•  Motor control central mains and motor branch circuits
•  All general purpose circuits

Features/Benefits

•  Indication
•  Dual-element design
•  Available without indication
•  Current limiting

Specifications

Voltage Ratings 

 

AC: 250 V (FLNR_ID); 600 V (FLSR_ID) 

   

DC:  125 V (FLNR 

1

/

10

 – 30 A); 

125 V (FLNR_ID 35 – 600 A); 

300 V (FLSR_ID)

Interrupting Ratings

 

AC:  200 kA rms symmetrical 

300 kA rms symmetrical 

(Littelfuse self-certified)

   

DC: 20 kA

Ampere Range

 

1

/

10

 – 600 A

Approvals

 

Standard 248-12, Class RK5 

   

UL Listed (File: E81895) 

   

CSA Certified (File: LR29862) 

   

Federal Specification WF-1814 

   

(QPL- W-F-1814)

Web Resources

Download TC Curves, CAD drawings and other technical 
information:  

littelfuse.com/flsr 
littelfuse.com/flnr

AMPERE RATINGS

1

/

10 

6

/

10

8

/

10

4

8

30

80

225

1

/

8

*

8

/

10

2

1

/

2

9

35

90

250

15

/

100

1

1

/

4

5

10

40

100

300

2

/

10

1

/

8

1

/

2

6

/

10

12

45

110

350

1

/

4

1

/

4

8

/

10

6

15

50

125

400

3

/

10

4

/

10

3

1

/

4

17 

1

/

2

60

150

450

4

/

10

1

/

2

2

/

10

7

20

70

175

500

1

/

2

6

/

10

1

/

2

1

/

2

25

 75

**

200

600

*FLNR only. †FLNR, FLSR, FLSR_ID only. **FLNR, FLSR, FLSR_ID only   
Note: For 

1

/

10

 – 30A 250 volt fuses, order non-indicating FLNR series fuses.

Recommended Fuse Holders

LFR60 Series • LFR25 Series ............................................ 94

Dimensions

Please refer to the Class R dimensions page 19.

Peak Let-Thru Curve (600 V)

Note: For more information, see Peak Let-Thru Table on page 18.

Ordering Information

TYPE

VOLT

SERIES AMP CATALOG 

NUMBER

ORDERING 

NUMBER

NON-INDICATING

600

FLSR

15

FLSR015

FLSR015.T

INDICATING

600

FLSR_ID

15

FLSR015ID

FLSR015.TXID

NON-INDICATING

250

FLNR

60

FLNR060

FLNR060.T

INDICATING

250

FLNR_ID

60

FLNR060ID FLNR060.TXID

QPL

FLSR_ID

1

POWRGARD-Electrical-Product-Catalog-html.html
background image

18

© 2018 Littelfuse POWR-GARD

®

 Products Catalog

littelfuse.com

UL Class RK5 F

uses

Fuses – UL Class RK5

CLASS RK5 CURRENT-LIMITING EFFECTS

SHORT-CIRCUIT CURRENT*

APPARENT RMS SYMMETRICAL CURRENT FOR VARIOUS FUSE RATINGS

30 A

60 A

100 A

200 A

400 A

600 A

5,000 

1,400

2,100

3,100

5,000

5,000

5,000

10,000 

1,550

2,500

3,900

6,500

9,500

10,000

15,000 

2,000

3,150

4,400

7,250

10,500

14,000

20,000 

2,250

3,400

5,000

8,250

12,000

16,000

25,000 

2,400

3,750

5,250

9,000

12,500

16,500

30,000 

2,550

4,100

5,600

9,500

13,500

18,000

35,000 

2,650

4,300

5,800

9,750

14,000

19,000

40,000 

2,800

4,400

6,250

10,250

15,000

20,000

50,000 

3,000

5,000

6,500

10,500

16,000

21,000

60,000 

3,200

5,250

7,000

11,500

17,000

23,000

80,000 

3,400

5,750

7,500

12,500

19,000

25,500

100,000 

3,850

6,000

8,000

13,500

21,000

27,500

150,000 

4,100

7,000

9,000

15,200

24,000

31,500

200,000 

4,300

7,500

9,750

16,500

26,000

34,000

SHORT-CIRCUIT CURRENT*

APPARENT RMS SYMMETRICAL CURRENT FOR VARIOUS FUSE RATINGS

30 A

60 A

100 A

200 A

400 A

600 A

5,000 

1,250

2,100

3,200

5,000

5,000

5,000

10,000 

1,600

2,850

4,300

7,250

10,000

10,000

15,000 

1,800

3,400

5,000

8,500

13,500

15,000

20,000 

2,250

3,800

5,500

9,500

15,750

19,000

25,000 

2,450

4,100

5,700

10,250

17,000

21,000

30,000 

2,700

4,500

6,400

10,750

18,000

23,000

35,000 

2,900

4,800

6,700

11,500

19,000

24,250

40,000 

3,000

5,000

7,250

12,000

19,500

27,000

50,000 

3,400

5,250

7,750

13,000

21,000

29,000

60,000 

3,600

5,750

8,100

14,000

22,000

30,500

80,000 

3,900

6,250

9,000

15,000

24,000

33,000

100,000 

4,300

6,750

9,750

16,500

26,000

35,000

150,000 

4,500

7,600

11,100

19,000

28,000

38,000

200,000 

4,600

8,400

12,250

21,500

30,000

40,000

Current-Limiting Effects of FLNR and FLNR_ID (250V) Fuses

*Prospective RMS Symmetrical Amperes Short-Circuit Current

Note: Data Derived from Peak Let-Thru Curves

Current-Limiting Effects of FLSR and FLSR_ID (600 V) Fuses

SHORT CIRCUIT CURRENT*

APPARENT RMS SYMMETRICAL CURRENT FOR VARIOUS FUSE RATINGS

15 A

30 A

60 A

100 A

200 A

400 A

600 A

5,000 

800

1,100

2,100

3,200

5,000

5,000

5,000

10,000 

1,100

1,600

2,900

4,300

7,300

10,000

10,000

15,000 

1,300

1,900

3,400

5,000

8,600

13,700

15,000

20,000 

1,400

2,200

3,800

5,600

9,500

15,500

19,000

25,000 

1,500

2,500

4,100

6,100

10,300

16,700

21,500

30,000 

1,600

2,700

4,500

6,500

11,000

17,700

23,500

35,000 

1,700

2,900

4,700

6,800

11,600

18,600

25,200

40,000 

1,800

3,100

5,000

7,200

12,100

19,400

26,600

50,000 

1,900

3,400

5,400

7,800

13,100

20,800

29,500

60,000 

2,000

3,600

5,800

8,300

13,900

22,000

30,600

80,000 

2,200

4,000

6,300

9,100

15,400

24,000

33,200

100,000 

2,300

4,200

6,800

9,800

16,700

25,500

35,100

150,000 

2,600

4,500

7,700

11,200

19,300

28,100

38,000

200,000 

2,800

4,600

8,400

12,400

21,400

30,000

39,600

Current-Limiting Effects of IDSR (600 V) Fuses

1

POWRGARD-Electrical-Product-Catalog-html.html
background image

19

littelfuse.com 

© 2018 Littelfuse POWR-GARD

®

 Products Catalog

Fuses – UL Class R

UL Class R F

uses

CLASS R SERIES DIMENSIONS

AMPS

FIGURE

NUMBER

SERIES

DIMENSIONS INCHES (mm)

A

B

C

D

E

F

G

H

J

K

1

/

10

–30

1

LLNRK 

KLNR

FLNR

2  (50.8)

1

2

  (12.7)

1

2

  (12.7)

9

16

  (14.3)

5

64

  (2.0)

5

32

  (4.0)

3

8

  (9.5)

 —

 —

 — 

LLSRK

KLSR

FLSR

IDSR

5  (127.0)

3

4

  (19.1)

5

8

  (15.9)

13

16

  (20.6)

3

32

  (2.4)

3

16

  (4.8)

5

8

  (15.9)

 —

 —

 — 

35 – 60

1

LLNRK

KLNR

FLNR

3  (76.2)

3

4

  (19.1)

5

8

  (15.9)

13

16

  (20.6)

3

32

  (2.4)

3

16

  (4.8)

5

  (15.9)

 —

 —

 — 

LLSRK

KLSR

FLSR

IDSR

5

1

2

  (139.7)

1  (25.4)

5

 (15.9)

1

1

16

  (27.0)

3

32

  (2.4)

1

4

  (6.4)

7

8  

(22.2)

 —

 —

 — 

70 – 100

2

LLNRK

KLNR

FLNR

5

7

8

  (149.2)

1  (25.4)

1

1

16

  (27.0) 1

1

16

  (27.0)

1

8

  (3.2)

3

4

  (19.1)

1

4

  (6.4)

9

32

  (7.1)

1

2

  (12.7)

LLSRK

KLSR

FLSR

IDSR

7

7

8

  (200.0) 1

1

4

  (31.8)

1

1

16

  (27.0) 1

5

16

  (33.3)

1

8

  (3.2)

3

4

  (19.1)

1

4

  (6.4)

9

32

  (7.1)

1

2

  (12.7)

110 – 200

2

LLNRK

KLNR

FLNR

7

1

8

  (181.0)

1

1

2

  (38.1) 1

15

32

  (37.3) 1

19

32

  (40.5)

3

16

  (4.8)

1

1

8

  (28.6)

7

16

  (11.1)

9

32

  (7.1)

11

16

  (17.5)

LLSRK

KLSR

FLSR

IDSR

9

5

8

  (244.5) 1

3

4

  (44.5) 1

15

32

  (37.3) 1

27

32

  (46.8)

3

16

  (4.8)

1

1

8

  (28.6)

7

16

  (11.1)

9

32

  (7.1)

11

16

  (17.5)

225 – 400

2

LLNRK

KLNR

FLNR

8

5

8

  (219.1)

2  (50.8)

1

15

16

  (49.2) 2

3

32

  (53.2)

1

4

  (6.4)

1

5

8

  (41.3)

5

8

  (15.9)

13

32

  (10.3)

15

16

  (23.8)

LLSRK

KLSR

FLSR

IDSR

11

5

8

  (295.3) 2

1

2

  (63.5)

2  (50.8)

2

19

32

  (65.9)

1

4

  (6.4)

1

5

8

  (41.3)

5

8

  (15.9)

13

32

  (10.3)

15

16

  (23.8)

450 – 600

2

LLNRK

KLNR

FLNR

10

3

8

  (263.5) 2

1

2

  (63.5)

2

3

8

  (60.3) 2

19

32

  (65.9)

1

4

  (6.4)

2  (50.8)

3

4

  (19.1)

17

32

  (13.5)

1

1

8

  (28.6)

LLSRK

KLSR

FLSR

IDSR

13

3

8

  (339.7)

3  (76.2)

2

13

32

  (61.1) 3

3

32

  (78.6)

1

4

  (6.4)

2  (50.8)

3

4

  (19.1)

17

32

  (13.5)

1

1

8

  (28.6)

A

F

E

C

D

G

B

A

J

K

H

B

C

F

D

70-600A

FIG. 1

FIG. 2

E

Dimensions

1

POWRGARD-Electrical-Product-Catalog-html.html
background image

20

© 2018 Littelfuse POWR-GARD

®

 Products Catalog

littelfuse.com

UL Class K5 F

uses

Fuses – UL Class K5

CLASS K5 - NLN / NLS SERIES (ONE-TIME) FUSES

250/600 Vac • “One-Time” • 1-600 A

AMPERE RATINGS

1

7

*25

*60

125

300

2

8

*30

70

150

350

3

10

*35

80

175

400

4

12

*40

90

200

450

5

*15

*45

100

225

500

6

*20

*50

110

250

600

*NLKP series available only in those amperages preceded by an asterisk.

Recommended Fuse Blocks

LFH Series ......................................................................... 94

VOLTAGE SERIES

AMP

CATALOG NUMBER ORDERING NUMBER

600

NLS

20

NLS020

0NLS020.T

250

NLN

15

NLN015

0NLN015.T

Description

NLN and NLS fuses provide low cost protection for general  

purpose feeder and branch circuits when available short  

circuit currents are less than 50 kA.

Note: Canadian Electrical Code NLKP Type P fuse available. Visit littelfuse.com/nlkp

Applications

General purpose residential and commercial circuits with  

little or no motor load.

Features/Benefits

•  Economical

•  50 kA interrupting rating

•  Indicating and DIN mount holders available

Web Resources

Download TC Curves, CAD drawings and other technical 

information:  

littelfuse.com/nln 

littelfuse.com/nls

Dimensions

Specifications

Voltage Ratings 

 

AC:  600 Vac or less (NLS)  

250 Vac or less (NLN)

 

DC:  400 V (NLS 35 – 60 A) 

500 V (NLS 8 – 30 A) (NLS 225 – 600 A) 

600 V (NLS 1 – 7 A) (NLS 70 – 200 A) 

250 V (NLN)

Ampere Range

 

1 – 600 A

Interrupting Ratings

 

AC: 50 kA rms symmetrical 

 

DC:  20 kA (1 – 60 A) 

50 kA (70 – 600 A)

Approvals

 

Standard 248-9, Class K5 

 

UL Listed (File: E81895) 

 

CSA Certified (File: LR29862)

Material 

NLS:  1-15 A: Fiber body, Bronze cap 

20-60 A: Composite body, Bronze cap 

70-600 A: Fiber body, Copper cap (tin plated)

 

NLN:  1-30 A: Ceramic body 

35-60 A: Fiber body, Bronze cap 

70-600 A: Fiber body, Copper cap (tin plated)

Country of Origin  

Mexico

Ordering Information

A

C

C

D

A

E

B

B

F D

G

FIG. 1

FIG. 2

AMPERES

REFER TO

FIG. NO.

SERIES

DIMENSIONS INCHES (mm)

A

B

C

D

E

F

G

1 – 30

1

NLN

2  (50.8)

1

2

  (12.7)

1

2

  (12.7)

9

16

  (14.3)

NLS

5  (127.0)

3

4

  (19.1)

5

8

  (15.9)

13

16

  (20.6)

35 – 60

1

NLN

3  (76.2)

3

4

  (19.1)

5

8

  (15.9)

13

16

  (20.6)

NLS

5

1

2

  (139.7)

1  (25.4)

5

8

  (15.9)

1

1

16

  (27.0)

— 

70 – 100

2

NLN

5

7

8

  (149.2)

1  (25.4)

1  (25.4)

1

1

16

  (27.0)

1

8

  (3.2)

3

4

  (19.1)

1

5

16

 (33.3)

NLS

7

7

8

  (200.0)

1

1

4

  (31.8)

1  (25.4)

1

5

16

  (33.3)

1

8

  (3.2)

3

4

  (19.1)

1

9

16

  (39.7)

110 – 200

2

NLN

7

1

8

  (181.0)

1

1

2

  (38.1)

1

3

8

  (34.9)

1

9

16

  (39.7)

3

16

  (4.8)

1

1

8

  (28.6)

1

7

8

  (47.6)

NLS

9

5

8

  (244.5)

1

3

4

  (44.5)

1

3

8

  (34.9)

1

27

32

  (46.8)

3

16

  (4.8)

1

1

8

  (28.6)

2

3

32

  (53.2)

225 – 400

2

NLN

8

5

8

  (219.1)

2  (50.8)

1

7

8

  (47.6)

2

3

32

  (53.2)

1

4

  (6.4)

1

5

8

  (41.3)

2

13

32

  (61.1)

NLS

11

5

8

  (295.3)

2

1

2

  (63.5)

1

7

8

  (47.6)

2

19

32

  (65.9)

1

4

  (6.4)

1

5

8

  (41.3)

2

7

8

  (73.0)

450 – 600

2

NLN

10

3

8

  (263.5)

2

1

2

  (63.5)

2

1

4

  (57.2)

2

19

32

  (65.9)

1

4

  (6.4)

2  (50.8)

2

7

8

  (73.0)

NLS

13

3

8

  (339.7)

3  (76.2)

2

1

4

  (57.2)

3

3

32

  (78.6)

1

4

  (6.4)

2  (50.8)

3

7

16

  (87.3) 

1

POWRGARD-Electrical-Product-Catalog-html.html
background image

21

littelfuse.com 

© 2018 Littelfuse POWR-GARD

®

 Products Catalog

Fuses – UL Class J

Web Resources

Download TC Curves, CAD drawings and other technical 
information: 

littelfuse.com/jtd

Recommended Fuse Holders

LFJ60 Series ...................................................................... 91 
LFPSJ Series (

8

10 

–60 A)

 .......................................................118

Dimensions

Please refer to the Class J dimensions ............................. 23

UL Class J F

uses

CLASS J - JTD SERIES INDICATOR

®

 POWR-PRO

®

 FUSES

 

               600 Vac  •  Time Delay  • 

8

/

10

-600 A

AMPERAGE RATINGS

8

10

2

1

4

4

1

2

10

35

90

225

600

1

2

1

2

5

12

40

100

250

1

1

4

2

8

10

5

6

10

15

45

110

300

1

1

2

3

6

17

1

2

50

125

350

1

6

10

3

2

10

7

20

60

150

400

1

8

10

3

1

2

8

25

70

175

450

2

4

9

30

80

200

500

Description

The Littelfuse POWR-PRO

®

 JTD_ID Indicator Class J fuse 

provides visual blown fuse indication and maximum protection 
in a compact package. The current-limiting time delay JTD_ID 
offers a patented design which reduces nuisance fuse 
openings.

Features/Benefits

•  POWR-PRO

®

 Performance 

•  Current-Limiting
•  IEC Type 2 Protection
•  Indication and non-indication version available
•  Indicating and DIN mount holders available

Applications

•  Fused combination motor controllers and motor  

control centers

•  Transformer protection
•  Protection for series rated molded case  

circuit-breaker panels

•  General purpose circuits

Specifications

Voltage Ratings  

AC

600 V

 

 

DC:  300 V (

8

10 

–100 A) 

500 V (110–600 A)

Amperage Range

 

8

10

–600 A

Interrupting Rating

 

AC:   200

 

kA rms symmetrical 

300kA rms symmetrical  

(Littelfuse self-certified)

 

DC:   20

 

kA

Material 

Body: Melamine 

 

Caps:  Nickel-plated Bronze (

8

10

–60 A) 

Brass (70–200 A)

 

Brass Cap with Copper Blade (225–600 A)

Approvals  

AC:  Standard 248-8, Class J 

UL Listed (File: E81895) 
CSA Certified (File: LR29862)

 

DC: Littelfuse self-certified

Country of Origin  

Mexico

TYPE

SERIES AMPERAGE CATALOG 

NUMBER

ORDERING 

NUMBER

INDICATING

JTD_ID

60

JTD60ID

0JTD060.TXID

NON-INDICATING

JTD

60

JTD60

0JTD060.T

100,000 

90,000 
80,000 
70,000 
60,000 

50,000 

40,000 

30,000 

20,000 

10,000 

9,000 
8,000 
7,000 
6,000 

5,000 

4,000 

3,000 

2,000 

100,000 
90,000 
80,000 
70,000 
60,000 

50,000 

40,000 

30,000 

20,000 

10,000 
9,000 
8,000 
7,000 
6,000 

5,000 

4,000 

3,000 

2,000 

200,000 

100,000 

90

,0

00

 

80

,0

00

 

70

,0

00

 

60

,0

00

 

50

,0

00

 

40

,0

00

 

30

,0

00

 

20

,0

00

 

10

,0

00

 

9,000 

8,000 

7,000 

6,000 

5,000 

4,000 

3,000 

2,000 

1,000 

900 

800 

700 

600 

500 

400 

300 

200 

100 

PEAK 

LET-

TH

RU

 IN

 AM

PER

ES

600A -

400A -

200A -

100A -

60A -

30A -

1,000 

900 
800 
700 
600 

500 

400 

300 

200 

100 

1,000 
900 
800 
700 
600 

500 

400 

300 

200 

100 

20

0,

00

10

0,

00

90

,0

00

 

80

,0

00

 

70

,0

00

 

60

,0

00

 

50

,0

00

 

40

,0

00

 

30

,0

00

 

20

,0

00

 

10

,0

00

 

9,

00

8,

00

7,

00

6,

00

5,

00

4,

00

3,

00

2,

00

1,

00

900 

800 

700 

600 

500 

400 

300 

200 

100 

AVAILABLE FAULT CURRENT

SYMMETRICAL  R.M.S.  AMPERES

BASIS FOR DATA:

TEST VOLTAGE:

TIME CONSTANT/POWER FACTOR:

FUSE CATALOG NUMBER:

DRAWN BY:
DATE:
REVISION:

DRAWING NO.:                                             SHEET       

PEAK LET‐THRU CHARACTERISTIC CURVES

LITTELFUSE, INC.

CHICAGO, IL. USA

LLL       
03/15/2016
A

2 OF 2

FCC05-JTD

JTD & JTDID 30A - 600A

- DATA GENERATED IN EXCEL -

Peak Let-Thru Curve

Ordering Information

Note: For more information, see Peak Let-Thru Table on page 23.

1

POWRGARD-Electrical-Product-Catalog-html.html
background image

22

© 2018 Littelfuse POWR-GARD

®

 Products Catalog

littelfuse.com

UL Class J F

uses

Fuses – UL Class J

Dimensions

Please refer to the Class J dimensions ............................. 23

CLASS J – JLS SERIES FUSES

600 VAC • Fast-Acting  • 1-600 A

AMPERE RATINGS

1

20

45

90

175

350

3

25

50

100

200

400

6

30

60

110

225

450

10

35

70

125

250

500

15

40

80

150

300

600

Description

The UL Listed Class J JLS Series fuses provide space 

saving, fast-acting overload and short-circuit protection for 

vital industrial and power conversion applications.
Littelfuse’s  JLS Series fuses offer best in class current 

limitation that prevents equipment damage from overcurrent 

faults.

Features and Benefits

• 

Superior performance in a space saving package

• 

Reliable interruption of all overcurrents with protection 

up to 200kA

• 

Extremely current limiting

• 

Fast-acting protection for surge-sensitive devices and 

components

• 

Reduces heating and magnetic effects due to 

overcurrents, extending equipment life

• 

Economical and readily available

Applications

• 

Power conversion device protection

• 

Variable speed drives

• 

Rectifiers

• 

Resistive loads

• 

Solid-state devices

10000

100000

200000

100

1000

100

1000

10000

100000

1000000

600 A
400 A

200 A
100 A

60 A

30 A

PEAK LET

-THRU IN AMPERES

AVAILABLE FAULT CURRENT

SYMMETRICAL  R. M. S.  AMPERES

05567005

TYPE

SERIES AMPERAGE

CATALOG 

NUMBER

ORDERING 

NUMBER

NON-INDICATING

JLS

110

JLS110

0JLS110.X

Ordering Information

Web Resources

Download TC curves, CAD drawings and other technical 
information: 

littelfuse.com/jls

Recommended Fuse Holders

LFJ60 Series ...................................................................... 91 
LFPSJ Series (

8

10 

–60 A)

 .......................................................118

QPL

JLS

Peak Let-Thru Curve

Specifications

Voltage Ratings

 

           600 VAC

Interrupting Ratings 

200

 

kA rms symmetrical

Ampere Range

 

1–600 A

Approvals

 

Standard 248-8, Class J 

 

UL Listed (File: E81895) 

 

CSA Certified (File: LR29862) 

 

Federal Specification WF-1814 

 (QPL-W-F-1814)

1

POWRGARD-Electrical-Product-Catalog-html.html
background image

23

littelfuse.com 

© 2018 Littelfuse POWR-GARD

®

 Products Catalog

Fuses – UL Class J

UL Class J F

uses

CLASS J DIMENSIONS AND CURRENT-LIMITING EFFECTS

A

C

D

G

F

E

H

A

B

C

D

Fig. 1

Fig. 2

Dimensions Inches (mm)

Current-Limiting Effects of JTD_ID (600 V) Fuses

SHORT CIRCUIT 

CURRENT

APPARENT RMS SYM MET RI CAL CURRENT FOR VARIOUS FUSE RATINGS

15 A

30 A

60 A

100 A

200 A

400 A

600 A

5,000

565

750

1,500

1,800

2,800

4,800

5,000

10,000

675

925

1,900

2,450

3,600

5,700

7,750

15,000

775

1,050

2,100

2,800

4,100

6,500

9,000

20,000

825

1,125

2,300

3,000

4,400

7,250

9,700

25,000

900

1,200

2,500

3,300

5,000

8,000

10,500

30,000

950

1,300

2,600

3,500

5,100

8,400

11,000

35,000

1,000

1,350

2,700

3,700

5,400

9,000

12,000

40,000

1,050

1,400

2,800

3,900

5,600

9,200

12,500

50,000

1,100

1,500

3,000

4,200

6,000

10,000

13,000

60,000

1,200

1,600

3,200

4,500

6,400

10,500

14,000

80,000

1,300

1,700

3,400

4,900

7,200

11,200

15,500

100,000

1,375

1,800

3,600

5,200

7,800

12,200

16,500

150,000

1,500

2,000

3,950

6,000

9,000

14,500

19,000

200,000

1,600

2,175

4,000

6,500

10,000

16,000

20,500

†Prospective RMS Symmetrical Amperes Short-Circuit Current

Note: Data derived from Peak Let-Thru Curves

*70-100 A JLS dimension = 1  (25.4)

AMPERES

FIGURE 

NUMBER

DIMENSIONS INCHES (mm)

A

B

C

D

E

F

G

H

1 – 30

1

2

1

4

  (57.2)

1

2

  (12.7)

13

16

  (20.6)

— 

35 – 60

1

2

3

8

  (60.3)

5

8

  (15.9)

1

1

16

  (27.0)

— 

70 – 100

2

2

5

8

  (66.7)

3

17

32

  (89.7)

3

23

32

  (94.5)

4

5

8

  (117.5)

1

1

8

  (28.6)*

3

4

  (19.1)

9

32

  (7.1)

1

8

  (3.2)

110 – 200

2

3  (76.2)

4

9

32

  (108.7)

4

15

32

  (113.5)

5

3

4

  (146.1)

1

1

2

  (38.1)

1

1

8

  (28.6)

9

32

  (7.1)

3

16

  (4.8)

225 – 400

2

3

3

8

  (85.7)

5

1

8

  (130.2)

5

3

8

  (136.5)

7

1

8

  (181.0)

2  (50.8)

1

5

8

  (41.3)

13

32

  (10.3)

1

4

  (6.4)

450 – 600

2

3

3

4

  (95.3)

5

27

32

  (148.4)

6

5

32

  (156.4)

8  (203.2)

2

1

2

  (63.5)

2  (50.8)

17

32

  (13.5)

3

8

  (9.5)

Dimensions of JTD_ID, JTD and JLS

1

POWRGARD-Electrical-Product-Catalog-html.html
background image

24

© 2018 Littelfuse POWR-GARD

®

 Products Catalog

littelfuse.com

UL Class 

T F

uses

Fuses – UL Class T

CLASS T - JLLN / JLLS SERIES FUSES   

300/600 Vac • Fast-Acting • 1-1200 A

Description

JLLN / JLLS fuses are less than 

1

/

3

 the size of comparable 

Class R fuses and are typically used for short circuit 

protection of drives and surge sensitive components.  

When rated in accordance with the NEC

®

, JLLN / JLLS  

fuses provide fast-acting overload and short circuit  

protection for non-inductive circuits and equipment.

Features/Benefits

•  Extremely current-limiting
•  Compact design
•  200 kA Interrupting Rating
•  JLLN 35-60 A available with PCB mounts (see datasheet)

Applications

•  Variable speed drive protection 
•  Compact mains switches

Specifications

Voltage Ratings 

 

 AC:  300 V  (JLLN) 

600 V (JLLS)

 

DC:  125 V  (JLLN 70 – 1200 A) 

 

       160 V  (JLLN 1 – 60 A) 

 

       300 V  (JLLS)

Interrupting Ratings

 

AC: 200 kA rms symmetrical

 

DC: 20 kA (JLLN 35-1200 A only)

Ampere Range

 

1 – 1200 A

Approvals

 

AC:  Standard 248-15, Class T 

UL Listed (File: E81895): 

JLLN (1 – 1200 A) 

JLLS (1 – 1200 A) 

CSA Certified (File: LR29862) 

JLLN/JLLS (1 – 600 A)

 

DC:  UL Listed (File: E81895): 

JLLN (35 – 1200 A) 

Littelfuse self-certified 

JLLN (1 – 30 A) 

JLLS (1 – 1200 A)

Material 

JLLN:  1-30 A: Melamine body, Bronze caps 

35-1200 A: Melamine body, Copper caps

 

JLLS:  1-30 A: Melamine body, Copper caps 

35-60 A: Melamine body, Bronze caps 

70-1200 A: Melamine body, Copper caps

Environmental

 

 RoHS  Compliant

  

*JLLS only

Web Resources

Download TC Curves, CAD drawings and other technical 
information:  

littelfuse.com/jlln 
littelfuse.com/jlls

Recommended Fuse Holders

LFT30 Series .................................................................... 100 
LFT60 Series .................................................................... 100 
LSCR Series for 70-800 A ................................................ 127

Dimensions

Please refer to the Class T dimensions .............................. 25 
Please refer to the JLLN datasheet for PCB mount 
dimensions: 

littelfuse.com/jlln

Ordering Information

AMPERE RATINGS

1

25

70

175

450

1100

2

30

80

200

500

1200

3

35

90

225

600

6

40

100

250

700

10

45

110

300

800

15

50

125

350

  900*

20

60

150

400

1000

Part Numbering System

SERIES AMP PACK

SIZE

PLATING

SUFFIX

MOUNT 

SUFFIX

CATALOG 

NUMBER

ORDERING 

NUMBER

JLLS

6

T

JLLS006

JLLS006.T

JLLN

35

V

XL

JLLN035L

JLLN035.VXL

JLLN

100

V

XP

JLLN100P

JLLN100.VXP

† 

Option is available for JLLN 35-60 A only. Premium plating is standard

JLLN  xxxx  V  —

Package Quantity

Series

Options

Amperage

T = 10 (1-60 A) 

V = 5 (70-100 A) 

X = 1 (110-1200 A)

Blank = Standard Non-Plated
XP = Premium Plated 

XL = Leaded

 

XV = Vertical Mount

 

XLS = Solder Lead

 

1

POWRGARD-Electrical-Product-Catalog-html.html
background image

25

littelfuse.com 

© 2018 Littelfuse POWR-GARD

®

 Products Catalog

Fuses – UL Class T

UL Class 

T F
uses

CLASS T DIMENSIONS AND CURRENT-LIMITING EFFECTS

B

C

A

F

D

F

E

A

B

C

D

G

A

C

D

Fig. 1

Fig. 2

Fig. 3

Current-Limiting Effects of JLLS (600 V) fuses

SHORT 

CIRCUIT 

CURRENT*

APPARENT RMS SYMMETRICAL CURRENT FOR 

VARIOUS FUSE RATINGS

30 A 60 A 100 A 200 A 400 A 600 A 800 A 1200 A

 5,000 

750

1,225

1,810

2,500

4,600

5,000

5,000

5,000

 10,000 

945

1,525 2,300

3,150

6,000

8,500

9,400 10,000

 15,000 

1,050 1,700

2,610

3,600

6,600

9,750 10,500 13,000

 20,000 

1,150 1,900 2,900

3,950

7,250 10,500 11,000 14,750

 25,000 

1,300 2,050 3,100

4,250

8,000 11,500 12,500 15,500

 30,000 

1,375 2,150 3,300

4,500

8,250 12,000 13,750 16,500

 35,000 

1,400 2,250 3,500

4,750

8,500 13,000 14,000 17,000

 40,000 

1,425 2,400 3,650

4,950

8,700 14,000 14,750 18,000

 50,000 

1,600 2,450 3,900

5,350

9,500 14,500 16,000 20,000

 60,000 

1,650 2,625 4,150

5,650 10,000 15,500 17,300 21,000

 80,000 

1,825 2,800 4,570

6,250 11,000 17,000 18,750 23,000

 100,000 

2,000 3,100 4,950

6,700 12,000 18,000 20,000 25,000

 150,000 

2,250 3,400 5,650

7,700 13,000 21,000 23,000 28,500

 200,000 

2,450 3,800 6,200

8,450 15,000 23,000 25,000 31,000

*Prospective RMS Symmetrical Amperes Short-Circuit Current

Note: Data Derived from Peak Let-Thru Curves

Current-Limiting Effects of JLLN (300 V) fuses

SHORT 

CIRCUIT  

CURRENT*

APPARENT RMS SYMMETRICAL CURRENT FOR 

VARIOUS FUSE RATINGS

30 A 60 A 100 A 200 A 400 A 600 A 800 A 1200 A

 5,000 

700

775

1,100

1,650

3,500

4,000

5,000

5,000

 10,000 

900

1,000 1,400

2,100

4,400

5,100

6,750

8,250

 15,000 

1,000 1,100 1,600

2,400

5,000

5,900

7,750 10,000

 20,000 

1,100 1,250 1,800

2,700

5,500

6,500

8,750 11,000

 25,000 

1,230 1,300 1,950

2,900

6,000

7,000

9,500 12,000

 30,000 

1,300 1,475 2,050

3,100

6,400

7,500 10,000 12,500

 35,000 

1,330 1,575 2,150

3,300

6,750

7,750 10,500 13,500

 40,000 

1,430 1,600 2,300

3,500

7,000

8,000 11,000 14,000

 50,000 

1,500 1,750 2,400

3,700

7,500

8,750 12,000 15,000

 60,000 

1,700 1,900 2,700

4,000

8,000

9,500 12,500 16,000

 80,000 

1,850 2,100 2,800

4,400

9,000 10,500 14,000 17,500

 100,000 

2,000 2,250 3,150

4,800

9,750 11,500 15,000 18,500

 150,000 

2,300 2,600 3,600

5,500 11,000 13,000 17,500 22,000

 200,000 

2,600 2,800 3,900

6,000 12,000 14,500 19,500 24,000

*Prospective RMS Symmetrical Amperes Short-Circuit Current

Note: Data Derived from Peak Let-Thru Curves

Dimensions Inches (mm)

AMPERES REFER TO

FIG. NO.

SERIES

DIMENSIONS INCHES (mm)

A

B

C

D

E

F

G

1 – 30

1

JLLN

.875 (22.2)

.281 (7.1)

.406 (10.3)

JLLS

1.500 (38.1)

.281 (7.1)

.562 (14.3)

35 – 60

1

JLLN

.875 (22.2)

.281 (7.1)

.562 (14.3)

— 

2

JLLS

1.562 (39.7)

.812 (20.6)

.406 (10.3)

.994  (25.2)

.062 (1.6)

1.094 (27.8)

70 – 100

3

JLLN

2.156 (54.8)

1.562 (39.7)

.750 (19.1)

.812 (20.6)

.830 (21.1)

.281 (7.1)

.125 (3.2)

JLLS

2.953  (75.0)

2.352  (59.7)

.750 (19.1)

.828 (21.0)

1.625  (41.3)

.281 (7.1)

.125 (3.2)

110 – 200

3

JLLN

2.437 (61.9)

1.687 (42.9)

.875 (22.2)

1.062 (27.0)

.830 (21.1)

.343 (8.7)

.187 (4.8)

JLLS

3.250 (82.6)

2.507  (63.7)

.875 (22.2)

1.078  (27.4)

1.656 (42.1)

.343 (8.7)

.187 (4.8)

225 – 400

3

JLLN

2.750 (69.9)

1.843 (46.8)

1.000  (25.4)

1.312 (33.3)

.828 (21.0)

.406 (10.3)

.250 (6.4)

JLLS

3.625 (92.1)

2.718 (69.1)

1.000  (25.4)

1.593 (40.5)

1.712  (43.5)

.406 (10.3)

.250 (6.4)

450 – 600

3

JLLN

3.062 (77.8)

2.031 (51.6)

1.250 (31.8)

1.593 (40.5)

.875 (22.2)

.484 (12.3)

.312 (7.9)

JLLS

3.984 (101.2)

2.953 (75.0)

1.250 (31.8)

2.062 (52.4)

1.765 (44.8)

.484 (12.3)

.312 (7.9)

700 – 800

3

JLLN

3.375 (85.7)

2.218 

 

(56.4)

1.750 (44.5)

2.062 (52.4)

.875 (22.2)

.546 (13.9)

.375 (9.5)

JLLS

4.328 (109.9)

3.171 (80.6)

1.750 (44.5)

2.500 (63.5)

1.860 (47.2)

.546 (13.9)

.375 (9.5)

900 – 1200

3

JLLN

4.000  (101.6)

2.531 (64.3)

2.000  (50.8)

2.500 (63.5)

1.033 (26.2)

.609 (15.5)

.437 (11.1)

JLLS

5.271  (133.9)

3.801  (96.5)

2.000  (50.8)

2.625  (66.7)

2.303  (58.5)

.609 (15.5)

.437 (11.1)

1

POWRGARD-Electrical-Product-Catalog-html.html
background image

26

© 2018 Littelfuse POWR-GARD

®

 Products Catalog

littelfuse.com

UL Class G F

uses

Fuses – UL Class G

CLASS G - SLC CLASS G FUSES     

480/600 VAC • Time-Delay • 

1

/

2

-60 A

Web Resources

Download TC Curves, CAD drawings and other technical 
information: 

littelfuse.com/slc

Recommended Fuse Holders

LFG60 Series (1-20 A) ...................................................... 105 
LFG48 Series (25-60 A) .................................................... 105

A

B

C

D

AMP

DIMENSIONS INCHES (mm )

A

B

C

D

1

/

2

 – 15

5

/

16

 (33.3)

3

/

8

 (9.5)

9

/

32

 (7.1)

13

/

32

 (10.3)

20

13

/

32

 (35.7)

3

/

8

 (9.5)

9

/

32

 (7.1)

13

/

32

 (10.3)

25, 30

5

/

8

 (41.3)

3

/

8

 (9.5)

9

/

32

 (7.1)

13

/

32

 (10.3)

35 – 60

1

/

4

 (57.2)

3

/

8

 (9.5)

1

/

2

 (12.7)

13

/

32

 (10.3)

Dimensions

Ordering Information

Description

Littelfuse SLC fuses provide cost effective branch circuit 
protection. Fuse length varies to prevent over-fusing. 
Compact Class G fuses were the first fuse series to 
approach midget fuse dimensions and meet NEC

®

 

requirements for branch-circuit protection. 

Features/Benefits

•  Branch circuit rated
•  Current-limiting
•  100 kA interrupting rating
•  600 VAC rated 

1

/

2

-20 A

Applications

•  Branch circuit protection

QPL

Ferrule Version

SERIES AMP

PACKAGE 

QUANTITY

CATALOG  

NUMBER

ORDERING  

NUMBER

SLC

2

10

SLC002

0SLC002.T

Part Numbering System

0SLC  xxxx   H  

Package Quantity

Series

Amp Code

T = 10

Refer to Amp Code 

Column in Electrical 

Specifications Table

Specifications

Voltage Ratings 

 

600 VAC (

1

/

2

 – 20 A) 

 

480 VAC (25 – 60 A) 

 

170 VDC (

1

/

2

 – 60 A) (Littelfuse self-certified)

Interrupting Ratings

 

AC: 100 kA rms symmetrical 

 

DC: 10 kA

Ampere Range

 

1

/

2

 – 60 A

Approvals

 

Standard 248-5, Class G 

 

UL Listed (File: E81895) 

 

CSA Certified (File: LR29862) 

 

Federal Specification WF-1814 

 (QPL-W-F-1814) 

Environmental

 

RoHS Compliant

1

POWRGARD-Electrical-Product-Catalog-html.html
background image

27

littelfuse.com 

© 2018 Littelfuse POWR-GARD

®

 Products Catalog

UL Class CC/CD F

uses

Fuses – UL Class CC / CD

CLASS CC/CD - CCMR SERIES POWR-PRO

®

 FUSES

 

 

      600 Vac • Dual Element • Time-Delay • 

2

/

10

-60 A

AMPERE RATINGS

2

/

10

1

2

1

/

2

1

/

4

12

35

1

/

4

1

/

4

1

/

4

4

7

15

40

3

/

10

4

/

10

1

/

2

1

/

2

1

/

2

17 

1

/

2

45

1

/

2

1

/

2

8

/

10

5

8

20

50

6

/

10

6

/

10

3

6

/

10

9

25

60

8

/

10

8

/

10

2

/

10

6

10

30

Web Resources

Download TC Curves, CAD drawings and other technical 
information: 

littelfuse.com/ccmr

Recommended Fuse Holders

LFC600 Series ................................................................. 107 
L60030C Series ............................................................... 107 
LPSC Touch-Safe Series ....................................................117

Dimensions

Please refer to the Class CC/CD dimensions .................... 29

Peak Let-Thru Curve

10,000

100,000

1,000,000

PE

AK

 L

ET

-T

H

RU

 IN

 A

M

PE

R

ES

60A -

30A -

15A-

4A-

2.25A-

100

1,000

0

0

0

,

0

0

1

0

0

0

,

0

1

0

0

0

,

1

0

0

1

AVAILABLE FAULT CURRENT

SYMMETRICAL  R.M.S.  AMPERES

BASIS FOR DATA:

TEST VOLTAGE:

TIME CONSTANT/POWER FACTOR:

FUSE CATALOG NUMBER:

DRAWN BY:
DATE:
REVISION:

DRAWING NO.:                                             SHEET       

PEAK LET-THRU CHARACTERISTIC CURVES

LITTELFUSE, INC.

CHICAGO, IL. USA

LLL       
11/12/12
C

9 OF 9

FCC05-CCMRP

CCMRP 2.25A - 30A

FOR CATALOG PAGE ONLY

- DATA GENERATED IN EXCEL -

Note: For more information, see Peak Let-Thru Table on pg. 29

Ordering Information

* Consult Motor Protection Tables on page 208 in the Technical Application Guide 

section for specific motor sizing information.

SERIES

AMP

ROHS CATALOG NUMBER

ORDERING NUMBER

CCMR

10

CCMR010

CCMR010.TXP

CCMR

45

CCMR045

CCMR045.T

Description

The CCMR series is ideal for space saving protection 

of motors up to 40 hp*. It was designed specifically to 

withstand sustained starting currents of small motors. The 

CCMR 60 fuse is the smallest 60 A fuse available rated at  

600 V. Compared to other UL Listed fuses, Class CC fuses 

are the most current-limiting, rating for rating.

Features/Benefits

•  POWR-PRO

®

 Performance

•  Extremely current-limiting
•  Ratings up to 60 Amps
•  300 kA Interrupting Rating (self-certified)

Applications

•  Motor and motor branch circuit protection

Specifications

Voltage Rating  

AC: 600 Vac or less 

 

DC:  250 V (CCMR 

2

/

10

– 2 A) 

(CCMR 4

1

/

2

– 10 A) 

(CCMR 35– 60 A) 

300 V (CCMR 2

1

/

4

– 4 A) 

500 V (CCMR 12– 30 A)

Ampere Rating  

2

/

10

 – 60 A

Interrupting Rating 

AC:  200 kA rms symmetrical 

300 kA Littelfuse self-certified

 

DC: 20 kA

Approvals 

AC:  Standard 248-4, Class CC 

UL Listed 

2

/

10

-30 A (File: E81895) 

Standard 248, Class CD 

UL Listed 35-60 A (File: E81895) 

CSA Certified (File: LR29862)

 

DC: Littelfuse self-certified 

Material 

2/10-30 A:  Melamine body,  

Bronze cap (nickel plated)

Environmental  

RoHS Compliant (except 35-60 A)

Country of Origin  

Mexico

1

POWRGARD-Electrical-Product-Catalog-html.html
background image

28

© 2018 Littelfuse POWR-GARD

®

 Products Catalog

littelfuse.com

UL Class CC F

uses

Fuses – UL Class CC

Specifications

Voltage Rating  

AC: 600 Vac or less

 

DC: 300 Vdc

Ampere Range  

1

/

10

 – 30 A

Interrupting Rating 

AC: 200 kA rms symmetrical 

 

DC: 20 kA

Approvals 

AC:  Standard 248-4, Class CC 

UL Listed 

1

/

10

-30 A (File: E81895)  

CSA Certified 

1

/

10

-30 A (File: LR29862)

 

DC: Littelfuse self-certified

Material  

Melamine body

 

Bronze caps (nickel plated)

Environmental  

RoHS Compliant

Country of Origin  

Mexico

CLASS CC - KLDR / KLKR SERIES FUSES

KLKR Series
600 Vac/300 Vdc • Fast-Acting • 

1

/

10

-30 A

KLDR Series
600 Vac/300 Vdc • Time-Delay • 

1

/

10

-30 A

Description

KLKR Series Class CC fuses are fast-acting 
fuses intended for general purpose branch 
circuit protection. Their compact size, fast-
acting overload response, and highly current-
limiting design make them ideal for use in 
OEM equipment and control panels.

Specifications

Voltage Rating  

AC: 600 Vac or less

 

DC: 300 Vdc

Ampere Range  

1

/

10

 – 30 A

Interrupting Rating 

AC: 200 kA rms symmetrical 

 

DC: 20 kA

Approvals 

AC:  Standard 248-4, Class CC 

UL Listed 

1

/

10

-30 A (File: E81895)  

CSA Certified 

1

/

10

-30 A (File: LR29862)

 

DC: Littelfuse self-certified

Material  

Melamine body

 

Bronze caps (nickel plated)

Environmental  

RoHS Compliant

Country of Origin  

Mexico

AMPERE RATINGS

1

/

10

6

/

10

8

/

10

1

/

2

10

1

/

8

3

/

4

2

5

12

15

/

100

8

/

10

1

/

4

6

/

10

15

3

/

16

1

1

/

2

6

17 

1

/

2

2

/

10

1

/

8

8

/

10

1

/

4

20

1

/

4

1

/

4

3

7

25

3

/

10

4

/

10

2

/

10

1

/

2

30

4

/

10

1

/

2

1

/

2

8

1

/

2

6

/

10

4

9

AMPERE RATINGS

1

/

10

1

/

2

1

/

2

6

12

1

/

8

3

/

4

3

7

15

2

/

10

1

1

/

2

8

20

1

/

4

1

/

2

4

9

25

3

/

10

2

5

10

30

Ordering Information

SERIES

AMP

CATALOG 

NUMBER

ORDERING 

NUMBER

KLDR

10

KLDR010

KLDR010.TXP

Ordering Information

SERIES

AMP

CATALOG 

NUMBER

ORDERING 

NUMBER

KLKR

12

KLKR012

KLKR012.T

Recommended Fuse Holders

L60030C Series ....................................................107
LPSC Touch-Safe Series ........................................ 117

Dimensions

Please refer to the Class CC dimensions ............... 29

Recommended Fuse Holders

L60030C Series ....................................................107
LPSC Touch-Safe Series ........................................ 117

Dimensions

Please refer to the Class CC dimensions ............... 29

Web Resources

For additional information, visit:  

littelfuse.com/klkr

Web Resources

For additional information, visit:  

littelfuse.com/kldr

Description

KLDR fuses are time-delay fuses designed to 
protect control transformers, so le noids and 
similar inductive components with high mag-
ne tiz ing currents during the first half-cycle. 
They provide ex cel lent protection of motor 
branch circuits con tain ing IEC or NEMA  
rated motor con trol lers or contactors.

1

POWRGARD-Electrical-Product-Catalog-html.html
background image

29

littelfuse.com 

© 2018 Littelfuse POWR-GARD

®

 Products Catalog

UL Class CC/CD F

uses

Fuses – UL Class CC / CD

1.880

  (47.8)

.850

(21.6)

    

1.50

(38.1)

.50

(12.7)

.41

(10.3)

.25

(6.4)

.125

(3.2)

35-60 A

0-30 A

CLASS CC / CD DIMENSIONS AND CURRENT-LIMITING EFFECTS

Dimensions Inches (mm)

- DATA GENERATED IN EXCEL -

100 

1,000 

10,000 

100,000 

1,000,000 

100 

1,000 

10,000 

100,000 

PE

AK

 L

ET

- T

HRU

 IN

 A

M

PE

R

ES

 

AVAILABLE FAULT CURRENT 

SYMMETRICAL  R.M.S.  AMPERES 

8A - 

 

6A - 

 

4A - 

BASIS FOR DATA: 

TEST VOLTAGE: 

TIME CONSTANT/POWER FACTOR: 

FUSE CATALOG NUMBER: 

DRAWN BY: 

 

DATE: 

 

REVISION: 

DRAWING NO.:                                             SHEET        

PEAK LET

-THRU CHARACTERISTIC CURVES

 

LITTELFUSE, INC.

 

CHICAGO, IL. USA

 

LLL        
11/12/12 

2 OF 4  

FCC05-KLDRP 

KLDRP 4A - 30A 

10000

100000

200000

10

0

1000

100

1000

10000

100000

1000000

30 A

25 A

20 A

15 A

12 A

PEAK LET

-THRU IN AMPERES

AVAILABLE FAULT CURRENT

SYMMETRICAL  R. M. S.  AMPERES

05542001

Peak Let-Thru Curve KLDR

Peak Let-Thru Curve KLKR

SHORT 

CIRCUIT 

CURRENT*

APPARENT RMS SYMMETRICAL CURRENT FOR VARIOUS FUSE RATINGS

2.25A 2.5A

3A

4A

5A

6.25A 7.5A

8A

10A

12A

15A

20A

30A

35A

40A

45A

50A

60A

5,000

203

224

287

289

460

472

442

437

359

369

435

355

621

1,170

1,240

1,320

1,070

1,525

10,000

256

282

361

364

580

595

557

551

452

465

548

447

783

1,480 1,565 1,670 1,355 1,930

15,000

293

323

413

416

664

681

637

631

517

532

627

512

896

1,695

1,795

1,915

1,555 2,200

20,000

323

356

455

458

730

750

702

694

569

585

690

563

987

1,870 1,980

2,110

1,710

2,430

25,000

348

383

490

493

787

808

756

748

613

630

743

607

1,063 2,015

2,135 2,275 1,845 2,620

30,000

370

407

521

524

836

858

803

795

651

670

790

645

1,129

2,145 2,270 2,420 1,965 2,780

35,000

389

429

548

552

880

903

845

837

686

705

832

679

1,189

2,260 2,390 2,550 2,070 2,885

40,000

407

448

573

577

920

944

884

875

717

737

870

709

1,243 2,360 2,500 2,665 2,165

3,025

50,000

438

483

617

622

991

1,017

952

942

772

794

937

764

1,339 2,545 2,695 2,875 2,330 3,200

60,000

466

513

656

661

1,053 1,081

1,012

1,001

821

844

995

812

1,423 2,705 2,865 3,055 2,480 3,350

80,000

513

564

722

727

1,159

1,190

1,114

1,102

903

929

1,096

894

1,566 2,985 3,160

3,365 2,730 3,540

100,000

552

608

778

783

1,249

1,282 1,200

1,187

973

1,001

1,180

963

1,687

3,215 3,405 3,630 2,945 3,685

150,000

632

696

890

897

1,430 1,467 1,373 1,359

1,114

1,146

1,351

1,102

1,931 3,685 3,905 4,160

3,375 4,030

200,000

696

766

980

987

1,574

1,615

1,511

1,496 1,226 1,261 1,487

1,213

2,125 4,060 4,300 4,580 3,720 4,230

*Prospective RMS Symmetrical Amperes Short-Circuit Current

Note: Data Derived from Peak Let-Thru Curves

Current-Limiting Effects of CCMR (600 V) fuses

1

POWRGARD-Electrical-Product-Catalog-html.html
background image

30

© 2018 Littelfuse POWR-GARD

®

 Products Catalog

littelfuse.com

UL Supplemental F

uses

Fuses – UL Supplemental

10 x 38mm MIDGET FUSES

KLKD Series 

Fast-Acting Fuse  

600 Vac/dc 

       

 

 

FLM Series 

Time-Delay Fuse  

250 Vac

   

QPL     

 

 

FLQ Series 

Time-Delay Fuse  

500 Vac

   

BLF Series 

Fast-Acting Fuse  

125/250 Vac

   

AMPERE RATINGS

1

/

10

1

5

15

1

/

8

1

/

2

6

20

2

/

10

2

7

25

1

/

4

1

/

2

8

30

3

/

10

3

9

1

/

2

1

/

2

10

3

/

4

4

12

AMPERE RATINGS

1

/

10

1

5

15

1

/

8

1

/

2

6

20

2

/

10

2

7

25

1

/

4

1

/

2

8

30

3

/

10

3

9

1

/

2

1

/

2

10

3

/

4

4

12

AMPERE RATINGS

1

/

10

8

/

10

2

1

/

2

10

15

/

100

1

1

/

4

5

12

2

/

10

1

/

8

1

/

2

6

/

10

15

1

/

4

1

/

4

8

/

10

6

20

3

/

10

4

/

10

3

1

/

4

25

4

/

10

1

/

2

2

/

10

7

30

1

/

2

6

/

10

1

/

2

8

6

/

10

8

/

10

4

9

AMPERE RATINGS

1

/

10

1

/

2

2

5

12

1

/

8

6

/

10

1

/

4

6

/

10

14

15

/

100

8

/

10

1

/

2

6

15

3

/

16

1

3

1

/

4

20

2

/

10

1

/

8

2

/

10

7

25

1

/

4

1

/

4

1

/

2

8

30

3

/

10

1

/

2

4

9

4

/

10

6

/

10

1

/

2

10

AMPERE RATINGS

1

3

6

12

25

1

/

2

4

8

15

30

2

5

10

20

AMPERE RATINGS

1

/

2

3

7

15

1

4

8

20

1

/

2

5

9

25

2

6

10

30

1

/

2

1

/

4

12

Specifications

Fast-acting, high-interrupting capacity fuse 
designed for control circuits, HID lighting, 
street-lighting, meter circuits.

Voltage Ratings

 

600 Vac 

 

500 Vdc

Interrupting Ratings

  100 kA @ 600 Vac 

 

50 kA @ 500 Vdc 

 

(capable of 200 kA)

Approvals

 

UL Listed (E10480) 

 

CSA Certified (LR29862)

Dimensions

 

L

  38.1mm (1 

1

/

2

”) 

 

D

  10.31mm (

13

/

32

”)

littelfuse.com/klk

Specifications

Fast-acting, high DC rated fuse used in solar 
combiner boxes, DC control circuits, UPS 
protection. Available in PC board mount.

Voltage Ratings

 

600 Vac/dc

Interrupting Ratings

  100 kA @ 600 Vac 

 

10 kA @ 600 Vdc (UL 248-19) 

 

50 kA @ 600 Vdc (UL 248-14) 

 

(capable of 200 kA)

Approvals

 

UL Listed (E339112 & E10480)

 

CSA Certified (LR29862)

Dimensions

 

L

  38.1mm (1 

1

/

2

”) 

 

D

  10.31mm (

13

/

32

”)

littelfuse.com/klkd

Specifications

250V time-delay fuses used to protect 
circuits with high in-rush. Especially suited for 
supplemental protection of small motors.

Voltage Ratings

 

250 Vac 

 

125 Vdc self-certified @ 10 kA

Interrupting Ratings

  10 kA @ 250 Vac

Approvals 

UL Listed (File: E10480) 

 

CSA Certified (029862_0_000)

Dimensions

 

L

  38.1mm (1 

1

/

2

”) 

 

D

  10.31mm (

13

/

32

”)

littelfuse.com/flm

Specifications

500V time-delay fuses for supplemental 
protection of control power transformers, 
solenoids, and circuits with high in-rush. Ideal 
for 480 V systems.

Voltage Ratings 

500 Vac 

 

300 Vdc self-certified @ 10 kA

Interrupting Ratings

  10 kA @ 500V ac

Approvals

 

UL Listed (E10480) 

 

CSA Certified (LR29862) 

Dimensions

 

L

  38.1mm (1 

1

/

2

”)

 

D

  10.31mm (

13

/

32

”)

littelfuse.com/flq

Specifications

250 volt BLN fuses provide low-cost 
protection for military applications and control 
circuits.

Voltage Ratings

 

250 Vac

Interrupting Ratings

  10 kA @ 250 Vac

Approvals

 

UL Listed (E10480) 

 

CSA Certified (LR29862)

Dimensions

 

L

  38.1mm (1 

1

/

2

”) 

 

D

  10.31mm (

13

/

32

”)

littelfuse.com/bln

Specifications

BLF fuses are the lowest price midget fuse. 
They are suitable for control circuit and 
instrument protection in dry locations.

Voltage Ratings

 

250 Vac 

1

/

2

 - 15 A 

 

125 Vac 20 - 30 A

Interrupting Ratings

  10 kA @ rated Vac

Approvals

 

UL Listed (E10480) 

 

CSA Certified (LR29862)

Dimensions

 

L

  38.1mm (1 

1

/

2

”) 

 

D

  10.31mm (

13

/

32

”)

littelfuse.com/blf

KLK Series

Fast-Acting Fuse  

600 Vac

 

QPL

 

 

BLN Series 

Fast-Acting Fuse  

250 Vac

   

QPL

 

1

POWRGARD-Electrical-Product-Catalog-html.html
background image

31

littelfuse.com 

© 2018 Littelfuse POWR-GARD

®

 Products Catalog

POWR-SAFE DEAD FRONT HOLDERS

LPSC/LPSM (600 V) 

pg. 117

LPHV (1000 V) 

pg. 116

Fuses – UL Supplemental

UL Supplemental F

uses

10 x 38mm MIDGET FUSES

BLS Series

 

Fast-Acting Fuse 

600 Vac / 250 Vac

   

KLQ Series 

Increased Time-Delay 

600 Vac

   

AMPERE RATINGS

2

/

10

1

3

8

4

/

10

1

/

2

4

10

1

/

2

6

/

10

5

3

/

4

8

/

10

6

8

/

10

2

7

AMPERE RATINGS

1

2

5

6

/

10

3

6

Specifications

Slightly shorter than a traditional 10 x 38, BLS 
fuses provide space saving protection for low 
amperage applications.

Voltage Ratings

 

600 Vac 

2

/

10

 - 5 A 

 

250 Vac 6 - 10 A

Interrupting Ratings

  10 kA @ rated Vac

Approvals

 

UL Listed (E10480) 

 

CSA Certified (LR29862)

Dimensions

 

L

  34.9 mm (1 

3

/

8

”) 

 

D

  10.31 mm (

13

/

32

”)

littelfuse.com/bls

Specifications

Same physical size as the BLS fuse with more 
time delay. Designed to protect gaseous vapor 
fixtures, HID ballasts and other electronic 
lighting circuits.

Voltage Ratings

 

600 Vac

Interrupting Ratings

  10 kA @ rated Vac

Approvals

 

UL Listed (E10480) 

 

CSA Certified (LR29862)

Dimensions

 

34.9 mm (1 

3

/

8

”) 

 

10.31 mm (

13

/

32

”)

littelfuse.com/klq

FLA Series 

Time-Delay Pin Indicating Fuse 

125 Vac

 

AMPERE RATINGS

1

/

10

8

/

10

2

1

/

2

12*

15

/

100

1

1

/

4

5

15*

2

/

10

1

/

8

1

/

2

6

/

10

20*

1

/

4

1

/

4

8

/

10

6

25*

3

/

10

4

/

10

3

1

/

4

30*

4

/

10

1

/

2

2

/

10

7

1

/

2

6

/

10

1

/

2

8

6

/

10

8

/

10

4

10

*12-30 A are dual tube design

Specifications

Pin indicating time-delay fuses. Use in 
conjunction with special fuse blocks to  
operate mechanical signal switches or 
energize alarm circuits.

Voltage Ratings

 

125 Vac

Interrupting Ratings

  10 kA @ rated Vac

Approvals

 

UL Listed (E10480) 

Dimensions

 

38.1 mm (1 

1

/

2

”) 

 

10.31 mm (

13

/

32

”)

littelfuse.com/fla

Specifications

Multimeter protection fuses.

Voltage Rating

 

1000 Vac/Vdc 

Interrupting Rating 

 

44

100

 

A: 10 kA  

 

11 A: 20 kA 

Ampere Ratings 

44

100

 & 11 A

Time Constant

 

10 ms

Approvals

 

UL Recognized (E10480) 

 

CSA Certified (LR29862)

Dimensions 

 

44

100

 A: 

13

32

” x 1

3

8

” 

 

11 A: 

13

32

” x 1

1

2

littelfuse.com/flu

10 x 38mm Midget Fuse Holder Configurations

OPEN FUSE BLOCK

PC BOARD MOUNT 

FUSE BLOCK

L60030M 

pg. 107

L60030MPCB 

pg. 109

FLU Series 

Multimeter Protection 

1000 Vac/dc

   

1

POWRGARD-Electrical-Product-Catalog-html.html
background image

32

© 2018 Littelfuse POWR-GARD

®

 Products Catalog

littelfuse.com

Glass / Electronic Fuses ............................................................. 33 

Blade / Automotive Fuses ........................................................... 36

ELECTRONIC FUSES AND BLADE FUSES

Table of Contents

Section Overview

Diverse application needs require a broad range of fuses. Littelfuse 
offers a full line of fuses for various applications. As the market leader 
in Automotive and Electronics fuses, we are able to deliver innovative 
circuit protection solutions to our customers. Visit 

littelfuse.com

 for 

our full line of Automotive and Electronics solutions. 

POWRGARD-Electrical-Product-Catalog-html.html
background image

33

littelfuse.com 

© 2018 Littelfuse POWR-GARD

®

 Products Catalog

Glass / Electr

onic F

uses

HIGH DC VOLTAGE AND PC BOARD MOUNT FUSES

505 Series
Lead-Free 3AB, Fast-Acting

477 Series
5 x 20 mm Slo-Blo

®

 Fuse

Dimensions mm (inches)

273 Series
Very Fast-Acting Microfuse

251 Series
Fast-Acting Pico

®

 II Fuse

451 Series
NANO

 Very  Fast-Acting

AMPERE RATINGS

10

16

25

12

20

30

AMPERE RATINGS

.5

2

5

10

.8

3.15

6.3

12

1

4

8

16

AMPERE RATINGS

.002

.031

.125

.400

.750

2

.005

.050

.200

.500

.800

3

.010

.062

.250

.600

1

4

.015

.100

.300

.700

1.5

5

AMPERE RATINGS

0.062 0.25 0.630

1.5

3.15

7

0.1

0.315 0.750

1.6

3.5

8

0.125 0.375 0.800

2

4

10

0.160 0.400

1

2.5

5

12

0.2

0.5

1.25

3

6.3

15

AMPERE RATINGS

.062

.500

1.25

3

7

.125

.630

1.5

3.5

10

.250

.750

2

4

12

.375

1

2.5

5

15

Add “L” suffix when  

ordering RoHS compliant  

451 series 

Specifications

A 500 Vac/Vdc rated ceramic fuse with 

remarkable interrupting rating in a compact 

6.3 x 32 mm package, well suited for circuit 

protection in high energy applications.

 

Voltage Rating

 

450 Vac  (10 – 12 A) 

 

250 Vdc (10 – 12 A) 

 

500 Vac/dc (16 – 30 A)

Sample Part

 0505010.MXP*

Axial Lead

 

505_XEP Series

Dimensions

 

L

 31.75 mm (1.25”) 

 

D

 6.35 mm (.25”)

littelfuse.com/505

*Bulk configurations only

Specifications

500 Vac/400 Vdc rated, 5 x 20 mm, time-lag, 

surge withstand ceramic body fuse.

Voltage Rating

 

500 Vac 

 

400 Vdc

Sample Part

 0477002.MXP*

Axial Lead

 

477_XEP Series

Dimensions

 

L

 20 mm (.79”) 

 

D

 5.2 mm (.20”)

littelfuse.com/477

*Bulk configurations only

Specifications

Similar to 272 and 278 series, except has 

transparent cap for visual indication of  

fuse status. *See web for approvals by part.

Voltage Rating

 

125 Vac/dc

Sample Part

 0273002.V

littelfuse.com/273

Specifications

The Nano

2

 SMF Fuse is a very small, Wire-in-

Air (WIA) square shape surface mount fuse 

which is very suitable for the secondary side 

circuit over-current protection applications 

and is designed for PCB using surface mount 

technology 

*See web for approvals by part.

Voltage Rating

 

65 – 125 V

Sample Part

 0451.125MP

littelfuse.com/451

F

L

1 A

7.11 (.280")

REF.

0.64 (.025") DIA.

(1/16 – 10A)

0.81 (.032") DIA.

(12 – 15A)

2.80 (.110")

 DIA. MAX.

6.35 

(.25")

8.89

(.35")

4.32

(.17")

2.54 (.10")

314 000P Series

324 000P Series

6.35 (.25)

31.75

(1.25)

32.72

(1.288)

6.985 (.275)

38.1
(1.5)

0.813 (.032)
1.016 (.040)

229 000P Series

230 000P Series

4.5

(.177")

14.48

(.57")

14.48

(.57")

4.7 (.184")

.635

(.025")

38.1

(1.50") TYP.

5.1 (.22

)

5.1 (.22

)

5.2 (.20

)

40 (1.57

)

22.5 (.89

)

max.

6.0 (.24

)

max.

.65* (.026

)

*Ratings above 6.3 A have 0.8 mm diameter lead.
  Ratings above 12 A have 1.2 m diameter lead.

20 (.79

)

3AG/3AB

2AG

5 x 20 mm

Fuses – Glass / Electronic

Specifications

Subminiature fuse for soldered mounting on 

printed circuit boards. Available on tape and 

reel for automatic insertion. *See web for 

approvals by part.

Voltage Ratings

 

125 Vac/dc 

1

/

16

 – 10 A 

 

 

32 Vac/dc 12 – 15 A

Sample Part

 0251001.NAT1L

littelfuse.com/251

2

POWRGARD-Electrical-Product-Catalog-html.html
background image

34

© 2018 Littelfuse POWR-GARD

®

 Products Catalog

littelfuse.com

Glass / Electr

onic F

uses

Fuses – Glass / Electronic

LEADED AND CARTRIDGE FUSES

312/318 Series
3AG Fast-Acting

313/315 Series
3AG Slo-Blo

®

314/324 Series
3AB Fast-Acting

326/325 Series
3AB Slo-Blo

®

229/230 Series
2AG Slo-Blo

®

AMPERE RATINGS

.062

.200  .750

1.8

5

15

.100

.250

1

2

6

20

.125

.300

1.25

2.25

7

25

.15

.375

1.5

2.5

8

30

.175

.500

1.6

3

10

35

.187

.600

1.75

4

12

225/224 Series
2AG Fast-Acting

AMPERE RATINGS

.010 .175 .500 1.25

2.8

7

30

.031 .187 .600

1.5

3

8

.040 .200 .700

1.6

3.2

10

.062 .250 .750

1.8

4

12

.100 .300 .800

2

5

15

.125 .375

1

2.25 6.25

20

.150 .400

1.2

2.5

6.3

25

AMPERE RATINGS

.375

2

6

12

30

.500

3

7

15

40

.750

4

8

20

1

5

10

25

AMPERE RATINGS

.010

.187

.600

1.5

4

15

.031

.200

.700

1.6

5

20

.062

.250

.750

2

6.25

25

.100

.300

.800

2.5

7

30

.125

.375

1

2.8

8

.150

.400

1.2

3

10

.175

.500

1.25

3.2

12

AMPERE RATINGS

.250

.750

2

4

.350

.800

2.25

5

.375

1

2.5

6

.500

1.25

3

7

.600

1.5

3.5

AMPERE RATINGS

.375

1

2.5

4

7

.500

1.5

3

5

8

.750

2

3.5

6

10

Specifications

Designed for fast-acting protection of 

electronic equipment and appliances. The 

“standard” fast-acting, glass tube fuse.

Voltage Ratings

 

250 Vac 

1

/

100

 – 10 A 

 

32 Vac 12 – 35 A

Dimensions

 

L

 31.75 mm (1.25”) 

 

D

 6.35 mm (.25”)

Sample Part

  

0312005.VXP 

For fuses with axial leads, request 318 Series.

littelfuse.com/312

Specifications

313 and 315 series fuses have time-delay 

in the overload range, providing superior 

protection for inductive loads. ID feature 

available which discolors upon opening.

Voltage Ratings

 

250 Vac 

1

/

100

 – 8 A 

 

32 Vac 10 – 30 A

Dimensions

 

L

 31.75 mm (1.25”) 

 

D

 6.35 mm (.25”)

Sample Part

 0313005.VXP

For fuses with axial leads, request 315 Series. 

For Fuses with ID, add “ID” suffix.

littelfuse.com/313

Specifications

Similar to 312 series, but ceramic tube 

permits higher interrupting ratings and voltage 

ratings: 250 volt ratings to 40 amps.

Voltage Rating

 

250 Vac 

3

/

8

  – 40 A

 

125 Vdc 

3

/

8

  – 30 A

 

150 Vdc 40 A

Dimensions

 

L

 31.75 mm (1.25”) 

 

D

 6.35 mm (.25”)

Sample Part

 03145005.VXP

For fuses with axial leads, request 324 Series.

littelfuse.com/314

Specifications

The 326 series fuse has time-delay similar to 

the 313 series, but the ceramic body permits 

higher voltage ratings for the 8 – 30 ampere 

sizes and faster opening of short-circuits.

Voltage Ratings

 

250 Vac 

1

/

100

 – 30 A 

 

125 Vdc 

1

/

4

 – 3 A 

 

125 Vdc 12 – 30 A

Dimensions

 

L

 31.75 mm (1.25”) 

 

D

 6.35 mm (.25”)

Sample Part

  

0326.100VXP 

For fuses with axial leads, request 325 Series.

littelfuse.com/326

Specifications

2AG indicating fuses instantly identify 

themselves upon opening by showing a 

discoloration of their glass bodies, eliminating 

guesswork. This unique design offers the same 

quality performance characteristics as the 

standard 2AG fuse design.*

Voltage Ratings

 

250 Vac 

1

/

4

 – 3 

1

/

2

  A 

 

125 Vac 4 – 7 A 

 

125 Vdc 

1

/

4

 – 7 A

Dimensions

 

L

 14.48 mm (.57”) 

 

D

 4.5 mm (.177”)

Sample Part

  

02291.25VXP 

For fuses with axial leads, request 230 Series. 

*Must add “S” suffix when ordering indicating fuse

littelfuse.com/229

Specifications

Fast-acting performance of the 312 series 

3AG fuses in less than one-third the space. 

For protection of electronic equipment  

and appliances.

Voltage Ratings

 

250 Vac 

3

/

8

  – 3 

1

/

2

  A 

 

125 Vac 4 – 10 A 

 

125 Vdc 

3

/

8

  – 3 

1

/

2

  A

Dimensions

 

L

 14.48 mm (.57”) 

 

D

 4.5 mm (.177”)

Sample Part

  

0225003.VXP 

For fuses with axial leads, request 224 Series.

littelfuse.com/225

Note: All fuses on this page are available in packaged and bulk configurations

2

POWRGARD-Electrical-Product-Catalog-html.html
background image

35

littelfuse.com 

© 2018 Littelfuse POWR-GARD

®

 Products Catalog

Glass / Electr

onic F

uses

Fuses – Glass / Electronic

5 x 20 mm IEC LEADED AND CARTRIDGE FUSES

215 Series
5 x 20 mm IEC Slo-Blo

®

216 Series
5 x 20 mm IEC Fast-Acting

217 Series
5 x 20 mm IEC Fast-Acting

218 Series
5 x 20 mm IEC Slo-Blo

®

235 Series
5 x 20 mm UL/CSA Fast-Acting

239 Series
5 x 20 mm UL/CSA Slo-Blo

®

AMPERE RATINGS

.125

.315

.800

2

5

12

.160

.400

1

2.5

6.3

15

.200

.500

1.25

3.15

8

16

.250

.630

1.6

4

10

20

AMPERE RATINGS

.050 .125 .315

1

2.5

6.3

16

.063 .160 .500 1.25 3.15

8

.080 .200 .630

1.6

4

10

.100 .250 .800

2

5

12.5

AMPERE RATINGS

.032 .100 .250 .630

1.6

4

10

.050 .125 .315 .800

2

5

15

.063 .160 .400

1

2.5

6.3

.080 .200 .500 1.25 3.15

8

AMPERE RATINGS

.032

.100

.315

1

3.15

10

.040

.125

.400

1.25

4

12.5

.050

.160

.500

1.6

5

15

.063

.200

.630

2

6.3

16

.080

.250

.800

2.5

8

AMPERE RATINGS

.100

.300

.700

1.60

3.5

7

.125

.400

.800

2

4

.200

.500

1

2.5

5

.250

.600

1.25

3

6

AMPERE RATINGS

.080 .200 .500 .800

2

3.20

7

.100 .250 .600

1

2.5

3.50

.125 .300 .700 1.25

3

4

.150 .400 .750 1.60 3.15

5

Specifications

Time-delay protection of electronic equipment 

and appliances when fuses to International 

Standards are required. Replacement fuse  

for foreign equipment.

 

Voltage Rating

 

250 Vac

Dimensions

 

L

 20 mm (.79”) 

 

D

 5.2 mm (.20”)

Sample Part

 0215005.VXP 

For fuses with axial leads, request 215_XEP series.

littelfuse.com/215

Specifications

Fast-acting protection of electronic equipment 

and appliances when fuses to International 

Standards are required. Replacement fuse for 

foreign equipment.

 

Voltage Rating

 

250 Vac 

 

60 Vdc (1.25-3.15, 4-6.3 A only)

Dimensions

 

L

 20 mm (.79”) 

 

D

 5.2 mm (.20”)

Sample Part

 0216005.VXP 

For fuses with axial leads, request 216_XEP series.

littelfuse.com/216

Specifications

Fast-acting protection of electronic equipment 

and appliances when fuses to International 

Standards are required. Replacement fuse for 

foreign equipment.

 

Voltage Rating

 

250 Vac 

 

75Vdc (2-3.15 A only) 

 

60 Vdc (6.3, 2.-5 A only)

Dimensions

 

L

 20 mm (.79”) 

 

D

 5.2 mm (.20”)

Sample Part

 0217005.VXP 

For fuses with axial leads, request 217_XEP series.

littelfuse.com/217

Specifications

Time-delay protection of electronic equipment 

and appliances when fuses to International 

Standards are required. Replacement fuse  

for foreign equipment.

 

Voltage Rating

 

250 Vac

Dimensions

 

L

 20 mm (.79”) 

 

D

 5.2 mm (.20”)

Sample Part

 0218005.VXP 

For fuses with axial leads, request 218_XEP series.

littelfuse.com/218

Specifications

5 x 20 mm fuses designed to UL and CSA 

standards. Fast-acting protection of electronic 

equipment and appliances.

 

Voltage Ratings

 

250 Vac 

1

/

10

 – 3 

1

/

2

 A 

 

125 Vac 4 – 7 A

Dimensions

 

L

 20 mm (.79”) 

 

D

 5.2 mm (.20”)

Sample Part

 0235005.VXP 

For fuses with axial leads, request 235_XEP series.

littelfuse.com/235

Specifications

5 x 20 mm fuses designed to UL and CSA 

standards. Time-delay protection of electronic 

equipment and appliances.

 

Voltage Ratings

 

250 Vac 

2

/

10

 – 3 

1

/

2

 A 

 

125 Vac 4 – 7 A

Dimensions

 

L

 20 mm (.79”) 

 

D

 5.2 mm (.20”)

Sample Part

 0239005.VXP 

For fuses with axial leads, request 239_XEP series.

littelfuse.com/239

Note: All fuses on this page are available in packaged and bulk configurations

2

POWRGARD-Electrical-Product-Catalog-html.html
background image

36

© 2018 Littelfuse POWR-GARD

®

 Products Catalog

littelfuse.com

Fuses – Blade / Automotive

Blade / 

A

ut

omotiv

e F

uses

BLADE FUSES

CURRENT 

RATING

HOUSING 

COLOR

1 A
2 A
3 A
4 A
5 A

7.5 A

10 A
15 A
20 A
25 A
30 A
40 A

10.90

(.429)

4.46

(.175)

1.00

(.039)

2.58

(.101)

6.15

(.242)

8.10

(.319)

3.81

(.150)

3.56

(.140)

2.21

(.087)

0.80

(.031)

CURRENT 

RATING

HOUSING 

COLOR

20 A
25 A
30 A
35 A
40 A
50 A
60 A
70 A
80 A

MAXI dimensions in mm (inches)

ATO dimensions in mm (inches)

MAXI™ 

Color Key

Specifications

 

Smart Glow fuses are innovative 
automotive style fuses (ATO, MINI, and 
MAXI) that feature an indicator light that 
glows when the fuse is blown, saving 
time to troubleshoot an open circuit.

Voltage Rating

 

14 Vdc 

Sample Part 

0MIN010.VPGLO

Specifications

 

The MINI

®

 Fuse, with its miniature 

design patented by Littelfuse, meets 
the need for more circuits to be 
protected while utilizing less space.

Voltage Rating

 

32 Vdc 

Sample Part 

0MIN020.V

littelfuse.com/mini

Fuses Rated 58 V
Low Profile MINI

®

MINI

®

Smart Glow

MINI

®

 Fast-Acting

Specifications

 

The low profile MINI has similar 
performance as the standard mini fuse. 
The lower overall height allows for more 
space and weight savings.

Voltage Rating

 

58 Vdc 

Sample Part 

LMIN010.V

littelfuse.com/lmin

MINI dimensions in mm

Low Profile MINI 
dimensions in mm (inches)

Specifications

 

Smart Glow fuses are innovative 
automotive style fuses (ATO, MINI, and 
MAXI) that feature indicator light that 
glows when the fuse is blown, saving 
time to troubleshoot an open circuit.

Voltage Rating

 

14 Vdc 

Sample Part 

0ATO010.VPGLO

ATO

®

 Fast-Acting

ATO

®

Smart Glow

Specifications

 

The ATO

®

 Fuse was designed and 

patented by Littelfuse in 1976 and set 
the standard for automotive circuit 
protection. It features industry standard 
color coding to indicate amperage rating. 

Voltage Rating

 

32 Vac/dc 

Sample Part 

0ATO020.V

littelfuse.com/ato

Specifications

 

Smart Glow fuses are innovative 
automotive style fuses (ATO, MINI, and 
MAXI) that feature an indicator light that 
glows when the fuse is blown, saving 
time to troubleshoot an open circuit.

Voltage Rating

 

14 Vdc 

Sample Part 

0MAX030.XPGLO

Specifications

 

Designed and patented by Littelfuse, 
the MAXI™ Fuse is ideal for motor 
powered applications which have 
large inrush currents.

Voltage Rating

 

32 Vdc 

Sample Part 

0MAX030.X

littelfuse.com/maxi

ATO

®

 / MINI

®

 

Color Key

MINI Fuses are available in packaged and bulk configurations. See 297 series on web.

ATO Fuses are available in packaged and bulk configurations. See 287 series on web.

MAXI Fuses are available in packaged and bulk configurations. See 299 series on web.

Note: MINI not available in 

1 A or 40 A.

MAXI™ Slo-Blo 

 

MAXI™

 

Smart Glow

2

POWRGARD-Electrical-Product-Catalog-html.html
background image

37

littelfuse.com 

© 2018 Littelfuse POWR-GARD

®

 Products Catalog

Blade / 

A

ut

omotiv

e F
uses

Fuses – Blade / Automotive

BLADE FUSES

Specifications

 

The JCASE is a cartridge style fuse 
with female terminal design. JCASE 
provides both increased time delay 
and low voltage drop to protect high 
current circuits. JCASE has the ability to 
handle in-rush currents. The JCASE was 
designed and patented by Littelfuse

.

littelfuse.com/jcase

Low Profile JCASE

®

Fuse Rated 58 V

JCASE

®

 Cartridge

Fuse Rated 32 V

Specifications

 

The Low Profile JCASE fuse has 
similar performance characteristics as 
the standard JCASE fuse. The lower 
overall height reduction allows for 
more space and weight savings and 
also allows for a shorter male blade 
terminal, saving additional weight and 
material savings in fuse box designs

.

FHAC Blade Fuse Holders—In-Line Splash-Waterproof
Fuse Holder for ATO

®

 Style Blade Fuse

Wire length, color and diameter can be  
customized upon request.

Used with ATO Fuse 1 to 20 A or  
25 A and 30 A. Supplied with  
two 4” (102mm) wire leads.  
Includes protective cover for  
harsh environments.

littelfuse.com/fha

FHA Blade Fuse Holders—In-Line Fuse Holder 
for ATO

®

 Style Blade Fuse

Wire length, color and diameter can be  
customized upon request.

Used with ATO Fuse 1 to 20 A or 
25 A and 30 A. Supplied with  
two 4” (102mm) wire leads.

littelfuse.com/fha

MAH Blade Fuse Holders—In-Line Fuse Holder for 
MAXI

™ 

Style Blade Fuse

Supplied with two 6”, 6-gauge wire leads 
for up to 60 A MAXI Fuse applications, 
this In-Line Fuse holder also provides a 
protective cover for harsh under-the-hood 
environments. Mounting hole permits 
easy bulkhead installation.

littelfuse.com/mah

FHM Blade Fuse Holders—In-Line Splash-Waterproof
Fuse Holder for MINI

®

 Style Blade Fuse

Wire length, color and diameter can be  
customized upon request.

Used with MINI Fuse 1 to 20 A 
or 25 A and 30 A. Supplied with 
two 4.78” (122 mm) wire leads. 
Includes protective cover for 
harsh environment.

littelfuse.com/fhm

Low Profile JCASE

®

 58 V 

Dimensions in mm

CURRENT 

RATING

HOUSING 

COLOR

20 A
25 A
30 A
40 A
50 A
60 A

JCASE

®

 

Color Key

0FHA0002

0FHA0001

PART

NUMBER

DESCRIPTION

FUSE 

RATING

0FHA0001_

16AWG/1.3mm

2

  

STRANDED BLACK WIRE

20 A

0FHA0002_

12AWG/3.3mm

2

  

STRANDED ORANGE WIRE

30 A

PART

NUMBER

DESCRIPTION

FUSE 

RATING

FHAC0001_

16AWG/1.3mm

2

  

STRANDED BLACK WIRE

20 A

FHAC0002_

12AWG/3.3mm

2

  

STRANDED ORANGE WIRE

30 A

PART

NUMBER

DESCRIPTION

FUSE 

RATING

0FHM0001_

14AWG/2.1mm

2

  

STRANDED BLACK WIRE

20 A

0FHM0002_

12AWG/3.3mm

2

  

STRANDED ORANGE WIRE

30 A

Dimensions in mm

PART

NUMBER

DESCRIPTION

FUSE 

RATING

0MAH0001Z

WIRE COLOR BLACK

60 A

JCASE

®

 32 V 

Dimensions in mm

Dimensions in mm

Dimensions in mm

2

POWRGARD-Electrical-Product-Catalog-html.html
background image

38

© 2018 Littelfuse POWR-GARD

®

 Products Catalog

littelfuse.com

Medium Voltage Fuses Overview .............................................. 39

R-Rated Medium Voltage Fuses ................................................. 40

E-Rated Medium Voltage Fuses ................................................. 42

Medium Voltage Live Parts ......................................................... 48

MEDIUM VOLTAGE FUSES

Table of Contents

Section Overview

Littelfuse is your source for a fast replacement of E- and R-rated 
medium voltage fuses. Our emergency service gets you the fuses 
you need quickly to minimize downtime of your critical operations.

POWRGARD-Electrical-Product-Catalog-html.html
background image

39

littelfuse.com 

© 2018 Littelfuse POWR-GARD

®

 Products Catalog

Fuses – Medium Voltage

Medium V

oltag

Fuses

3

Fuses – Medium Voltage

Description

Littelfuse

®

 offers a selection of E- and R-rated medium 

voltage fuses for the protection of trans formers, potential 
transformers, feeders, and motor circuits. Single, double, 
and triple barrel designs are available to cover a wide range 
of current, voltage, and interrupting  ratings. Conventional 
ferrule type, clip lock, and bolt-in mounting configurations 
are available for virtually any application. Hermetically sealed 
fuses for use in hazardous environments are also offered.

Contact the factory or your local Littelfuse representative for 
additional fuse ratings or custom mounting configurations.

24-Hour Emergency Service - Call 800-227-0029

Applications

•  Power Transformer Protection
•  Potential Transformer Protection
•  Motor Controller Back-up Protection
•  Fused Switches
•  Feeder Circuits

General Information

The terms “Medium Voltage” and “High Voltage” have been 
used interchangeably by many people to describe fuses 
operating above 600 volts. Technically speaking, medium 
voltage fuses are those intended for the voltage range from 
2,400 to 38,000 Vac. High voltage fuses are for circuits 
 carrying voltages greater than 38,000 Vac.

E-rated fuses are considered to be general purpose fuses 
and can be used to protect against low and high values 
of fault current. R-rated fuses are designed for back-up 
protection. They must be used in series with other devices 
such as motor overload relays in order to achieve both 
overload and short-circuit protection.

Medium voltage fuses are not intended to provide overload 
protection in the same sense as fuses rated 600 volts or 
less. Medium voltage fuse current ratings do not have the 
same meanings as the ampere ratings of low voltage fuses.

All medium voltage fuses are limited in their ability to 
interrupt low value overcurrents, especially those between 
100% and 200% of the fuse’s continuous current rating. 
They are designed to carry their rated current without 
exceeding the temperature rise permitted by NEMA and 
ANSI standards.

Current-limiting E- and R-rated 
fuses are equipped with a 
mechanical indicator or striker pin 
that protrudes through the fuse 
cap upon operation of the fuse. 
This provides visual identification 
of a blown fuse and can be used 
as a trigger for external devices.

Note: Extension distance 

1

/

2

” minimum;  

extension force 2 lb. minimum.

MEDIUM VOLTAGE FUSES

2,400-38,000 Vac • Current-Limiting

Bolt-in Mount Fuses

POWRGARD-Electrical-Product-Catalog-html.html
background image

40

© 2018 Littelfuse POWR-GARD

®

 Products Catalog

littelfuse.com

Fuses – Medium Voltage

Medium V

oltag

Fuses

3

Fuses

R-RATED MEDIUM VOLTAGE FUSES

Description

R-rated fuses provide required short-circuit protection for 
medium voltage motors, motor controllers and associated 
circuitry. These components have limited ability to absorb the 
energy of large short-circuit currents. Medium voltage motor 
controllers contain overload relays which provide both overload 
protection and locked rotor protection to the motor. The 
controllers are also intended to interrupt low value short-circuits 
within the capability of the motor controller. This protects the 
medium voltage fuse from sustained overcurrents which are 
less than their minimum interrupting rating.

NEMA Standards for R-rated medium voltage power fuses 
require they operate within 15-35 seconds when subjected 
to an rms current 100 times the R rating. For example, a 
fuse with a 2R rating will open within 15 to 35 seconds on 
an applied current of 2 x 100 = 200 amperes.

Ordering Number

3"DIA

Dim.A

Clip

Center

6.38"

Dim.B

9.75"

A

D

DD

DDD

Figure 1

Figure 2

Figure 3

Hookeye Feature*

For hookeye attachment; add “W” suffix  
to part number

* See web for Bolt Mount, Inverted Bolt Mount, and Bolt-In dimensions

Max Voltage (KV)

Style:  
C (Cartridge) 

B (Bolt Mount) 
IB (Inverted Bolt Mount) 
BI (Bolt-In Mount)

No. of Barrels

Rating (size)

Continuous Current

Characteristics 

Voltage Ratings 

2,750 V – 8,250 V

Current Range

 

2R – 36R

Options 

•    Hermetically sealed for use in hazardous locations  

(add “S” suffix to part number)

•  Bolt-in mounting configurations

Bolt Mount “B” 

Sample Part #: 130-4R-1B-5.5

Inverted-Bolt “IB” 

Sample Part #: 130-4R-1IB-5.5

Bolt-In Mount “BI” 

Sample Part #: 130-4R-1BI-5.5

Cartridge “C”

Dimensions

Medium Voltage  
Fuse Protection

POWR-GARD

®

 medium  

voltage fuses provide  
short-circuit protection  
for motors and  
transformers rated  
2,400 to 38,000 volts AC.  
Visit 

littelfuse.com/MediumVoltage

 to 

download the white paper featuring protection 
tables, sizing recommendations, and applications.

130-4R-1C-5.5

POWRGARD-Electrical-Product-Catalog-html.html
background image

41

littelfuse.com 

© 2018 Littelfuse POWR-GARD

®

 Products Catalog

Fuses – Medium Voltage

Medium V

oltag

Fuses

3

R-RATED MEDIUM VOLTAGE FUSES

R

RATED

ORDERING/ 

CATALOG

NUMBER

SIZE

MAXIMUM 

CONTINUOUS 

CURRENT @  

40 DEGREES C°

DIM. A

(INCHES)

DIM. B

(INCHES)

MINIMUM 

INTERRUPTING 

RATING RMS 

AMPS

MAXIMUM 

INTERRUPTING

RATING RMS 

(ASYM)*

FIGURE

NUMBER

5.5 KV

702R1C5.5

2R

70

12"

15.875"

170

80,000

1

1003R1C5.5

3R

100

12"

15.875"

250

80,000

1

1304R1C5.5

4R

130

12"

15.875"

340

80,000

1

1505R1C5.5

5R

150

12"

15.875"

390

80,000

1

1706R1C5.5

6R

170

12"

15.875"

500

80,000

1

2009R1C5.5

9R

200

12"

15.875"

760

80,000

1

23012R1C5.5

12R

230

12"

15.875"

1000

80,000

1

39018R2C5.5

18R

390

12"

15.875"

1500

80,000

2

45024R2C5.5

24R

450

12"

15.875"

1950

80,000

2

48026R2C5.5

26R

480

12"

15.875"

2100

80,000

2

55030R2C5.5

30R

550

12"

15.875"

2400

80,000

2

60032R2C5.5

32R

600

12"

15.875"

2600

80,000

2

65036R2C5.5

36R

650

12"

15.875"

2900

80,000

2

55030R3C5.5

30R

550

12"

15.875"

2400

80,000

3

60032R3C5.5

32R

600

12"

15.875"

2600

80,000

3

65036R3C5.5

36R

650

12"

15.875"

2900

80,000

3

R

RATED

ORDERING/ 

CATALOG

NUMBER

SIZE

MAXIMUM 

CONTINUOUS 

CURRENT @  

40 DEGREES C°

DIM. A

(INCHES)

DIM. B

(INCHES)

MINIMUM 

INTERRUPTING 

RATING RMS 

AMPS

MAXIMUM 

INTERRUPTING

RATING RMS 

(ASYM)*

FIGURE

NUMBER

8.25 KV

702R1C8.25

2R

70

12"

15.875"

190

80,000

1

1003R1C8.25

3R

100

12"

15.875"

225

80,000

1

1304R1C8.25

4R

130

12"

15.875"

330

80,000

1

1505R1C8.25

5R

150

12"

15.875"

440

80,000

1

1706R1C8.25

6R

170

12"

15.875"

500

80,000

1

2009R1C8.25

9R

200

12"

15.875"

740

80,000

1

23012R1C8.25

12R

230

12"

15.875"

955

80,000

1

39018R2C8.25

18R

390

12"

15.875"

1440

80,000

2

45024R2C8.25

24R

450

12"

15.875"

1910

80,000

2

R

RATED

ORDERING/ 

CATALOG

NUMBER

SIZE

MAXIMUM 

CONTINUOUS 

CURRENT @  

40 DEGREES C°

DIM. A

(INCHES)

DIM. B

(INCHES)

MINIMUM 

INTERRUPTING 

RATING RMS 

AMPS

MAXIMUM 

INTERRUPTING

RATING RMS 

(ASYM)*

FIGURE

NUMBER

5.5 KV

14”CLIP CENTERS

702R1C5.5X

2R

70

14"

17.875"

170

80,000

1

1003R1C5.5X

3R

100

14"

17.875"

250

80,000

1

1304R1C5.5X

4R

130

14"

17.875"

340

80,000

1

1505R1C5.5X

5R

150

14"

17.875"

390

80,000

1

1706R1C5.5X

6R

170

14"

17.875"

500

80,000

1

2009R1C5.5X

9R

200

14"

17.875"

760

80,000

1

23012R1C5.5X

12R

230

14"

17.875"

1000

80,000

1

39018R2C5.5X

18R

390

14"

17.875"

1500

80,000

2

45024R2C5.5X

24R

450

14"

17.875"

1950

80,000

2

55030R2C5.5X

30R

550

14”

17.875”

2400

80,000

2

R

RATED

ORDERING/ 

CATALOG

NUMBER

SIZE

MAXIMUM 

CONTINUOUS 

CURRENT @  

40 DEGREES C°

DIM. A

(INCHES)

DIM. B

(INCHES)

MINIMUM 

INTERRUPTING

RATING RMS 

AMPS

MAXIMUM 

INTERRUPTING

RATING RMS 

(ASYM)*

FIGURE

NUMBER

2.

75 K

V

702R1C2.75

2R

70

7"

10.875"

170

80,000

1

1003R1C2.75

3R

100

7"

10.875"

250

80,000

1

1304R1C2.75

4R

130

7"

10.875"

340

80,000

1

1505R1C2.75

5R

150

7"

10.875"

390

80,000

1

1706R1C2.75

6R

170

7"

10.875"

500

80,000

1

2009R1C2.75

9R

200

7"

10.875"

760

80,000

1

23012R1C2.75

12R

230

7"

10.875"

1000

80,000

1

39018R2C2.75

18R

390

7"

10.875"

1500

80,000

2

45024R2C2.75

24R

450

7"

10.875"

1950

80,000

2

* RMS Asymmetrical amperes = RMS Symmetrical amperes x 1.6
   For hookeye attachment add “W” suffix to part number

POWRGARD-Electrical-Product-Catalog-html.html
background image

42

© 2018 Littelfuse POWR-GARD

®

 Products Catalog

littelfuse.com

Fuses – Medium Voltage

Medium V

oltag

Fuses

3

E-RATED MEDIUM VOLTAGE FUSES

Description

E-rated fuses have time current characteristics designed to 
provide current-limiting protection for power transformers, 
potential transformers, power centers, feeder centers, and 
unit sub stations. When properly applied, they can protect 
against high and low fault currents.

NEMA Standards for E-rated medium voltage fuses require 
that fuses rated 100E or less open within 300 seconds  
(5 minutes) when subjected to an RMS value of 200-240% 
of the fuse continuous current rating; and fuses with an  
E rating larger than 100E must open within 600 seconds  
(10 minutes) when subjected to an RMS current of 220-
240% of the fuse’s continuous current rating. These values 
establish one point on the time-current curve.

Application Note

Since these fuses are used for the protection of general 
 purpose circuits which may contain transformers, motors, 
and other equipment producing in-rush and/or overload 
currents, fuses should generally be rated at 140% of the 
 normal full load current, and circuits should be analyzed  
to ensure that system load currents will not exceed the 
current rating of the fuse.

3"DIA

Dim.A

Clip

Center

6.38"

Dim.B

9.75"

A

D

DD

DDD

Figure 4

Figure 5

Figure 6

Characteristics

Voltage Ratings

 

2,750 V – 38,000 V

Current Range

 

10E – 600E

Options

•  Hermetically sealed for use in hazardous locations  

(add “S” suffix to part number)

•  Clip-lock (CL) available.

E-RATED

ORDERING/CATALOG 

NUMBER

SIZE

DIM. A (INCHES)

DIM. B (INCHES)

MAX INTERRUPTING

RATING RMS (ASYM)*

FIGURE 

NUMBER

2.75 MAX. KV

10E1C2.75

10E

7"

10.875"

80,000

4

15E1C2.75

15E

7"

10.875"

80,000

4

20E1C2.75

20E

7"

10.875"

80,000

4

25E1C2.75

25E

7"

10.875"

80,000

4

30E1C2.75

30E

7"

10.875"

80,000

4

40E1C2.75

40E

7"

10.875"

80,000

4

50E1C2.75

50E

7"

10.875"

80,000

4

65E1C2.75

65E

7"

10.875"

80,000

4

80E1C2.75

80E

7"

10.875"

80,000

4

100E-1C2.75

100E

7"

10.875"

80,000

4

125E1C2.75

125E

7"

10.875"

80,000

4

150E1C2.75

150E

7"

10.875"

80,000

4

200E1C2.75

200E

7"

10.875"

80,000

4

125E2C2.75

125E

7"

10.875"

80,000

5

150E2C2.75

150E

7"

10.875"

80,000

5

200E2C2.75

200E

7"

10.875"

80,000

5

250E2C2.75

250E

7"

10.875"

80,000

5

300E2C2.75

300E

7"

10.875"

80,000

5

350E2C2.75

350E

7"

10.875"

80,000

5

400E2C2.75

400E

7"

10.875"

80,000

5

450E2C2.75

450E

7"

10.875"

80,000

5

Dimensions

* RMS Asymmetrical amperes = RMS Symmetrical amperes x 1.6

POWRGARD-Electrical-Product-Catalog-html.html
background image

43

littelfuse.com 

© 2018 Littelfuse POWR-GARD

®

 Products Catalog

Fuses – Medium Voltage

Medium V

oltag

Fuses

3

E-RATED MEDIUM VOLTAGE FUSES

E-RATED

ORDERING/CATALOG 

NUMBER

SIZE

DIM. A (INCHES) DIM. B (INCHES)

MAX INTERRUPTING

RATING RMS (ASYM)*

FIGURE NUMBER

5.5 MAX. KV

10E1C5.5

10E

12"

15.875"

80,000

4

15E1C5.5

15E

12"

15.875"

80,000

4

20E1C5.5

20E

12"

15.875"

80,000

4

25E1C5.5

25E

12"

15.875"

80,000

4

30E1C5.5

30E

12"

15.875"

80,000

4

40E1C5.5

40E

12"

15.875"

80,000

4

50E1C5.5

50E

12"

15.875"

80,000

4

65E1C5.5

65E

12"

15.875"

80,000

4

80E1C5.5

80E

12"

15.875"

80,000

4

100E1C5.5

100E

12"

15.875"

80,000

4

125E1C5.5

125E

12"

15.875"

80,000

4

150E1C5.5

150E

12"

15.875"

80,000

4

175E1C5.5

175E

12"

15.875"

80,000

4

200E1C5.5

200E

12"

15.875"

80,000

4

125E2C5.5

125E

12"

15.875"

80,000

5

150E2C5.5

150E

12"

15.875"

80,000

5

200E2C5.5

200E

12"

15.875"

80,000

5

250E2C5.5

250E

12"

15.875"

80,000

5

300E2C5.5

300E

12"

15.875"

80,000

5

350E2C5.5

350E

12"

15.875"

80,000

5

400E2C5.5

400E

12"

15.875"

80,000

5

450E2C5.5

450E

12"

15.875"

80,000

5

500E3C5.5

500E

12"

15.875"

80,000

6

550E3C5.5

550E

12"

15.875"

80,000

6

600E3C5.5

600E

12"

15.875"

80,000

6

E-RATED

ORDERING/CATALOG 

NUMBER

SIZE

DIM. A (INCHES) DIM. B (INCHES)

MAX INTERRUPTING

RATING RMS (ASYM)*

FIGURE NUMBER

5.5 MAX. KV

5NLE10E

10E

14”

17

7

8

"

80,000

4

5NLE15E

15E

14”

17

7

8

"

80,000

4

5NLE20E

20E

14”

17

7

8

"

80,000

4

5NLE25E

25E

14”

17

7

8

"

80,000

4

5NLE30E

30E

14”

17

7

8

"

80,000

4

5NLE40E

40E

14”

17

7

8

"

80,000

4

5NLE50E

50E

14”

17

7

8

"

80,000

4

5NLE65E

65E

14”

17

7

8

"

80,000

4

5NLE80E

80E

14”

17

7

8

"

80,000

4

5NLE100E

100E

14”

17

7

8

"

80,000

4

5NLE125E

125E

14“

17

7

8

"

80,000

4

5NLE150E

150E

14”

17

7

8

"

80,000

4

5NLE175E

175E

14”

17

7

8

"

80,000

4

5NLE200E

200E

14”

17

7

8

"

80,000

4

5NLE2225E

225E

14”

17

7

8

"

80,000

5

5NLE2250E

250E

14”

17

7

8

"

80,000

5

5NLE2300E

300E

14”

17

7

8

"

80,000

5

5NLE2350E

350E

14”

17

7

8

"

80,000

5

5NLE2400E

400E

14”

17

7

8

"

80,000

5

5NLE2450E

450E

14”

17

7

8

"

80,000

5

* RMS Asymmetrical amperes = RMS Symmetrical amperes x 1.6

POWRGARD-Electrical-Product-Catalog-html.html
background image

44

© 2018 Littelfuse POWR-GARD

®

 Products Catalog

littelfuse.com

Fuses – Medium Voltage

Medium V

oltag

Fuses

3

E-RATED MEDIUM VOLTAGE FUSES

E-RATED

ORDERING/CATALOG 

NUMBER

SIZE

DIM. A (INCHES)

DIM. B (INCHES)

MAX INTERRUPTING

RATING RMS (ASYM)* FIGURE NUMBER

15.5 MAX. KV

10E1C15.5

10E

15"

18.875"

80,000

4

15E1C15.5

15E

15"

18.875"

80,000

4

20E1C15.5

20E

15"

18.875"

80,000

4

25E1C15.5

25E

15"

18.875"

80,000

4

30E1C15.5

30E

15"

18.875"

80,000

4

40E1C15.5

40E

15"

18.875"

80,000

4

50E1C15.5

50E

15"

18.875"

80,000

4

65E1C15.5

65E

15"

18.875"

80,000

4

80E1C15.5

80E

15"

18.875"

80,000

4

100E1C15.5

100E

15"

18.875"

80,000

4

65E2C15.5

65E

15"

18.875"

80,000

5

80E2C15.5

80E

15"

18.875"

80,000

5

100E2C15.5

100E

15"

18.875"

80,000

5

125E2C15.5

125E

15"

18.875"

80,000

5

150E2C15.5

150E

15"

18.875"

80,000

5

175E2C15.5

175E

15"

18.875"

80,000

5

200E2C15.5

200E

15"

18.875"

80,000

5

200E3C15.5

200E

15"

18.875"

80,000

6

250E3C15.5

250E

15"

18.875"

80,000

6

300E3C15.5

300E

15"

18.875"

80,000

6

E-RATED

ORDERING/CATALOG 

NUMBER

SIZE

DIM. A (INCHES)

DIM. B (INCHES)

MAX INTERRUPTING

RATING RMS (ASYM)* FIGURE NUMBER

8.25 MAX. KV

10E1C8.25

10E

12"

15

7

8

"

80,000,

4

15E1C8.25

15E

12"

15

7

8

"

80,000

4

20E1C8.25

20E

12"

15

7

8

"

80,000

4

25E1C8.25

25E

12"

15

7

8

"

80,000

4

30E1C8.25

30E

12"

15

7

8

"

80,000

4

40E1C8.25

40E

12"

15

7

8

"

80,000

4

50E1C8.25

50E

12"

15

7

8

"

80,000

4

65E1C8.25

65E

12"

15

7

8

"

80,000

4

80E1C8.25

80E

12"

15

7

8

"

80,000

4

100E1C8.25

100E

12"

15

7

8

"

80,000

4

125E1C8.25

125E

12"

15

7

8

"

80,000

4

150E1C8.25

150E

12"

15

7

8

"

80,000

4

125E2C8.25

125E

12"

15

7

8

"

80,000

5

150E2C8.25

150E

12"

15

7

8

"

80,000

5

200E2C8.25

200E

12"

15

7

8

"

80,000

5

250E2C8.25

250E

12"

15

7

8

"

80,000

5

300E2C8.25

300E

12"

15

7

8

"

80,000

5

350E3C8.25

350E

12"

15

7

8

"

80,000

6

400E3C8.25

400E

12"

15

7

8

"

80,000

6

E-RATED

ORDERING/CATALOG 

NUMBER

SIZE

DIM. A (INCHES)

DIM. B (INCHES)

MAX INTERRUPTING

RATING RMS (ASYM)* FIGURE NUMBER

8.25 MAX. KV

8NLE10E

10E

14"

17

7

8

"

80,000

4

8NLE15E

15E

14"

17

7

8

"

80,000

4

8NLE20E

20E

14"

17

7

8

"

80,000

4

8NLE25E

25E

14"

17

7

8

"

80,000

4

8NLE30E

30E

14"

17

7

8

"

80,000

4

8NLE40E

40E

14"

17

7

8

"

80,000

4

8NLE50E

50E

14"

17

7

8

"

80,000

4

8NLE65E

65E

14"

17

7

8

"

80,000

4

8NLE80E

80E

14"

17

7

8

"

80,000

4

8NLE100E

100E

14"

17

7

8

"

80,000

4

8NLE2100E

100E

14"

17

7

8

"

80,000

5

8NLE2125E

125E

14"

17

7

8

"

80,000

5

8NLE2150E

150E

14"

17

7

8

"

80,000

5

8NLE2200E

200E

14"

17

7

8

"

80,000

5

8NLE2250E

250E

14"

17

7

8

"

80,000

5

* RMS Asymmetrical amperes = RMS Symmetrical amperes x 1.6

POWRGARD-Electrical-Product-Catalog-html.html
background image

45

littelfuse.com 

© 2018 Littelfuse POWR-GARD

®

 Products Catalog

Fuses – Medium Voltage

Medium V

oltag

Fuses

3

* RMS Asymmetrical amperes = RMS Symmetrical amperes x 1.6

E-RATED MEDIUM VOLTAGE FUSES

E-RATED

ORDERING/CATALOG 

NUMBER

SIZE

DIM. A (INCHES)

DIM. B (INCHES)

MAX INTERRUPTING

RATING RMS (ASYM)*

FIGURE

NUMBER

15.5 MAX. KV

15GSE65E

65E

18"

21

7

8

"

60,000

4

15GSE80E

80E

18"

21

7

8

"

60,000

4

15GSE100E

100E

18"

21

7

8

"

60,000

4

15GSE2125E

125E

18"

21

7

8

"

60,000

5

15GSE2150E

150E

18"

21

7

8

"

60,000

5

15GSE2175E

175E

18"

21

7

8

"

60,000

5

15GSE2200E

200E

18"

21

7

8

"

60,000

5

E-RATED

ORDERING/CATALOG 

NUMBER

SIZE

DIM. A (INCHES)

DIM. B (INCHES)

MAX INTERRUPTING

RATING RMS (ASYM)*

FIGURE

NUMBER

38 MAX. KV

3E1C38.0

3E

27"

30

7

8

"

20,000

4

7E1C38.0

7E

27"

30

7

8

20,000

4

10E1C38.0

10E

27"

30

7

8

20,000

4

15E1C38.0

15E

27"

30

7

8

20,000

4

20E1C38.0

20E

27"

30

7

8

20,000

4

25E1C38.0

25E

27"

30

7

8

20,000

4

30E1C38.0

30E

27"

30

7

8

20,000

4

40E1C38.0

40E

27"

30

7

8

20,000

4

50E2C38.0

50E

27"

30

7

8

20,000

5

65E2C38.0

65E

27"

30

7

8

20,000

5

80E2C38.0

80E

27"

30

7

8

20,000

5

E-RATED

ORDERING/CATALOG 

NUMBER

SIZE

DIM. A (INCHES)

DIM. B (INCHES)

MAX INTERRUPTING

RATING RMS (ASYM)*

FIGURE

NUMBER

25.8 MAX. KV

15E1C25.8

15E

21"

24

7

8

"

40,000

4

20E1C25.8

20E

21"

24

7

8

40,000

4

25E1C25.8

25E

21"

24

7

8

40,000

4

30E1C25.8

30E

21"

24

7

8

40,000

4

40E1C25.8

40E

21"

24

7

8

40,000

4

50E1C25.8

50E

21"

24

7

8

40,000

4

65E2C25.8

65E

21"

24

7

8

40,000

5

80E2C25.8

80E

21"

24

7

8

40,000

5

100E2C25.8

100E

21"

24

7

8

40,000

5

E-RATED

ORDERING/CATALOG 

NUMBER

SIZE

DIM. A (INCHES)

DIM. B (INCHES)

MAX INTERRUPTING

RATING RMS (ASYM)*

FIGURE

NUMBER

15.5 MAX. KV

15NLE10E

10E

20"

23

7

8

"

60,000

4

15NLE15E

15E

20"

23

7

8

"

60,000

4

15NLE20E

20E

20"

23

7

8

"

60,000

4

15NLE25E

25E

20"

23

7

8

"

60,000

4

15NLE30E

30E

20"

23

7

8

"

60,000

4

15NLE40E

40E

20"

23

7

8

"

60,000

4

15NLE50E

50E

20"

23

7

8

"

60,000

4

15NLE65E

65E

20"

23

7

8

"

60,000

4

15NLE80E

80E

20"

23

7

8

"

60,000

4

15NLE100E

100E

20"

23

7

8

"

60,000

4

15NLE280E

80E

20"

23

7

8

"

60,000

5

15NLE2100E

100E

20"

23

7

8

"

60,000

5

15NLE2125E

125E

20"

23

7

8

"

60,000

5

15NLE2150E

150E

20"

23

7

8

"

60,000

5

15NLE2175E

175E

20"

23

7

8

"

60,000

5

15NLE2200E

200E

20"

23

7

8

"

60,000

5

15NLE3150E

150E

20"

23

7

8

"

60,000

6

15NLE3175E

175E

20"

23

7

8

"

60,000

6

15NLE3250E

250E

20"

23

7

8

"

60,000

6

15NLE3300E

300E

20"

23

7

8

"

60,000

6

POWRGARD-Electrical-Product-Catalog-html.html
background image

46

© 2018 Littelfuse POWR-GARD

®

 Products Catalog

littelfuse.com

Fuses – Medium Voltage

Medium V

oltag

Fuses

3

E-RATED MEDIUM VOLTAGE FUSES

E-RATED

ORDERING/CATALOG 

NUMBER

SIZE

DIM. A (INCHES)

DIM. B (INCHES)

MAX INTERRUPTING

RATING RMS (ASYM)*

FIGURE

NUMBER

5.5 MAX. KV CLIP LOCK

10E1CL5.5

10E

16.38"

15.13"

80,000

7

15E1CL5.5

15E

16.38"

15.13"

80,000

7

20E1CL5.5

20E

16.38"

15.13"

80,000

7

25E1CL5.5

25E

16.38"

15.13"

80,000

7

30E1CL5.5

30E

16.38"

15.13"

80,000

7

40E1CL5.5

40E

16.38"

15.13"

80,000

7

50E1CL5.5

50E

16.38"

15.13"

80,000

7

65E1CL5.5

65E

16.38"

15.13"

80,000

7

80E1CL5.5

80E

16.38"

15.13"

80,000

7

100E1CL5.5

100E

16.38"

15.13"

80,000

7

125E1CL5.5

125E

16.38"

15.13"

80,000

7

150E1CL5.5

150E

16.38"

15.13"

80,000

7

225E2CL5.5

225E

17.38"

16.13"

80,000

8

250E2CL5.5

250E

17.38"

16.13"

80,000

8

300E2CL5.5

300E

17.38"

16.13"

80,000

8

350E2CL5.5

350E

17.38"

16.13"

80,000

8

400E2CL5.5

400E

17.38"

16.13"

80,000

8

450E2CL5.5

450E

17.38"

16.13"

80,000

8

500E3CL5.5

500E

17.38"

16.13"

80,000

9

550E3CL5.5

550E

17.38"

16.13"

80,000

9

600E3CL5.5

600E

17.38"

16.13"

80,000

9

4.31

7.94

11.56

1.25

A B

1.25

.25

3.0

Clip Lock Design

The clip lock type designs ensures a positive contact between 
the fuse and the connection cam. The fuse’s clip lock tab slides 
in between the clip casting and the cam to prevent the fuse 
from slipping or blowing out of the holder. This positive contact 
improves heat dissipation and allows fuses to run cooler.

Figure 7

Figure 8

Figure 9

E-RATED

ORDERING/CATALOG 

NUMBER

SIZE

DIM. A (INCHES)

DIM. B (INCHES)

MAX INTERRUPTING

RATING RMS (ASYM)*

FIGURE

NUMBER

8.25 MAX. KV CLIP LOCK

10E1CL8.25

10E

17.38"

16.13"

80,000

7

15E1CL8.25

15E

17.38"

16.13"

80,000

7

20E1C8.25

20E

17.38"

16.13"

80,000

7

25E1CL8.25

25E

17.38"

16.13"

80,000

7

30E1CL8.25

30E

17.38"

16.13"

80,000

7

40E1CL8.25

40E

17.38"

16.13"

80,000

7

50E1CL8.25

50E

17.38"

16.13"

80,000

7

65E1CL8.25

65E

17.38"

16.13"

80,000

7

80E1CL8.25

80E

17.38"

16.13"

80,000

7

100E1CL8.25

100E

17.38"

16.13"

80,000

7

125E2CL8.25

125E

17.38"

16.13"

80,000

8

150E2CL8.25

150E

17.38"

16.13"

80,000

8

175E2CL8.25

175E

17.38"

16.13"

80,000

8

200E2CL8.25

200E

17.38"

16.13"

80,000

8

225E2CL8.25

225E

17.38"

16.13"

80,000

8

250E2CL8.25

250E

17.38"

16.13"

80,000

8

300E2CL8.25

300E

17.38"

16.13"

80,000

8

350E3CL8.25

350E

17.38"

16.13"

80,000

9

E-RATED

ORDERING/CATALOG 

NUMBER

SIZE

DIM. A (INCHES)

DIM. B (INCHES)

MAX INTERRUPTING

RATING RMS (ASYM)*

FIGURE

NUMBER

15.5 MAX. KV CLIP LOCK

10E1CL15.5

10E

19.8"

18.1"

60,000

7

15E1CL15.5

15E

19.8"

18.1"

60,000

7

20E1CL15.5

20E

19.8"

18.1"

60,000

7

25E1CL15.5

25E

19.8"

18.1"

60,000

7

30E1CL15.5

30E

19.8"

18.1"

60,000

7

40E1CL15.5

40E

19.8"

18.1"

60,000

7

50E1CL15.5

50E

19.8"

18.1"

60,000

7

65E1CL15.5

65E

22.81"

21.13"

60,000

7

80E1CL15.5

80E

22.81"

21.13"

60,000

7

100E1CL15.5

100E

22.81"

21.13"

60,000

7

125E2CL15.5

125E

22.81"

21.13”

60,000

8

150E2CL15.5

150E

22.81”

21.13”

60,000

8

175E2CL15.5

175E

22.81"

21.13”

60,000

8

200E2CL15.5

200E

22.81”

21.13”

60,000

8

150E3CL15.5

150E

22.81"

21.13”

60,000

9

200E3CL15.5

200E

22.81"

21.13”

60,000

9

250E3CL15.5

250E

22.81"

21.13”

60,000

9

300E3CL15.5

300E

22.81"

21.13”

60,000

9

Dimensions in inches

* RMS Asymmetrical amperes = RMS Symmetrical amperes x 1.6

POWRGARD-Electrical-Product-Catalog-html.html
background image

47

littelfuse.com 

© 2018 Littelfuse POWR-GARD

®

 Products Catalog

Fuses – Medium Voltage

Medium V

oltag

Fuses

3

E-RATED POTENTIAL TRANSFORMER FUSES

A

B

Description

Potential Transformer (PT) fuses are current-limiting fuses 
with high interrupting ratings designed for the protection of 
potential transformers.

Application Note

When applying fuses for the protection of transformers, 
the magnetizing current in-rush must be considered. The 
characteristics of the in-rush, which can be matched with 
a fuse time-current curve, should be available from the 
 transformer  manufacturer.

Characteristics

Voltage Ratings

 

625 Vac – 25,800 Vac

Current Range

 

1/2E – 10E

E-RATED

ORDERING/CATALOG 

NUMBER

SIZE

LENGTH DIM. A 

(INCHES)

DIAMETER DIM. B 

(INCHES)

MAX INTERRUPTING

RATING RMS (ASYM)*

62

5

VO

LT

3E4PT.6

3E

4.6”

0.8125”

37,500

5E4PT.6

5E

4.6”

0.8125”

37,500

7E4PT.6

7E

4.6”

0.8125”

37,500

10E4PT.6

10E

4.6”

0.8125”

37,500

2.7

5

MA

X.

KV

500E4PT2.4

1/2E

4.6”

0.8125”

37,500

1E4PT2.4

1E

4.6”

0.8125”

37,500

2E4PT2.4

2E

4.6”

0.8125”

37,500

2.7

M

A

X. K

V

1E6PT2.75

1E

7.4”

1.5625”

37,500

2E6PT2.75

2E

7.4”

1.5625”

37,500

3E6PT2.75

3E

7.4”

1.5625”

37,500

1E8PT2.75

1E

9.5”

1.5625”

37,500

2E8PT2.75

2E

9.5”

1.5625”

37,500

3E8PT2.75

3E

9.5”

1.5625”

37,500

4.8 MA

X.

KV

1E5PT4.8

1E

5.6”

0.8125”

50,000

2E5PT4.8

2E

5.6”

0.8125”

50,000

5.5

M

A

X. K

V

500E6PT5.5

1/2E

7.4”

1.5625”

50,000

1E6PT5.5

1E

7.4”

1.5625”

50,000

2E6PT5.5

2E

7.4”

1.5625”

50,000

3E6PT5.5

3E

7.4”

1.5625”

50,000

5E6PT5.5

5E

7.4”

1.5625”

50,000

500E8PT5.5

1/2E

9.5”

1.5625”

50,000

1E8PT5.5

1E

9.5”

1.5625”

50,000

2E8PT5.5

2E

9.5”

1.5625”

50,000

3E8PT5.5

3E

9.5”

1.5625”

50,000

5E8PT5.5

5E

9.5”

1.5625”

50,000

10E8PT5.5

10E

9.5”

1.5625”

50,000

8.2

5

MA

X.

KV

500E8PT8.25

1/2E

9.5”

1.5625”

50,000

1E8PT8.25

1E

9.5”

1.5625”

50,000

2E8PT8.25

2E

9.5”

1.5625”

50,000

3E8PT8.25

3

9.5”

1.5625”

50,000

15

.5

M

A

X. K

V

500E11PT15.5

1/2E

12.8”

1.5625”

35,000

1E11PT15.5

1E

12.8”

1.5625”

35,000

2E11PT15.5

2E

12.8”

1.5625”

35,000

3E11PT15.5

3E

12.8”

1.5625”

35,000

3E16PT15.5

3E

17.5”

1.5625”

35,000

5E16PT15.5

5E

17.5”

1.5625”

35,000

25.8 MA

X.

KV

500E16PT25.5

1/2E

17.5”

1.5625”

32,000

1E16PT25.5

1E

17.5”

1.5625”

32,000

Dimensions

* RMS Asymmetrical amperes = RMS Symmetrical amperes x 1.6

POWRGARD-Electrical-Product-Catalog-html.html
background image

48

© 2018 Littelfuse POWR-GARD

®

 Products Catalog

littelfuse.com

Medium V

oltag

Fuses

3

Fuses – Medium Voltage

LIVE PARTS

TRIPLE BARREL

Bottom Lever In

Closed Position

.56 Dia. (2) Holes

For Mounting

Cable/Bus

.44 DIA. (2) HOLES

DOUBLE BARREL

SINGLE BARREL

1.75

1.00

2.00

2.00

2.00

4.9

4.85

3.63

3.63

3.75

Top Lever in

Open Position

A

Blown Fuse

Indicator

TOP

VIEW

.78

.63

.08

.30

.31

.08

.71

1.15

.05

.78

Description

Live parts are available for mounting E, R, and PT  single, double, and triple barrel 
fuses. Mounting clips are available for ferrule type and clip lock style fuses.  
All clips are sold in pairs.

Part Number 700-520-CL

Ordering Number 0700520.ZXCL

Clip Lock Design

Part Number 700-530

Ordering Number 0700530.Z

For use with all 3" diameter fuses.

Dimensions for reference only.

Part Number 700-500

Ordering Number 0700500.Z

For use with all 

13

/

16

" (.8125”) diameter PT fuses

Part Number 700-156

Ordering Number 0700156.Z

For use with 1

9

/

16

" (1.5625”) to 1

5

/

8

” (1.625”) diameter PT fuses.

Part Number 700-300

Ordering Number 0700300.Z

For use with 3” diameter fuses.

2.85

Mounting Hole

Dimension

2.00

3.74

1.00

Dimensions in inches

Dimensions in inches

Mounting Details for Clip Lock

CATALOG NUMBER

DIMENSION A (INCHES)

10E1CL5.5 thru 150E1CL5.5

12.88

225E2CL5.5 thru 600E3CL5.5

13.88

10E1CL8.25 thru 350E3CL8.25

13.88

10E1CL15.5 thru 50E1CL15.5

16.25

65E1CL15.5 thru 300E3CL15.5

19.25

POWRGARD-Electrical-Product-Catalog-html.html
background image

49

littelfuse.com 

© 2018 Littelfuse POWR-GARD

®

 Products Catalog

Medium V

oltag

Fuses

3

L17T Series Telecommunications Power Fuse ........................... 50
 
TLN Series Telecommunications Power Fuse .............................51
 
TLS Series Telecommunications Power Fuse ............................ 52
 
Alarm Indicating Fuses ................................................................ 54
 
LTFD101 Telecommunication Disconnect Switch ...................... 55

TELECOM PRODUCTS

Table of Contents

Section Overview

Rely on Littelfuse for short circuit protection of telecommunications 
circuits and sensitive DC power distribution circuits.

POWRGARD-Electrical-Product-Catalog-html.html
background image

50

© 2018 Littelfuse POWR-GARD

®

 Products Catalog

littelfuse.com

Fuses – Telecom Products

Telecom Pr

oducts

4

L17T SERIES TELECOM POWER FUSE  

170 Vdc • Current-Limiting • 70-1200 A

Description

Specifically designed for short-circuit protection of 
telecommunications circuits, the Littelfuse L17T 
series fuses provide reliable protection of sensitive 
DC power distribution systems. Constructed with 
silver plated elements for low I

2

t and peak let-through, 

these advanced fuses virtually eliminate equipment 
damage due to surges and spikes. The L17T series 
fuse unique element geometry also provides 
cooler running temperatures, helping to minimize 
heat within enclosures.

Features

•  Low I

2

t

•  Extremely current-limiting
•  Low operating temperature
•  170 Vdc rating

Specifications

Voltage Rating

 

 

170 Vdc

Interrupting Rating

   

100 kA

Ampere Range

 

 

70 – 1200 A

Approvals

 

 

 UL Recognized (File: E71611) 
CSA Recognized (File: LR29862)

A

B

C

D

F

G

E

 H

Fig. 3

Ordering Information

AMPERE 

RATING

DIMENSIONS INCHES (mm)

A

B

C

D

E

F

G

H

70 – 250

1

5

32

(29.4)

1

7

8

(47.6)

2

3

16

(55.6)

 2

21

32

(67.5)

1

(25.4)

7

8

(22.2)

0.327

 

 

(8.3)

3

16

(4.8)

300 – 800

1

1

4

(31.8)

1

15

16

(49.2)

2

9

16

(65.1)

3

1

2

(88.9)

1

1

2

(38.1)

1

(25.4)

13

32

(10.3)

1

4

(6.35)

900–1200

1

11

32

(34.0)

 —

 —

4

1

16

(103.1)

2

(50.8)

1

1

2

(38.1)

1

4

(6.35)

AMPERE RATINGS

70

125

200

300

450

800

1100

90

150

225

350

500

900

1200

100

175

250

400

600

1000

Web Resources

For additional information, visit:  

littelfuse.com/l17t

SERIES

VOLTAGE

AMPERAGE

CATALOG 

NUMBER

ORDERING 

NUMBER

L17T

170

1200

L17T 1200

L17T1200V

Dimensions Inches (mm)

POWRGARD-Electrical-Product-Catalog-html.html
background image

51

littelfuse.com 

© 2018 Littelfuse POWR-GARD

®

 Products Catalog

Fuses – Telecom Products

Telecom Pr

oducts

4

TLN SERIES TELECOM POWER FUSE  

170 Vdc • Current-Limiting • 1-600 A

Description

The TLN Series fuses are specifically designed for 
the protection of telecommunications DC power 
distribution circuits.

Features

•  170 Vdc rating
•  Fast-acting and current-limiting
•  1 to 600 amperes rating
•  Dimensionally similar to 250 V Class R fuses

Dimensions Inches (mm)

Specifications

Voltage Rating 

 

170 Vdc

Interrupting Rating

   

100 kA 

Ampere Range 

 

1 – 600 A

Approvals

 

 

 UL Recognized (File: E71611)

Ordering Information

Web Resources

For additional information, visit:  

littelfuse.com/tln

Recommended Fuse Holders

LFR25 Series ...................................................................... 94

AMPERE RATINGS

1

15

40

80

150

300

600

3

20

45

90

175

350

5

25

50

100

200

400

6

30

60

110

225

450

10

35

70

125

250

500

SERIES

VOLTAGE

AMP

CATALOG 

NUMBER

ORDERING 

NUMBER

TLN

170VDC

6

TLN006

0TLN006.T

Replaces competitors’ TPN and TGN Series.

F

A

FIG. 1

D

G

E

C

B

D

J

F

FIG. 2

A

B

C

A

H

K

AMPERES

FIGURE  

NUMBER

DIMENSIONS INCHES (mm)

A

B

C

D

E

F

G

H

J

K

1 – 30

1

2  (50.8)

1

2

  (12.7)

1

2

  (12.7)

9

16

  (14.3)

5

64

  (2.0)

5

32

  (4.0)

3

8

  (9.5)

35 – 60

1

3  (76.2)

3

4

  (19.1)

5

8

  (15.9)

13

16

  (20.6)

3

32

  (2.4)

3

16

  (4.8)

5

8

  (15.9)

70 – 100

2

5

7

8

  (149.2)

1  (25.4)

1

1

16

  (27.0)

1

1

16

  (27.0)

1

8

  (3.2)

3

4

  (19.1)

1

1

4

  (31.6)

1

4

  (6.4)

9

32

  (7.1)

1

2

  (12.7)

110 – 200

2

7

1

8

  (181.0)

1

1

2

  (38.1)

1

15

32

  (37.3) 1

19

32

  (40.5)

3

16

  (4.8)

1

1

8

  (28.6)

1

27

32

  (46.8)

7

16

  (11.1)

9

32

   (7.1)

11

16

   (17.5)

225 – 400

2

8

5

8

  (219.1)

2  (50.8)

1

15

16

  (49.2) 2

3

32

  (53.2)

1

4

  (6.4)

1

5

8

  (41.3)

2

11

32

  (59.5)

5

8

  (15.9)

13

32

  (10.3)

15

16

  (23.8)

450 – 600

2

10

3

8

  (263.5) 2

1

2

  (63.5)

2

3

8

  (60.3) 2

19

32

  (65.9)

1

4

  (6.4)

2  (50.8)

2

27

32

  (72.2)

3

4

  (19.1)

17

32

  (13.5)

1

1

8

  (28.6)

POWRGARD-Electrical-Product-Catalog-html.html
background image

52

© 2018 Littelfuse POWR-GARD

®

 Products Catalog

littelfuse.com

Fuses – Telecom Products

Telecom Pr

oducts

4

TLS SERIES TELECOM POWER FUSE  

170 Vdc • Current-Limiting • 1-125 A

Description

Littelfuse TLS Series fuses are designed specifically for 
the protection of telecommunications equipment. TLS 
fuses have been engineered to operate up to 170 Vdc to 
provide current-limiting short-circuit protection for cables 
and components found in the DC power distribution circuits 
of telecommunications systems. The compact design and 
multiple mounting configurations of the TLS series allow it to 
be used in a variety of applications.

Features

•  170 Vdc rating
•  Current-limiting
•  1 to 125 amperes rating
•  Multiple mounting configurations —  

Cartridge, Vertical, Leaded, Bolt-In, or Solder type. See 
dimensions on page 2 for mounting style details.

•  RoHS Compliant

Web Resources

For additional information, visit:  

littelfuse.com/tls

Recommended Fuse Holders

LFTD series disconnect switches

LFT30060 

(for TLS series cartridge style fuse)

 ...............................100

Contact factory for more information.

Specifications

Voltage Rating

 

170 Vdc

Ampere Range

 

1 – 125 A

Interrupting Rating

 

100 kA

Approvals

 

UL Recognized (File: E71611)

Construction

 

Body: Glass melamine 

 

Caps: Silver-plated brass

Environmental

 

RoHS Compliant, Lead (Pb) Free

Ordering Information

AMPERE RATINGS

1

6

25

50

90

2

10

30

60

100

3

15

35

70

110*

5

20

40

80

125*

*Available in standard cartridge only.

SERIES AMP MOUNTING  

METHOD

MOUNTING  

SUFFIX

CATALOG 

NUMBER

ORDERING 

NUMBER

TLS

6

Cartridge

TLS006

0TLS006.T

TLS

15

Vertical

V

TLS015V

0TLS015.TXV

TLS

35

Leaded

L

TLS035L

0TLS035.TXL

TLS

50

Bolt-In

LB

TLS050LB

0TLS050.TXLB

TLS

80

Solder

LS

TLS080LS

0TLS080.TXLS

TLS

100

Solder

MB

TLS100MB

0TLS100.TXMB

0TLS   xxx   T   –

Package Quantity

Series

Mounting Options

Amp Code

T = 10 

(excludes LSA option)

 

Blank = Cartridge 

XV = Vertical

XL = Leaded

XLB = Bolt-In

XLS = Solder

XMB = Solder 

(Mid-Board Mount)

POWRGARD-Electrical-Product-Catalog-html.html
background image

53

littelfuse.com 

© 2018 Littelfuse POWR-GARD

®

 Products Catalog

Fuses – Telecom Products

Telecom Pr

oducts

4

TLS SERIES TELECOM POWER FUSE

TLS-LS

.944

.877

REF.

+.020

-.017

TLS-LS

Pad Layout

TLS-V

Pad Layout

TLS-V

TLS-MB

TLS-MB

Pad Layout

TLS-LSA

TLS-LSA

Pad Layout

TLS-LB

TLS-L

TLS-L

Pad Layout

TLS

Dimensions Inches (mm)

Recommended  

mounting hardware: 

 

#8 slotted hex washer 

head machine screw

Torque: 

10 in-lb

POWRGARD-Electrical-Product-Catalog-html.html
background image

54

© 2018 Littelfuse POWR-GARD

®

 Products Catalog

littelfuse.com

Fuses – Telecom Products

Telecom Pr

oducts

4

481 SERIES ALARM INDICATING FUSES  

Alarm Indicating Fuses

481 Series Alarm Indicating Fuses

Description

481 Series alarm indicating fuses are designed to reduce 
down time by immediately pinpointing the blown (open) 
circuit while triggering an LED or audio alarm. This item 
requires 482 Series mating fuse holder. 

All ranges of 481 Series fuses are available as our original 
design, and the 2-20 amp range is now available as a RoHS 
compliant option (use the “P” designator when ordering). 
See the part numbering section of the datasheet for related 
ordering instructions. 

Specifications

Voltage Rating 

125 Vac/dc

Approvals

 

 UL Recognized (File: E71611) 
CSA Recognized (File: LR29862)

Ordering Information

 

AMPERE RATINGS

18

/

100

3

/

8

3

/

4

1

/

2

3

5

12

1

/

5

1

/

2

1

2

1

/

2

1

/

2

15

1

/

4

65

/

100

1

/

3

1

/

2

4

10

20

 

SERIES

VOLTAGE

AMP

CATALOG 

NUMBER

ORDERING 

NUMBER

481

125 ac/dc

2

481002L

0481002.VXL

Note: For 481 Dummy fuse, order 481000.

Recommended Fuse Holders

482 Series, see website: 

littelfuse.com/482

 

Available 1-20 pole with PCB or panel mounting. 
To order with protective lens add suffix XL.

Web Resources

For additional information, visit: 

littelfuse.com/481

POWRGARD-Electrical-Product-Catalog-html.html
background image

55

littelfuse.com 

© 2018 Littelfuse POWR-GARD

®

 Products Catalog

Fuses – Telecom Products

Telecom Pr

oducts

4

LTFD 101 SERIES TELECOM DISCONNECT SWITCH

80 Vdc • 1-125 A

Specifications

Voltage Rating

 

80 Vdc

Ampere Range

 

1  – 125 A 

Approvals

 

UL Recognized (File: E122674)

Recommended Fuses

Littelfuse TLS Series fuses ................................................ 52

Description

Littelfuse compact LTFD 101 fuse holders for TLS fuses 
are designed for quick installation into telecom equipment 
panels. Their modular design fits into spaces originally 
designed for circuit breakers and can be front panel 
mounted or rear mounted using bullet connectors.  
The innovative new pull-out design eliminates the  
need for tools to replace fuses and includes an  
alarm signaling circuit to identify the blown fuse.

Features

•  Extremely compact
•  Quick mounting
•  Replaces circuit breakers
•  Includes alarm signaling circuit

Web Resources

For additional information, visit:  

littelfuse.com/ltfd101

Dimensions for reference only. For additional options and dimensions, contact the factory.

6-32 Insert

0.20  ±.030 Deep

0.75"

(19.05)

2.50"

(63.5)

2.062"

(52.375)

1.940"

(49.276)

2.00"

(50.8)

0.85"

(21.59)

LOAD

LINE

 3.625"

(92.08)

0.305" (7.747) Dia.

Bullet Terminal

Alarm pin

0.02" (.508) x 0.11" (2.794)

position optional

C

 L

Ordering Information

SERIES AMPERAGE

CATALOG 

NUMBER

ORDERING 

NUMBER

TERMINAL 

TYPE

LTFD

125 A MAX

LTFD101-1

LTFD0101ZX1

BULLET

LTFD

125 A MAX

LTFD101-2

LTFD0101ZX2

SCREW

LTFD

125 A MAX

LTFD101-3

LTFD0101ZX3

STUD

LTFD

70 A MAX

LTFD101-4

LTFD0101ZX4

CLIP

Dimensions Inches (mm)

POWRGARD-Electrical-Product-Catalog-html.html
background image

56

© 2018 Littelfuse POWR-GARD

®

 Products Catalog

littelfuse.com

56

littelfuse.com

Solar Rated Products Overview .................................................. 57

1500 Vdc Solar Rated Fuses ....................................................... 58

1000 Vdc Solar Rated Fuses ....................................................... 61

Forklift / Stud Mounted Fuses .................................................... 64

Plug Fuses ................................................................................... 65

MEGA

®

 Bolt-Down Fuses ........................................................... 65

In-Line Fuses And Holder ........................................................... 66

Cable Limiters ............................................................................. 67

Cylindrical Fuses ......................................................................... 68

OEM Custom Products ............................................................... 69

SPECIAL PURPOSE FUSES

Table of Contents

POWR-GARD

®

 Circuit Protection

Littelfuse engineering is constantly 
developing new products to meet the 
needs of the photovoltaic industry. For  
the latest information on the growing 
POWR-GARD Product portfolio, visit:

  

littelfuse.com/solar

Section Overview

Whether you are protecting solar equipment or finding a 
replacement fuse for an aging HVAC unit, Littelfuse carries the 
breadth of fuses to meet your needs. Our “special purpose”  
fuse section includes application-specific products to meet  
all of your application needs.

POWRGARD-Electrical-Product-Catalog-html.html
background image

Solar F

uses

5

57

littelfuse.com 

© 2017 Littelfuse POWR-GARD

®

 Products Catalog

Fuses - Solar

SOLAR RATED PRODUCTS BY APPLICATION

D

With over 16.5 million devices installed in photovoltaic power systems, Littelfuse understands the global challenges of the 
solar market. Littelfuse offers numerous circuit-protection products that are uniquely suited to protect the equipment and 
systems subject to the harsh environments of standard photovoltaic installations.

POWRGARD-Electrical-Product-Catalog-html.html
background image

58

© 2018 Littelfuse POWR-GARD

®

 Products Catalog

littelfuse.com

Fuses - Solar

Solar F

uses

5

SPXV SERIES SOLAR FUSE

1500 Vdc • 6 – 30 A

Dimensions mm (inches)

6 – 20 A

25 – 30 A

Specifications

Voltage Rating 

1500 Vdc

Amperage Rating 

6, 8, 10, 12, 15, 20, 25, 30 A

Interrupting Rating 

15 kA (UL 248-19) 

 

50 kA (Self-Certified) 6A – 20A

 

30 kA (Self-Certified) 25A – 30A

Time Constant 

≤ 

1ms

Material 

Body: Melamine

 

Caps: Copper Alloy (Nickel Plated)

Approvals 

UL 248-19 Listed (File: E339112) 

Environmental 

RoHS Compliant 

 REACH

Country of Origin 

Mexico

Part Numbering System

SPXV  xxx   T

Package Quantity

Series

Amp Code

T = 10 

L = 50

Refer to Amp Code 

Column in Ordering 

Information Table

SERIES

AMP

PACKAGE 

QUANTITY

CATALOG  

NUMBER

ORDERING  

NUMBER

SPXV

6

10

SPXV006

SPXV006.T

SPXV

20

50

SPXV020

SPXV020.L

Description

The Littelfuse SPXV solar string fuse is designed  
specifically for 6-30 A 1500 Vdc applications.

Features/Benefits

•  10 x 85 mm package size
•  UL 248-19 Listed
•  Meets IEC 60269-6 electrical performance requirements
•  Up to 50,000A interrupting rating

Applications

•  Inverters
•  Combiner boxes

Web Resources

Download technical resources at: 

littelfuse.com/spxv

For silver plated version: 

littelfuse.com/spxvs

84.65

(3.333)

84.65

(3.333)

13.72

(0.540)

10.00

(0.394)

10.31

(.406)

POWRGARD-Electrical-Product-Catalog-html.html
background image

59

littelfuse.com 

© 2018 Littelfuse POWR-GARD

®

 Products Catalog

Fuses - Solar

Solar F

uses

5

SPXI SERIES IN-LINE SOLAR FUSES

1500 Vdc • 2.5-30 A (Patent Pending)

Specifications

Voltage Rating  

1500 Vdc

Amperage Rating  

2.5, 3.5, 4, 6, 8, 10, 12, 15, 20, 25, 30 A

Interrupting Ratings 

15 kA (UL 248-19) 

 

30 kA (Self-Certified)

Time Constant 

≤ 

1ms

Material  

Body: Melamine

 

Caps: Copper Alloy (Nickel Plated)

Approvals  

UL 248-19 Recognized (File: E339112)

Environmental  

RoHS Compliant

 REACH

Country of Origin  

Mexico

Part Numbering System

SPXI  xxx   T

Package Quantity

Series

Amp Code

T = 10 

L = 50

SERIES AMP

PACKAGE 

QUANTITY

CATALOG  

NUMBER

ORDERING  

NUMBER

SPXI

3.5

10

SPXI03.5

SPXI03.5T

SPXI

4

10

SPXI004

SPXI004.T

SPXI

20

50

SPXI020

SPXI020.L

Description

The Littelfuse SPXI solar fuse is designed to integrate into 
an in-line assembly within a wire harness. The fuse provides 
photovoltaic (PV) protection that meets UL 248-19 for 
photovoltaic applications. The SPXI can be electrically insulated 
by either overmolding or using heat-shrink.

Features/Benefits

•  UL 248-19 Recognized
•  Meets IEC 60269-6 electrical performance requirements

•  30,000 A interrupting rating
•  No fuse holder required

Applications

•  Photovoltaic wire harness

Recommended Crimping Tool

T&B Sta-Kon ERG4002

Dimensions mm (in)

Web Resources

Download additional technical information and view the 
complete solar portfolio: 

littelfuse.com/spxi

2.5-4 A

6-20 A

25-30 A

10.31

(0.406)

9.53

(0.375)

110.06

(4.333)

9.53

(0.375)

5.59

(0.220)

10.31

(0.406)

5.59

(0.220)

81.41

(3.205)

3.56

(0.140)

110.06

(4.333)

12.26

(0.483)

9.53

(0.375)

13.72

(0.540)

5.59

(0.220)

12.26

(0.483)

12.26

(0.483)

3.56

(0.140)

3.56

(0.140)

Refer to datasheet 

for amp code

POWRGARD-Electrical-Product-Catalog-html.html
background image

60

© 2018 Littelfuse POWR-GARD

®

 Products Catalog

littelfuse.com

Fuses - Solar

Solar F

uses

5

Description

The SPNH series has been designed to meet the emerging 
circuit protection needs for 1500 volt photovoltaic systems. 
These fuses provide full range protection for all potential 
overcurrent conditions that exist in PV applications. Suitable 
for PV inverter protection and array combiner applications.

Features/Benefits

•  Meets UL and IEC photovoltaic standards
•  Compact NH XL Sizes
•  Low Watt Loss Design
•  1500Vdc rating for emerging market needs
•  Designed to protect against a full range of overcurrents

Applications

• 

Inverters

• 

Re-combiner boxes

• 

Array/Re-combiner application

• 

PV Inverter DC input protection 

Web Resources

Download technical documents: 

Littelfuse.com/spnh

SPNH SERIES SOLAR FUSE

1500 Vdc  •  50-400 A • NH Style

Look for this logo to indicate products that are used in solar applications. Visit our website 

Littelfuse.com/solar

 for the latest updates on approvals, certifications, and new products.

Specifications

Voltage Rating

 

1500 Vdc

Amperage Rating

 

50, 63, 80, 100, 125, 160, 200, 250, 315,  

 

 

350, 400

Interrupting Rating

 15kA

 

30kA self-certified

Time Constant 

≤  

2ms

Material

 

Body: Ceramic 

 

End Bells: Copper Alloy

Approvals

 

UL 248-19 Listed (File: E339112, Vol. 4) (50-200A)

 

250-400A pending

 

IEC 60269-6

Environmental

 

RoHS Compliant

SERIES AMP

PACKAGE 

QUANTITY

CATALOG  

NUMBER

ORDERING  

NUMBER

SPNH

50

1

SPNH050

SPNH050.X

SPNH

200

1

SPNH200

SPNH200.X

*Solid blade option for 1XL case size does not require a case or termination designator for 
the part number.

Part Numbering System

SPNH   XXX  .X   X   DL

Series

Amp Code

Package Quantity

X = 1

Case Size*

X = 1XL size

2XL = 2XL size

3L = 3L size

Termination* 

Blank = Solid Blade

DL = S Blade

DE = U blade

Refer to Amp Code 

Column in Electrical 

Specifications Table

Recommended Accessories

1XL Case Size

Fuse Holder:

 LFNH152001CST 

Fuse Terminial Covers:

 LFNH15200FBC

2XL Case Size

Fuse Holder:

 LFNH154001CST 

Fuse Terminial Covers:

 LFNH15400FBC

3L Case Size

Fuse Holder:

 LFNH156301CST 

Fuse Terminial Covers:

 LFNH15630FBC

POWRGARD-Electrical-Product-Catalog-html.html
background image

61

littelfuse.com 

© 2018 Littelfuse POWR-GARD

®

 Products Catalog

Fuses - Solar

Solar F

uses

5

SPFI SERIES IN-LINE SOLAR FUSE

1000 Vdc • 2-30 A (Patent Pending)

Specifications

Voltage Rating 

1000 Vdc

Amperage Rating 

2, 2.5, 3, 3.5, 4, 5, 6,  

 

8, 10, 12, 15, 20, 25, 30 A

Interrupting Rating 

20 kA

Time Constant 

≤ 

1ms

Material 

Body: Melamine

 

Caps: Copper Alloy (Nickel Plated)

Approvals 

UL 248-19 Recognized (File: E339112) 

Environmental 

RoHS Compliant 

 REACH

Country of Origin 

Mexico

Part Numbering System

Web Resources

Downloadable CAD drawings and other technical 
information: 

littelfuse.com/spfi

Recommended Crimping Tool

T&B Sta-Kon ERG4002

Description

The Littelfuse SPFI solar fuse is designed to integrate 
into an in-line assembly within a wire harness. The fuse 
provides photovoltaic (PV) protection that meets UL 248-19 
for photovoltaic applications. The SPFI can be electrically 
insulated by either overmolding or using heat-shrink.

Features/Benefits

•  UL 248-19 Recognized
•  Meets IEC 60269-6 electrical performance requirements 

•  20,000 A Interrupting Rating
•  No fuse holder required

Applications

•  Photovoltaic wire harness

Dimensions mm (in)

SERIES

AMP

PACKAGE 

QUANTITY

CATALOG  

NUMBER

ORDERING  

NUMBER

SPFI

2

10

SPFI002

SPFI002.T

SPFI

3.5

10

SPFI03.5

SPFI03.5T

SPFI

20

50

SPFI020

SPFI020.L

SPFI  xxx   T

Package Quantity

Series

Amp Code

T = 10 

L = 50

Refer to datasheet 

for amp code

63.50

(2.50)

12.26

(0.483)

5.59

(0.22)

10.31

(0.406)

9.53

(0.375)

ø 3.56

(0.140)

POWRGARD-Electrical-Product-Catalog-html.html
background image

62

© 2018 Littelfuse POWR-GARD

®

 Products Catalog

littelfuse.com

Fuses - Solar

Solar F

uses

5

SPF SERIES SOLAR FUSES

1000 Vdc • 1-30 A

Specifications

Voltage Rating  

1000 VDC

Amperage Rating  

1, 2, 3, 3.5, 4, 5, 6, 8, 10, 12, 15, 20, 25, 30

Max. Interrupting Rating 

20 kA - 1A - 20A

 

50 kA - 25A - 30A

Time Constant 

≤ 

2ms

Material  

Body: Melamine

 

Caps: Copper Alloy

Approvals  

UL 248-19 Listed (File: E339112)

 

IEC 60269-6 (1-30 A)

 

CSA Certified (File: 029862_0_000)

Environmental  

 

RoHS Compliant

Country of Origin  

 

Mexico

Description

The SPF Solar Protection Fuse series has been specifically 
designed for the protection of photovoltaic (PV) systems. 
This family of Midget style fuses (10 x 38 mm) can safely 
protect PV modules and conductors from reverse- 
overcurrent conditions.
As PV systems have grown in size, so have the 
corresponding voltage requirements. This increase in system 
voltage has typically been intended to minimize power 
loss associated with long conductor runs. Standard circuit 
protection devices are not designed to completely protect 
photovoltaic panels. However, the SPF series is UL Listed to 
safely interrupt faulted circuits up to this demanding voltage 
level.
Littelfuse offers 14 ampere ratings to match specific 
requirements in a variety of applications.

Features/Benefits

•  Meets UL and IEC photovoltaic standards

•  UL 248-19 Listed 1000 Vdc maximum
•  1-30 A ratings available
•  20,000 A Interrupting Rating - 1A - 20A
•  50,000 A Interrupting Rating - 25A - 30A
•  Both PCB mount and dead-front holder options available

Applications

•  Inverters
•  Combiner boxes
•  Battery charge controllers

Recommended Fuse Holders

LPHV 1000 Vdc POWR-Safe Series

Web Resources

Download technical documents: 

littelfuse.com/spf

Dimensions Inches (mm)

SERIES AMP

PACKAGE 

QUANTITY

MOUNTING  

METHOD 

CATALOG  

NUMBER

ORDERING  

NUMBER

SPF

2

10

FERRULE

SPF002

0SPF002.T

SPF

3.5

10

FERRULE

SPF03.5

0SPF03.5T

SPF

30 

100

PCB TABS

SPF030R

0SPF030.HXR

Ferrule Version

PCB Version

Look for this logo to indicate products that are used in solar applications. Visit our website 

littelfuse.com/solar

 for the latest updates on approvals, certifications, and new products.

Part Numbering System

0SPF  xxxx   H  XR

Package Quantity

Series

Mounting Options

Amp Code

T = 10 Fuses 

H = 100 Fuses

Blank = Ferrule 

XE = Ferrule 

  (w/Enhanced Interrupting   

  Rating 25-30A)

XR/XRE = PCB

.06 (1.52)

.14 

(3.56)

.04 

(1.02)

.02 (.51)

1.53 

(38.86)

.50 (12.7)

.12 (3.05)

MOUNTING HOLE

DETAIL

.406 (10.31)

.12 

(3.05) .28 

(7.11)

1.5 (38.1)

.406 

(10.31)

.378

(9.60)

.031

+-

(   .79)

+-

POWRGARD-Electrical-Product-Catalog-html.html
background image

63

littelfuse.com 

© 2018 Littelfuse POWR-GARD

®

 Products Catalog

Fuses - Solar

Solar F

uses

5

SPFJ SERIES SOLAR FUSES

1000 Vdc  •  70-450 A

Specifications

Voltage Rating

 

1000 Vdc

 

600 Vac (125-450 A)

Amperage Rating

 

70, 80, 90, 100, 125, 160, 200,  

 

250, 300, 350, 400, 450

Interrupting Rating

 

AC: 200 kAIC (125-450 A) 

 

DC:  70-200 A: 20 kAIC 

250-400 A: 10 kAIC 
450 A: 20 kAIC

Time Constant 

≤ 

1ms

Material

 

Body: Melamine 

 

End Bells: Copper Alloy

Approvals

 

UL 248-19 Listed (File: E339112)

 

UL 248-8, Class J (125-450 A) 

 

cULus (125-450 A)

 

IEC 60269-6 (125-450 A)

Environmental

 

RoHS Compliant

Country of Origin

 Mexico

Description

The SPFJ series is the smallest 1000 Vdc 70-450 A 
photovoltaic fuse available in the market. The SPFJ series is 
manufactured in Class J case sizes that allows for both fuse 
holder and busbar mounting configuration. The SPFJ meets 
both UL and IEC requirements.

Features/Benefits

•  Meets UL and IEC photovoltaic standards
•  Small footprint reduces panel size
•  Flexibility of fuse holder or busbar mounting
•  Higher amperage solar fuses in standard sizes 
•  UL Listed branch and feeder circuit rated
•  Class J case sizes for the 125-450 A ratings

Applications

•  Inverters
•  Re-combiner boxes

Recommended Fuse Holder

LFJ1000 Solar Series

Web Resources

Download technical documents: 

Littelfuse.com/spfj

Dimensions Inches (mm)

A
B

C

F

E

D

G

AMPERAGE

DIMENSIONS IN INCHES (MM)

A

B

C

D

E

F

G

70-100

3.02 (76.5)

4.38 (111.3)

5.75 (146.1)

1.5 (38.1)

1.125 (28.3)

.335 (8.5)

.189 (4.8)

125-200

3.02 (76.5)

4.38 (111.3)

5.75 (146.1)

1.5 (38.1)

1.125 (28.3)

.281 (7.1)*

.189 (4.8)

250-400

3.37 (85.7)

5.25 (133.4)

7.125 (181.0)

2.0 (50.8)

1.63 (41.3)

.406 (10.3)

.252 (6.4)

450

3.75 (95.3)

5.98 (152.0)

8.0 (203.2)

2.5 (63.5)

2.0 (50.8)

.531 (13.5)

.374 (9.5)

* SPFJ L option = 8.5 mm (UL 248-19 approval only)

Look for this logo to indicate products that are used in solar applications. Visit our website 

Littelfuse.com/solar

 for the latest updates on approvals, certifications, and new products.

SERIES AMP

PACKAGE 

QUANTITY

MOUNTING  

METHOD 

CATALOG  

NUMBER

ORDERING  

NUMBER

SPFJ

70

1

CLASS J

SPFJ070

SPFJ070.X

SPFJ

200

1

LARGE

SPFJ200

SPFJ200.XXL

Part Numbering System

SPFJ   xxx   X   —

Package Quantity

Series

Mounting Options

Amp Code

X = 1

Blank = Class J 

XL = 8.5mm opening

Refer to Amp Code 

Column in Electrical 

Specifications Table

POWRGARD-Electrical-Product-Catalog-html.html
background image

64

© 2018 Littelfuse POWR-GARD

®

 Products Catalog

littelfuse.com

5

Ordering Information

Special Pur

pose F

uses

Fuses — Special Purpose

3.18"

(80.8)

0.343"

(8.7)

2.43"

(61.7)

Applications

Lift trucks, scissor lifts, pallet movers, and other  
low voltage battery operated equipment used to  
move hazardous materials.

Features/Benefits

•  Evaluated for use in UL 583 hazardous applications

•  Easily upgrade Type E and ES equipment to Type EE

•  Does not require an external enclosure

Specifications

Voltage Ratings

 

48 Vac/dc

Interrupting Rating

 

2,500 A

Ampere Rating 

35 – 800 A 

Approval 

UL Recognized (File: E71611) 

Torque

 

90 in-lb 

Fuse Holder

 LFFB003

Environmental

 

RoHS Compliant

Country of Origin

 Mexico

CNN_E, CNN & CNL Limiter Fuses

Description

CNN_E fuses are rated for applications up to 80 Vdc.  

As fork lift trucks voltages increase, circuit protection needs to 

be rated higher than the standard CNN products to handle the 

increased voltage. The CNN_E is considered very fast-acting 

for quicker reaction time.

Specifications

Voltage Ratings

 

CNN_E: 80 Vdc / 125 Vac 

 

CNN: 48 Vdc / 125 Vac 

 

CNL: 32 Vdc / 32 Vac

Ampere Ratings

 

10 – 800 A*

Max. Interrupting Rating 

2,500 A

Approval 

UL Recognized (File: E71611)

Environmental

 

RoHS Compliant, Lead (Pb) Free

Country of Origin

 

Mexico (CNN_E only)

*See ordering information table for available amperages by series

CNN Series only

FORK-LIFT STUD-MOUNTED FUSES  

32/48/80 Vdc • Fast-Acting and Very Fast-Acting • 35-800 A

Recommended Fuse Holders

LFFB0003Z ...................................................................... 123

Web Resources

littelfuse.com/ForkLift

Dimensions

AMPERE RATINGS

35

100

250

500

50

125

300

750*

60

150

400

800*

90

200

425

Ordering Information

SERIES

AMPERAGE CATALOG NUMBER ORDERING NUMBER

581

200

581200

0581200.X

*Contact factory for availability

HAZGARD™ Forklift Fuses

Description

HAZGARD fuses are designed to provide overcurrent protection 
for low voltage equipment used in hazardous operations. It 
is UL 248 recognized and has been evaluated for the use in 
UL 583 type EE and ES applications. Unique design does not 
require an additional enclosure as is needed with a standard 
forklift fuse, saving assembly time and costs.

AMPERE RATINGS CNN_E & CNN

10

60

125

225

325

600

35

80

150

250

350

700

40 

90

175

275

400

800

50

100

200

300

500

AMPERE RATINGS CNL (32 Vdc)

35

80

150

250

350

40

100

175

275

400

50

125

200

300

500

60

130

225

325

SERIES

TYPE

VOLT

DC

AMP CATALOG  

NUMBER

ORDERING  

NUMBER

CNN_E VERY-FAST-ACTING

80

200

CNN200E

0CNN200E.V

CNN

VERY FAST-ACTING

48

125

CNN125

0CNN125.V

CNL

FAST-ACTING

32

50

CNL050

0CNL050.V

POWRGARD-Electrical-Product-Catalog-html.html
background image

65

littelfuse.com 

© 2018 Littelfuse POWR-GARD

®

 Products Catalog

5

Special Pur

pose F

uses

Fuses — Special Purpose

Specifications

Voltage Rating

 

 

32 Vac/dc

Interrupting Rating   

2000 A @ 32 Vdc

Ordering Information

CATALOG  

NUMBER

ORDERING  

NUMBER

AMPERAGE 

RATING

VOLTAGE 

RATING

COLOR 

CODE

MEG100

0MEG100.X

100

32

MEG125

0MEG125.X

125

32

MEG150

0MEG150.X

150

32

MEG175

0MEG175.X

175

32

MEG200

0MEG200.X

200

32

MEG225

0MEG225.X

225

32

MEG250

0MEG250.X

250

32

MEG300

0MEG300.X

300

32

PLUG FUSES AND BOLT-DOWN FUSES  

125 Vac • 2-30 A

TOO fuses are dual-element time-delay Edison-base fuses 
designed for motor and motor branch circuit protection; also 
suitable for all general purpose circuits.

TOO Fuses 

Sample Part # 0TOO020.Z

Edison-base plug fuses

Description

Littelfuse plug fuses provide overcurrent protection to general 

purpose circuits and small motor loads. Edison-base plug 

fuses (TOO and TLO series) feature metal threads similar to 

incandescent lamp bases. 
Type S plug fuses (SOO and SLO series) utilize a 

nonmetallic threaded base and must be used with Type S 

adapters (SAO series). 
The National Electrical Code

®

 permits Edison base plug fuses 

to be used for replacement purposes only. Type S fuses and 

adapters prevent shunting open fuses and over-fusing.

TLO fuses are medium time-delay Edison-base fuses 
designed for general purpose branch circuit protection. 

TLO Fuses 

Sample Part # 0TLO020.Z

AMPERE RATINGS

2

1

/

4

12

25

4

8

15

30

5

10

20

MEGA

®

 SLO-BLO

®

 bolt-on fuse

Description

The MEGA Fuse is designed for the protection of high 
current applications. Designed and patented by Littelfuse, it 
is ideal for battery and alternator protection and other heavy 
gauge cable applications.

Recommended Fuse Holders

Part Number - 298900, see website: 

littelfuse.com/mega

Web Resources

Find more information: 

littelfuse.com/mega

AMPERE RATINGS

15

20

25

30

Specifications

Voltage Rating

 

125 Vac

Interrupting Rating 

10 kA rms symmetrical

Approvals

 

UL Listed 248-11

32 Vac/dc • 100-300 A

Web Resources

Fine more information: 

littelfuse.com/plug

POWRGARD-Electrical-Product-Catalog-html.html
background image

66

© 2018 Littelfuse POWR-GARD

®

 Products Catalog

littelfuse.com

5

In-Line F

uses

Fuses — Special Purpose

LGR / LMF IN-LINE FUSES & LHR FUSE HOLDER

Specifications

Voltage Rating

 

300 Vac

Interrupting Rating 

10 kA

Approvals

 

 Standard  248-14 
UL Listed (File: E10480) 
CSA Certified (File: LR29862)

Ordering Information

LGR Fuses

Fast-Acting • 300 Vac

Used as in-line protection 
for fluorescent fixtures, this 
fast-acting fuse is ideal for 
increasing the safety and 
reliability of lighting fixtures.

LMF Fuses

Time-Delay • 300 Vac

Perfect for use in lighting 
systems, this 300 Vac time-
delay fuse is designed to 
handle ballast transformer 
in-rush currents.

LHR Fuse Holder

Used as in-line protection 
for fluorescent fixtures, the 
Littelfuse LGR and LMF 
series fuses and LHR holder 
offer increased safety and 
reliability to lighting systems. 

By individually fusing fixtures, 
electrical problems are 
isolated from the rest of the 
circuit. The added benefits of 
this is the ability to quickly 
identify the problem fixture 
and reduce the repair time. 

Fuse holders are rated up to 10 amperes at 300 volts and are 
equipped with 7" 18 AWG leads. Order part number LHR000 
for two leads, and part number LHR001 for one lead; with the 
other terminal used for insertion of 18 AWG ballast lead.

Specifications

Voltage Rating 

 

300 Vac

Ampere Rating

 

 

LHR000 10 A

 

 

LHR001 10 A

Approvals  

UL Recognized

 

 

CSA Certified 

 

 

(File: 73160) 

Flammability Rating

  

UL94 V-0

Example part number

 LHR001 

Ordering number

   0LHR001T

Mounting Information

LHR001/LHR000 will fit keyhole 
punch or 0.875" knock-out hole. 
Anti-ro ta tion  fea ture  is  pro vid ed 
when used with key hole punch.

A “U-shaped” clip is avail able  
for panel mount ing (pack aged  
10 clips per bag): Order part 
number LHROCA.

Specifications

Voltage Rating

 

300 Vac

In ter rupt ing  Rating 

10 kA

Approvals

 

 Standard  248-14 
UL Listed (File: E10480) 
CSA Certified (File: LR29862)

Ordering Information

AMPERE RATINGS

1

/

2

6

/

10

3

6

9

15

1

2

4

7

10

1

/

2

1

/

2

5

8

12

AMPERE RATINGS

3

/

10

8

/

10

6

/

10

8

/

10

4

7

1

/

2

1

2

3

5

8

6

/

10

1

/

4

1

/

2

2

/

10

1

/

4

10

SERIES

AMPERAGE CATALOG NUMBER ORDERING NUMBER

LGR

5

LGR005

0LGR005.V

SERIES

AMPERAGE CATALOG NUMBER ORDERING NUMBER

LMF

5

LMF005

0LMF005.V

1.82"

0.610"

1.82"

0.610"

2.25"

7/8"

3/4"

0.263"

0.423"

0.630"

Knock-out Hole

Keyhole Punch

0.50"

0.50"

1.82"

0.610"

1.82"

0.610"

2.25"

7/8"

3/4"

0.263"

0.423"

0.630"

Knock-out Hole

Keyhole Punch

0.50"

0.50"

1.82"

0.610"

1.82"

0.610"

2.25"

7/8"

3/4"

0.263"

0.423"

0.630"

Knock-out Hole

Keyhole Punch

0.50"

0.50"

1.82"

0.610"

1.82"

0.610"

2.25"

7/8"

3/4"

0.263"

0.423"

0.630"

Knock-out Hole

Keyhole Punch

0.50"

0.50"

Keyhole Punch

Knock-out Hole

1.82"

0.610"

1.82"

0.610"

2.25"

7/8"

3/4"

0.263"

0.423"

0.630"

Knock-out Hole

Keyhole Punch

0.50"

0.50"

POWRGARD-Electrical-Product-Catalog-html.html
background image

67

littelfuse.com 

© 2018 Littelfuse POWR-GARD

®

 Products Catalog

5

Cable Limit

ers

Fuses — Special Purpose

LFCL • CABLE LIMITERS  

250/600 VAC

TYPE TERMINATION

VOLTAGE 

RATING

COPPER 

CABLE SIZE

ORDERING 

NUMBER

1

CABLE TO CABLE

600 VAC

4 AWG

LFCL0004ZC1

600 VAC

3 AWG

LFCL0003ZC1

600 VAC

2 AWG

LFCL0002ZC1

600 VAC

1 AWG

LFCL0001ZC1

600 VAC

1/0 AWG

LFCL01/0ZC1

600 VAC

2/0 AWG

LFCL02/0ZC1

600 VAC

3/0 AWG

LFCL03/0ZC1

600 VAC

4/0 AWG

LFCL04/0ZC1

600 VAC

250 kcmil

LFCL0250ZC1

600 VAC

350 kcmil

LFCL0350ZC1

600 VAC

500 kcmil

LFCL0500ZC1

600 VAC

600 kcmil

LFCL0600ZC1

600 VAC

750 kcmil

LFCL0750ZC1

600 VAC

1000 kcmil

LFCL1000ZC1

3

CABLE TO 

OFFSET BUS

600 VAC

12 AWG

LFCL0012ZC3

600 VAC

10 AWG

LFCL0010ZC3

600 VAC

6 AWG

LFCL0006ZC3

600 VAC

4 AWG

LFCL0004ZC3

600 VAC

2 AWG

LFCL0002ZC3

600 VAC

1 AWG

LFCL0001ZC3

600 VAC

1/0 AWG

LFCL01/0ZC3

600 VAC

2/0 AWG

LFCL02/0ZC3

600 VAC

3/0 AWG

LFCL03/0ZC3

600 VAC

4/0 AWG

LFCL04/0ZC3

600 VAC

250 kcmil

LFCL0250ZC3

600 VAC

350 kcmil

LFCL0350ZC3

600 VAC

500 kcmil

LFCL0500ZC3

600 VAC

600 kcmil

LFCL0600ZC3

600 VAC

750 kcmil

LFCL0750ZC3

5

STRAIGHT BUS 

TO OFFSET BUS

250 VAC

2/0 & 3/0 AWG

LFCL-UHA*

250 VAC

3/0 AWG

LFCL-UHJ-M*

250 VAC

350 kcmil

LFCL-UHJ-T*

250 VAC

600 kcmil

LFCL-UHJ-W*

600 VAC

4/0 AWG

LFCL04/0ZC5*

600 VAC

250 kcmil

LFCL0250ZC5*

600 VAC

350 kcmil

LFCL0350ZC5*

600 VAC

500 kcmil

LFCL0500ZC5*

600 VAC

750 kcmil

LFCL0750ZC5*

6

MOLE TO CABLE

600 VAC

4/0 AWG

LFCL04/0ZC6

600 VAC

250 kcmil

LFCL0250ZC6

600 VAC

500 kcmil

LFCL0500ZC6

*Suitable for use with aluminum cables / conductors. For sizing contact Tech-Line at 

800-TEC-FUSE.

Web Resources

For additional information, see website:  

littelfuse.com/lfcl

Description

Cable limiters are fusible devices that provide very fast 
short-circuit protection, primarily to faulted cables, but also to 
other conductors such as busway. Cable limiters do not have 
an ampere rating, and cannot be used to provide overload 
protection. They are instead selected by cable size; for example, 
a 500 kcmil cable requires a 500 kcmil cable limiter.  Their 
main use is to isolate faulted cables in circuits con tain ing 
three or more parallel conductors per phase. They may be 
installed on the line side of the main service to provide short-
circuit protection to the service conductors. This is especially 
important when service conductors are tapped from large low 
voltage networks or from large low impedance transformers.

Cable limiters have terminals which permit them to be installed 
in a variety of equipment.  The most common configuration is 
the offset blade on one end and the crimp terminal on the other 
end. This permits the limiter to replace a cable terminal (lug).

Applications

•  Service Entrance Conductors

•  Between Transformer or network bus and bus-way 

terminal boxes as secondary ties.

•  Feeders with three or more conductors per phase to 

share heavier load in large commercial and industrial 
installations

•  Multiple Single conductor services, tapped from single 

(utility) transformer in multi-family residential and small 
commercial installations.

Features

•  Current-limiting characteristics provide pro tec tion to 

conductor insulation and reduce damage when faults occur.

•  Properly applied cable limiters may permit the use of 

equip ment with reduced withstand ratings

•  Wide variety of terminations and cable ratings permit use 

in almost every situation. 

Specifications

Voltage Ratings

 

 

250 VAC, 600 VAC

Interrupting Rating

   

100 kA (250 VAC), 200 kA (600 VAC)

Cable Size Range 

 

12 AWG – 1000Kcmil Copper

Approvals

 

 

Contact Tech-Line at 800-TEC-FUSE

Recommended 
Installation Tool

  

Make:

 Thomas & Betts

  

Crimp Tool:

 TBM14_, TBM15_

POWRGARD-Electrical-Product-Catalog-html.html
background image

68

© 2018 Littelfuse POWR-GARD

®

 Products Catalog

littelfuse.com

5

Cylindr

ical F

uses

Fuses — Special Purpose

Dimensions

Web Resources

For additional product information 
Fuses:

 littelfuse.com/cy

 

Fuse Holders:

   littelfuse.com/lfpsm 

littelfuse.com/cyh

AMPERAGE

gL-gG ORDERING NUMBERS

aM ORDERING NUMBERS

10 X 38

14 X 51

22 X 58

10 X 38

14 X 51

22 X 58

0.5

CY10X38G05

CY10X38M05

1

CY10X38G1

CY10X38M1

2

CY10X38G2

CY14X51G2

CY10X38M2

CY14X51M2

4

CY10X38G4

CY14X51G4

CY10X38M4

CY14X51M4

6

CY10X38G6

CY14X51G6

CY10X38M6

CY14X51M6

8

CY10X38G8

CY14X51G8

CY10X38M8

CY14X51M8

10

CY10X38G10

CY14X51G10

CY10X38M10

CY14X51M10

12

CY10X38G12

CY14X51G12

CY10X38M12

CY14X51M12

16

CY10X38G16

CY14X51G16

CY22X58G16

CY10X38M16

CY14X51M16

CY22X58M16

20

CY10X38G20

CY14X51G20

CY22X58G20

CY10X38M20

CY14X51M20

CY22X58M20

25

CY10X38G25

CY14X51G25

CY22X58G25

CY10X38M25

CY14X51M25

CY22X58M25

32

CY10X38G32

CY14X51G32

CY22X58G32

CY10X38M32

CY14X51M32

CY22X58M32

40

CY14X51G40

CY22X58G40

CY14X51M40

CY22X58M40

50

CY14X51G50

CY22X58G50

CY14X51M50

CY22X58M50

63

CY22X58G63

CY22X58M63

80

CY22X58G80

CY22X58M80

100

CY22X58G100

CY22X58M100

FUSE SIZE

DIMENSIONS mm

A

B

10 X 38

10

38

14 X 51

14

51

22 X 58

22

58

Fuse Holders

AMP 

RATING POLES

SIZE

CATALOG /

ORDERING #

TERMINAL  

TYPE

DIN RAIL 

MOUNT

32 A

1

10 X 38

LFPSM0001Z

Pressure Plate

32 A

2

10 X 38

LFPSM0002Z

Pressure Plate

32 A

3

10 X 38

LFPSM0003Z

Pressure Plate

32 A

4

10 X 38

LFPSM0004Z

Pressure Plate

32 A

1

10 X 38

LFPSM0001ZXID* Pressure Plate

32 A

2

10 X 38

LFPSM0002ZXID* Pressure Plate

32 A

3

10 X 38

LFPSM0003ZXID* Pressure Plate

32 A

4

10 X 38

LFPSM0004ZXID* Pressure Plate

50 A

1

14 X 51

CYH14511

Pressure Plate

50 A

2

14 X 51

CYH14512

Pressure Plate

50 A

3

14 X 51

CYH14513

Pressure Plate

100 A

1

22 X 58

CYH22581

Pressure Plate

100 A

2

22 X 58

CYH22582

Pressure Plate

100 A

3

22 X 58

CYH22583

Pressure Plate

*   Indicating

CYLINDRICAL FUSES

500 Volts • 0.5 -100  A

Description

Littelfuse fast acting (gL-gG) fuses are used for the 
protection of cables against short-circuits. Time-lag (aM) 
fuses are used for protection of motors.

Specifications

Standards 

 

10x38 mm: IEC 60269 

 

14x51 mm / 22x58mm: IEC 269-2-1

Ordering Information

BASE PART 

NUMBER

SIZE  

(mm)

CURRENT 

RANGE

VOLTAGE (AC)

INTERRUPTING 

RATING

CY10X38

10 x 38

0.5-16 A

500 V

120 kA

20-25 A (aM)

400 V

120 kA

20-25 A (gL-gG)

500 V

120 kA

32 A

400 V

120 kA

CY14X51

14 x 51

2-25 A

690 V

80 kA

32-40 A

500 V

120 kA

50 A

400 V

120 kA

CY22X58

22 x 58

16-63 A

690 V

80 kA

80-100 A

500 V

120 kA

POWRGARD-Electrical-Product-Catalog-html.html
background image

69

littelfuse.com 

© 2018 Littelfuse POWR-GARD

®

 Products Catalog

5

OEM Cust

om Pr

oducts

Fuses — Special Purpose

OEM CUSTOM PRODUCTS

Two-Pole Combination Block

Save space and money by combining multiple 
components in one unit. Littelfuse collaborated with the 
customer to develop a cost effective UL listed component 
that combined a 600 Volt 100A two-pole Class T fuse 
block with a two-openings-per-pole splicer block.

Examples

Custom-Leaded Fuse

Save space and reduce cost by eliminating the fuse 
block component. Littelfuse designed a series of custom 
through-hole PC-board mountable KLKD Midget fuses for 
a consumer application where reduced cost was more 
important than replaceability.

Description

We understand that existing solutions don’t always solve 
your current problems. Building on 90 years of circuit 
protection experience, the Littelfuse engineering team 
collaborates with customers to develop customized 
solutions for applications such as solar panels, HVAC 
systems, lift trucks, lighting fixtures, industrial restaurant 
equipment and power converters.

Process

The custom product design process begins with a situation 
analysis from our experienced engineers followed by our 
4-step collaborative product development process.
1.  Initial concept sketch created
2.  CAD drawings to formalize the product description
3.  3D solid prototype to verify design
4.  Final production parts that meet your design needs 

and specifications

Additional Customized Products

HAZGARD Fork Lift Fuse ..............................................64

Web Resources

To learn more and contact our OEM team, visit:  

littelfuse.com/industrialoem

To speak with a sales associate regarding your application needs, 
call 800-TEC-FUSE (800-382-3873) or email techline@littelfuse.com.

1

3

2

4

POWRGARD-Electrical-Product-Catalog-html.html
background image

70

© 2018 Littelfuse POWR-GARD

®

 Products Catalog

littelfuse.com

High-Speed Square Body Fuses .................................................. 71

High-Speed Round-Body Fuses .................................................. 76

Traditional High-Speed Fuses ...................................................... 86

HIGH-SPEED FUSES

Table of Contents

Section Overview

Littelfuse high-speed fuses protect critical power semiconductors 

against short circuits in applications including inverters, variable-

speed drives, UPS and DC drive systems. 
For the complete portfolio of high-speed products visit:  

littelfuse.com/High-Speed

POWR-GARD

® 

High-Speed  

Circuit Protection

Littelfuse engineering is constantly developing 
new products to meet the needs of the industry. 
For the latest information on the growing  
POWR-GARD Product portfolio, visit:

littelfuse.com/High-Speed

POWRGARD-Electrical-Product-Catalog-html.html
background image

71

littelfuse.com 

© 2018 Littelfuse POWR-GARD

®

 Products Catalog

Fuses - High-Speed

High-Speed F

uses

5

Specifications

Voltage Range

 

AC: 550 V - 1300 V 

 

DC: 500 V - 1000 V

Amperage Range

 

40 A - 2000 A

Interrupting Range

 

AC: 100 kA - 200 kA 

 

DC: 150 kA

Time Constant 

 

10ms 

Microswitch

 Yes

Mounting

 

Flush-End Style

Material

 

Body: Ceramic 

 

Contacts: Plated Brass

Approvals

 

UL 248-13 Recognized (File: E71611) 

 

cURus (File: E71611) 

 

IEC 60269-4 (Class aR)

 

CCC

Environmental

 

RoHS Compliant, REACH

Operating Temperature 

 

-55 C° to +125 C°

Storage Temperature

 

Up-to +35 C° with Relative  

 

Humidity <65%

Country of Origin

 Mexico

Description 

Littelfuse PSR Series High-Speed Square Body Fuses are 
specially designed for protection of power semiconductor 
devices such as diodes, triacs, IGBTs, SCRs, MOSFETs 
and other solid state devices that are typically designed 
into power conversion and power conditioning equipment. 
Variable frequency drives, inverters, UPS, rectifiers and 
soft-starters are examples of typical equipment designed 
with sensitive power semiconductor devices that cannot 
withstand any line surge or overcurrent conditions and 
require high-speed protection.

Littelfuse POWR-

SPEED

®

 PSR Series products offer 

optimized circuit protection at the extremely fast speed 
required to protect modern day power conversion devices. 
Such products are commonly found in numerous applications 
including pulp and paper industries, cranes and heavy-lifting 
equipment, processing industries, wastewater treatment 
plants and various large factories and MRO facilities.

Features/Benefits 

Best in Class DC performance 

Extremely current limiting

Superior cycling capability

Global certification cURus, CCC, IEC

Direct bus-bar mount design

Visual and optional microswitch fuse blown indication

Low watt-loss design

Compliance with US and Canadian requirements

Class aR performance according to IEC60269-4 

Applications 

Power Conversion Devices (UPS, Inverter,  
Rectifiers, Drives)

DC Systems (DC Common Bus, DC Injection Braking)

Battery Protection Application (Energy Storage Systems)

Electric Vehicle Charging Stations

Heaters and Power Supplies

Semiconductor Fuses • Flush End • 40 A - 2000 A

S

Ordering Part Number

Catalog Number

 PSR   030   FL   0550  Z

Termination

FL - Flush End Metric Thread 

FS - Flush End Inches Thread

Case Size

30, 31, 32, 33 71, 72

Amperage

Series

Packing Quantity

Z = (2-3 Pcs/Box)

Recommended Accessories

Microswitch:

  

MS3H1000C (Case Size 30 to 33) 
MS7H1500C (Case Size 70 to 73)

Web Resources

Download technical documents: 

littelfuse.com/psr

PSR SERIES HIGH-SPEED SQUARE BODY FUSES

SERIES CASE 

SIZE TERMINATION AMPERAGE

CATALOG 

NUMBER

ORDERING PART 

NUMBER

PSR

030

FL

0550

PSR030FL0550

PSR030FL0550Z

POWRGARD-Electrical-Product-Catalog-html.html
background image

72

© 2018 Littelfuse POWR-GARD

®

 Products Catalog

littelfuse.com

Fuses - High-Speed

High-Speed F

uses

5

PSR SERIES HIGH-SPEED SQUARE BODY FUSES

Electrical Characteristics

CASE 

SIZE*

CATALOG NUMBER

AMPERAGE

RATING (A)

VOLTAGE  

RATING (V)

INTERRUPTING  

RATING

MELTING 

(PRE-ARC) 

I

2

T (A

2

s)

TOTAL  

CLEARING

I

2

T (A

2

s) 

AT RATED  

VOLTAGE

WATT LOSS

AT 100% 

RATED 

CURRENT (W)

AGENCY 

CERTIFICATION

FLUSH END

METRIC THREAD

FLUSH END

INCHES THREAD

AC

DC

AC

DC

cURus

CCC

IEC

UL

AC

DC

30

PSR030FL0040

PSR030FS0040

40

690

700

600 200kA 150kA

76

280

260

12

PSR030FL0050

PSR030FS0050

50

690

700

600 200kA 150kA

110

598

384

15

PSR030FL0063

PSR030FS0063

63

690

700

600 200kA 150kA

176

1023

640

20

PSR030FL0080

PSR030FS0080

80

690

700

600 200kA 150kA

304

1728

1252

24

PSR030FL0100

PSR030FS0100

100

690

700

600 200kA 150kA

437

2835

1575

27

PSR030FL0125

PSR030FS0125

125

690

700

600 200kA 150kA

707

4684

2783

36

PSR030FL0160

PSR030FS0160

160

690

700

600 200kA 150kA

1359

9114

5507

39

PSR030FL0200

PSR030FS0200

200

690

700

600 200kA 150kA

3012

15169

14700

39

PSR030FL0250

PSR030FS0250

250

690

700

600 200kA 150kA

4668

29952 20833

50

PSR030FL0315

PSR030FS0315

315

690

700

600 200kA 150kA

7131

61830 31600

61

PSR030FL0350

PSR030FS0350

350

690

700

600 200kA 150kA

12007

85320 49273

62

PSR030FL0400

PSR030FS0400

400

690

700

600 200kA 150kA

16209

114750 63367

75

PSR030FL0450

PSR030FS0450

450

690

700

600 200kA 150kA

23133

160110 93533

75

PSR030FL0500

PSR030FS0500

500

690

700

600 200kA 150kA

31429

225180 137333

80

PSR030FL0550

PSR030FS0550

550

690

700

600 200kA 150kA

44323

268920 145400

78

31

PSR031FL0200

PSR031FS0200

200

690

700

600 200kA 150kA

1965

17334

16188

49

PSR031FL0250

PSR031FS0250

250

690

700

600 200kA 150kA

3789

35343 21080

52

PSR031FL0315

PSR031FS0315

315

690

700

600 200kA 150kA

6862

59130 30694

61

PSR031FL0350

PSR031FS0350

350

690

700

600 200kA 150kA

9523

76140 40996

63

PSR031FL0400

PSR031FS0400

400

690

700

600 200kA 150kA

14770

124335 64359

63

PSR031FL0450

PSR031FS0450

450

690

700

600 200kA 150kA

22457

178200 97444

68

PSR031FL0500

PSR031FS0500

500

690

700

600 200kA 150kA

29751

251505 125935

74

PSR031FL0550

PSR031FS0550

550

690

700

600 200kA 150kA

42056

289170 171845

79

PSR031FL0630

PSR031FS0630

630

690

700

600 200kA 150kA

73513

507465 276315

86

PSR031FL0700

PSR031FS0700

700

690

700

600 200kA 150kA

98187

601425 337260

89

PSR031FL0800

PSR031FS0800

800

690

700

600 200kA 150kA

137208

848880 502800

107

32

PSR032FL0400

PSR032FS0400

400

690

700

600 200kA 150kA

11104

79650 44533

82

PSR032FL0450

PSR032FS0450

450

690

700

600 200kA 150kA

15535

116100 65463

88

PSR032FL0500

PSR032FS0500

500

690

700

600 200kA 150kA

21573

161460 88277

94

PSR032FL0550

PSR032FS0550

550

690

700

600 200kA 150kA

26327

177660 107960

104

PSR032FL0630

PSR032FS0630

630

690

700

600 200kA 150kA

34790

234900 156963

110

PSR032FL0700

PSR032FS0700

700

690

700

600 200kA 150kA

51191

291870 209287

117

PSR032FL0800

PSR032FS0800

800

690

700

600 200kA 150kA

60125

472770 249000

145

PSR032FL0900

PSR032FS0900

900

690

700

600 200kA 150kA

107785

764100 404000

145

PSR032FL1000

PSR032FS1000

1000

690

700

600 200kA 150kA

190102

933120 672333

146

PSR032FL1100

PSR032FS1100

1100

690

700

600 200kA 150kA

225379

1247400 744000

149

POWRGARD-Electrical-Product-Catalog-html.html
background image

73

littelfuse.com 

© 2018 Littelfuse POWR-GARD

®

 Products Catalog

Fuses - High-Speed

High-Speed F

uses

5

CASE 

SIZE*

CATALOG NUMBER

AMPERAGE

RATING (A)

VOLTAGE  

RATING (V)

INTERRUPTING  

RATING

MELTING 

(PRE-ARC) 

I

2

T (A

2

s)

TOTAL  

CLEARING

I

2

T (A

2

s) 

AT RATED  

VOLTAGE

WATT LOSS

AT 100% 

RATED 

CURRENT (W)

AGENCY 

CERTIFICATION

FLUSH END

METRIC THREAD

FLUSH END

INCHES THREAD

AC

DC

AC

DC

cURus

CCC

IEC

UL

AC

DC

33

PSR033FL0450

PSR033FS0450

450

690

700

600 200kA 150kA

13600

106380 58947

99

PSR033FL0500

PSR033FS0500

500

690

700

600 200kA 150kA

16434

140400 77846

107

PSR033FL0550

PSR033FS0550

550

690

700

600 200kA 150kA

23314

187650 100461

108

PSR033FL0630

PSR033FS0630

630

690

700

600 200kA 150kA

38727

285930 142437

113

PSR033FL0700

PSR033FS0700

700

690

700

600 200kA 150kA

56763

392580 209863

113

PSR033FL0800

PSR033FS0800

800

690

700

600 200kA 150kA

84691

575505 348500

120

PSR033FL0900

PSR033FS0900

900

690

700

600 200kA 150kA

122619

740340 451177

122

PSR033FL1000

PSR033FS1000

1000

690

700

600 200kA 150kA

222350

1170450 787750

124

PSR033FL1100

PSR033FS1100

1100

690

700

600 200kA 150kA

310824

1568700 821400

127

PSR033FL1250

PSR033FS1250

1250

690

700

600 200kA 150kA

476902

2403000 1674333

131

PSR033FL1400

PSR033FS1400

1400

690

700

500 200kA 150kA

583552

2920050 1979750

144

PSR033FL1500

PSR033FS1500

1500

600

650

500 200kA 150kA

674538

2433200 1996733

163

PSR033FL1600

PSR033FS1600

1600

600

650

500 200kA 150kA

779948

2942800 2301633

182

PSR033FL1800

PSR033FS1800

1800

600

650

500 200kA 150kA

952196

3785040 2724180

224

PSR033FL2000

PSR033FS2000

2000

550

600

500 200kA 150kA

1234315

4131600 3755180

222

71

PSR071FL0160

PSR071FS0160

160

1250 1300 1000 100kA 150kA

2601

22550

9767

45

PSR071FL0200

PSR071FS0200

200

1250 1300 1000 100kA 150kA

5188

41738 20333

53

PSR071FL0250

PSR071FS0250

250

1250 1300 1000 100kA 150kA

10215

82000 41000

55

PSR071FL0280

PSR071FS0280

280

1250 1300 1000 100kA 150kA

10215

82000 41000

55

PSR071FL0315

PSR071FS0315

315

1250 1300 1000 100kA 150kA

21859

156347 75500

55

PSR071FL0350

PSR071FS0350

350

1250 1300 1000 100kA 150kA

25199

180400 89333

65

PSR071FL0400

PSR071FS0400

400

1250 1300 1000 100kA 150kA

40153

256933 143333

69

PSR071FL0450

PSR071FS0450

450

1250 1300 1000 100kA 150kA

55163

340822 191600

75

72

PSR072FL0500

PSR072FS0500

500

1250 1300 1000 100kA 150kA

55452

340300 196667

107

PSR072FL0550

PSR072FS0550

550

1250 1300 1000 100kA 150kA

65119

431867 246667

114

PSR072FL0630

PSR072FS0630

630

1250 1300 1000 100kA 150kA

114904

663790 404000

107

* Case Size 70 and 73 – Coming Soon

Electrical Characteristics (cont.)

PSR SERIES HIGH-SPEED SQUARE BODY FUSES

POWRGARD-Electrical-Product-Catalog-html.html
background image

74

© 2018 Littelfuse POWR-GARD

®

 Products Catalog

littelfuse.com

Fuses - High-Speed

High-Speed F

uses

5

PSR SERIES HIGH-SPEED SQUARE BODY FUSES

32 Case Size 

Document Number:  

OL-PSR032FL0000 Rev. B and 

  

OL-PSR032FS0000 Rev. B

FL Stud Size:  

M10x1.5 - 6H     11.5 [0.45]

FS Stud Size:  

3/8-16UNC -2B     11.5 [0.45]

Recommended Torque:  

26 Nm

Dimensions 

Millimeters [inches]

FUSE WITH MICROSWITCH

76.4

[3.01]

VISUAL INDICATOR

¼" Q.C.

TERMINAL

47.4 [1.86] REF

43.0

[1.69]

43.0

[1.69]

49.0 [1.93] REF

M8x1.25 - 6H   6.00

  8.50 X 82.0°

M8x1.25 - 6H   0.24

  0.33 X 82.0°

[

]

17

[0.7]

M4x0.7 THREAD

10.00[.394]

STUD LENGTH

49.0 - 51.0

1.93 - 2.01]

]

SEE STUD SIZE

CHICAGO, ILLINOIS  60631

3RD ANGLE 

PROJECTION

A

OL-PSR031FL0000

Littelfuse

®

REVISION

DRWG NO.

TITLE

C

DRW

DATE

GRAMS/PIECE

FINISH GOOD WT

TVESELSK

6/30/2017

MATL SPEC

FINISH

UNLESS OTHERWISE SPECIFIED, DIMENSIONS ARE IN MILLIMETERS, DIMENSIONS IN

BRACKETS [  ] ARE INCHES DIMENSIONING AND DO NOT INCLUDE PLATING. TOLERANCING

TO BE INTERPRETED IN ACCORDANCE WITH ANSI Y14.5M-1994

 

DENOTES CRITICAL CHARACTERISTICS.

DENOTES CPK DIMENSIONS, -MINIMUM CPK VALUE
DENOTES A CHARACTERISTIC THAT PROVIDES AN INDICATION

OF PROCESS PERFORMANCE. PROCEDURE FOR MEASUREMENT

AND TRACKING TO BE DEFINED IN

LITTELFUSE INSPECTION INSTRUCTIONS.
DENOTES CP DIMENSIONS, -MINIMUM CP VALUE

MUST BE WITHIN THE DIMENSIONAL LIMITATIONS

SHOWN ON DRAWING AND INITIALLY LOCATED TO

ALLOW FOR MAXIMUM TOOL LIFE.

CPK

CP

SHEET 1 OF 1 

SCALE

SQUARE BODY 31 CASE SIZE - METRIC THREAD OUTLINE

NTS

REVISION

REV

DATE

DESCRIPTION

A

08/11/2017

518016GCP - RELEASED  -TV

¼" Q.C.

TERMINAL

VISUAL INDICATOR

FUSE WITH MICROSWITCH

84.9

[3.34]

48.2 [1.90] REF

M4x0.7 THREAD

10.00 [0.394]

STUD LENGTH

MOUNTING SPECS:

STUD SIZE: M8

STUD TORQUE: 13.5Nm

49.0 - 51.0

[1.93 - 2.01]

51.5

[2.03]

51.5

[2.03]

57.5 [2.26] REF

20

[.8]

M8x1.25 - 6H 

 8.00

 

8.50 X 82°

M8x1.25 - 6H 

 .31

 

.33 X 82°

[

]

SEE STUD SIZE

30 Case Size 

Document Number:  

OL-PSR030FL0000 Rev. B and 

 

OL-PSR030FS0000 Rev. B

FL Stud Size:

  M8 x 1.25 - 6H 

   

 6.0 [0.24]

FS Stud Size:  

5/16-18UNC -2B     6.0 [0.24]

Recommended Torque:  

13.5 Nm

31 Case Size 

Document Number:  

OL-PSR030FL0000 Rev. B and    

 

 

OL-PSR031FL0000 Rev. B

FL Stud Size:  

M8x1.25 - 6H     8.0 [0.31]

FS Stud Size:  

5/16-18 UNC-2B     8.0 [0.31]

Recommended Torque:

  13.5 Nm

FUSE WITH MICROSWITCH

VISUAL INDICATOR

93.4

[3.68]

¼" Q.C.

TERMINAL

48.8 [1.92] REF

60.0

[2.36]

60.0

[2.36]

23

[0.9]

M10x1.5 - 6H   11.50

  11.25 X 82.0°

M10x1.5 - 6H   0.45

  0.44 X 82.0°

[

]

66.0 [2.60] REF

M4x0.7 THREAD

10.00[.394]

STUD LENGTH

50.0 - 52.0

[1.97 - 2.05]

SEE STUD SIZE

FUSE WITH MICROSWITCH

73.5

[2.89]

73.5

[2.89]

79.5 [3.13] REF

M12x1.75 - 6H   13.00

  13.25 X 82.0°

M12x1.75 - 6H   0.51

  0.52 X 82.0°

[

]

30

[1.2]

M4x0.7 THREAD

10.00[.394]

STUD LENGTH

50.0 - 52.0

[1.97 - 2.05]

106.9

[4.21]

49.2 [1.94] REF

1

4

" Q.C.

TERMINAL

VISUAL INDICATOR

SEE STUD SIZE

33 Case Size 

Document Number:  

OL-PSR033FL0000 Rev. B and  

 

OL-PSR033FS0000 Rev. B

FL Stud Size:

  M12x1.75 - 6H     13.0 [0.51]

FS Stud Size:

  1/2-13UNC -2B     13.0 [0.51]

Recommended Torque:  

45 Nm

POWRGARD-Electrical-Product-Catalog-html.html
background image

75

littelfuse.com 

© 2018 Littelfuse POWR-GARD

®

 Products Catalog

Fuses - High-Speed

High-Speed F

uses

5

Dimensions 

Millimeters [inches]

71 Case Size 

Document Number:  

OL-PSR071FL0000 Rev. B and  

 

OL-PSR071FS0000 Rev. B

FL Stud Size:

  M8x1.25 - 6H     8.0 [0.31]

FS Stud Size:

  5/16-18UNC -2B     8.0 [0.31]

Recommended Torque:  

13.5 Nm

CHICAGO, ILLINOIS  60631

3RD ANGLE 

PROJECTION

A

OL-PSR072FL0000

Littelfuse

®

REVISION

DRWG NO.

TITLE

C

DRW

DATE

GRAMS/PIECE

FINISH GOOD WT

tveselsk

2/15/2016

MATL SPEC

FINISH

UNLESS OTHERWISE SPECIFIED, DIMENSIONS ARE IN MILLIMETERS, DIMENSIONS IN

BRACKETS [  ] ARE INCHES DIMENSIONING AND DO NOT INCLUDE PLATING. TOLERANCING

TO BE INTERPRETED IN ACCORDANCE WITH ANSI Y14.5M-1994

 

DENOTES CRITICAL CHARACTERISTICS.

DENOTES CPK DIMENSIONS, -MINIMUM CPK VALUE
DENOTES A CHARACTERISTIC THAT PROVIDES AN INDICATION

OF PROCESS PERFORMANCE. PROCEDURE FOR MEASUREMENT

AND TRACKING TO BE DEFINED IN

LITTELFUSE INSPECTION INSTRUCTIONS.
DENOTES CP DIMENSIONS, -MINIMUM CP VALUE

MUST BE WITHIN THE DIMENSIONAL LIMITATIONS

SHOWN ON DRAWING AND INITIALLY LOCATED TO

ALLOW FOR MAXIMUM TOOL LIFE.

CPK

CP

SHEET 1 OF 1 

SCALE

SQUARE BODY 72 SIZE OUTLINE

NTS

REVISION

REV

DATE

DESCRIPTION

A

03/16/2016

5XXXXGCP - RELEASED  -TV

M4x0.7 THREAD

10.00 [.394]

STUD LENGTH

1

4

" Q.C.

TERMINAL

VISUAL INDICATOR

MOUNTING SPECS:

STUD SIZE: M10

STUD TORQUE: 26Nm

FUSE WITH MICROSWITCH

72.2 [2.84] REF

93.4 [3.678]

M10x1.5 - 6H  11.50

  11.25 X 82°

M10x1.5 - 6H  

.45

  .44 X 82°

[

]

23 [.9]

60.0 [2.36]

60.0 [2.36]

66.0 [2.60] REF

74.0 - 76.0

[2.91 - 2.99]

DATA SHEET REVISION: XXXXXX

M8x1.25 - 6H   8.00

  8.50 X 82.0°

M8x1.25 - 6H   0.31

  0.33 X 82.0°

[

]

20

[0.8]

SEE STUD SIZE

FUSE WITH MICROSWITCH

84.9

[3.34]

VISUAL INDICATOR

¼" Q.C.

TERMINAL

72.2 [2.84] REF

M8x1.25 - 6H   8.00

  8.50 X 82.0°

M8x1.25 - 6H   0.31

  0.33 X 82.0°

[

]

51.5

[2.03]

51.5

[2.03]

57.5 [2.26] REF

20

[0.8]

73.3 - 74.7

[2.89 - 2.94]

M4x0.7 THREAD

10.00[.394]

STUD LENGTH

SEE STUD SIZE

72 Case Size 

Document Number:  

OL-PSR072FL0000 Rev. B and  

 

OL-PSR072FS0000 Rev. B

FL Stud Size:

  M10x1.5 - 6H     11.5 [0.45]

FS Stud Size:  

3/8-16UNC -2B     11.5 [0.45]

Recommended Torque:

  26 Nm

PSR SERIES HIGH-SPEED SQUARE BODY FUSES

POWRGARD-Electrical-Product-Catalog-html.html
background image

REVIEW HEADERS AND SECTION NUMBERS 

76

© 2018 Littelfuse POWR-GARD

®

 Products Catalog

littelfuse.com

Fuses - High-Speed

High-Speed F

uses

5

L50QS SERIES HIGH-SPEED ROUND-BODY FUSES

Specifications

Voltage Rating

 

AC: 500V 

 

DC: 500V

Amperage Rating

 

35 - 800

Interrupting Rating

 

AC: 200 kA 

 

DC: 50 kA

Material

 

Body: Melamine 

 

Caps: Copper Alloy (Silver Plated)

Approvals

 

UL Recognized (E71611)

 

c-UR-us (E71611)

Environmental

 

RoHS Compliant, REACH

Country of Origin

 Mexico

Operating Temperature 

-55C to +125C

Storage Temperature 

Up to 35C with Relative Humidity <65%

Description

The L50QS Series is a next generation High-Speed Fuse for the  
protection of power semiconductor devices and is designed in 
the Traditional North American Bolted Style package.
L50QS Series High-Speed Fuses are extremely current 
limiting and are used to protect power converters, drives 
and control circuit applications. Designed with lower I

2

performance characteristics, these fuses provide balanced 
performance to extend longevity while lowering potentially 
damaging heat energy to the devices being protected.
In addition L50QS Series fuses have been designed with a 
universal mounting option to meet customer requirements  
for installation into a variety of application configurations
Littelfuse POWR-

SPEED

™ products offer optimized 

circuit protection at the extremely fast speed required to 
protect modern day, sensitive, high-power semiconductor 
devices. Such products are commonly found in various 
industries including pulp and paper industries, cranes and 
heavy-lifting equipment, processing industries, wastewater 
treatment plants and large factories and MRO facilities. 

Features/Benefits

Compliance with US and Canadian Requirements

Traditional North American Bolted Style dimensions

Class aR performance

Direct bus-bar mount or stud mount design

RoHS and REACH Compliant

Applications

Power Converters (Inverters, Rectifiers)

Power Supplies

UPS

Variable Speed Drives 

Control Circuits

Soft Starters

Recommended Fuse Blocks

LSCR001 (35-200 A) .................................................. 127 
LSCR002 (225-800 A) ................................................ 127

Web Resources

Download technical documents: 

littelfuse.com/L50QS

500 Vac/dc • 35-800 A • Traditional Round-Body Bolted Style

Part Numbering System

L50     QS      500   X

Body Type

Ampere Code

Series

Package Quantity

X = 1 (450 - 800A)

V = 5 (125 - 400A)

T = 10 (35 - 100A)

SERIES BODY 

TYPE

AMPERE 

CODE

PACKAGE  

QUANTITY

CATALOG 

NUMBER

ORDERING 

NUMBER

L50

QS

500

1

L50QS500

L50QS500.X

POWRGARD-Electrical-Product-Catalog-html.html
background image

77

littelfuse.com 

© 2018 Littelfuse POWR-GARD

®

 Products Catalog

Fuses - High-Speed

High-Speed F

uses

5

L50QS SERIES HIGH-SPEED ROUND-BODY FUSES

Electrical Specifications

CATALOG 

NUMBER

AMPERAGE

RA

TING

VOLTAGE  

RATING

INTERRUPT 

RATING

MELTING

(PRE-ARC)

I

2

T (A

2

s)

TOTAL  

CLEARING  

I

2

T (A

2

s) 

TOTAL  

CLEARING  

I

2

T (A

2

s) 

WATTS LOSS 

AT 80% RATED 

CURRENT

WATTS LOSS 

AT 100% RATED 

CURRENT

AC

DC

AC

DC

200 kA @ 500 Vac 50 kA @ 500 Vdc

(W)

(W)

L50QS035

35

500

500

200kA

50kA

 111 

 430 

 290 

3

5

L50QS040

40

500

500

200kA

50kA

 137 

 530 

 363 

3

9

L50QS050

50

500

500

200kA

50kA

 211 

 770 

 516 

5

8

L50QS060

60

500

500

200kA

50kA

 269 

 1,500 

 881 

5

9

L50QS070

70

500

500

200kA

50kA

 393 

 1,775 

 1,185 

6

11

L50QS080

80

500

500

200kA

50kA

 616 

 3,550 

 1,720 

6

11

L50QS090

90

500

500

200kA

50kA

 720 

 4,075 

 1,990 

8

14

L50QS100

100

500

500

200kA

50kA

 905 

 4,577 

 2,313 

9

17

L50QS125

125

500

500

200kA

50kA

 1,503 

 7,655 

 4,815 

10

17

L50QS150

150

500

500

200kA

50kA

 2,382 

 11,100 

 7,190 

12

21

L50QS175

175

500

500

200kA

50kA

 3,148 

 16,500 

 9,900 

14

25

L50QS200

200

500

500

200kA

50kA

 4,102 

 18,233 

 11,567 

17

32

L50QS225

225

500

500

200kA

50kA

 5,379 

 25,300 

 16,700 

19

35

L50QS250

250

500

500

200kA

50kA

 7,094 

 31,350 

 22,500 

20

37

L50QS300

300

500

500

200kA

50kA

 11,240 

 53,800 

 36,150 

25

46

L50QS350

350

500

500

200kA

50kA

 14,246 

 68,850 

 44,800 

30

61

L50QS400

400

500

500

200kA

50kA

 21,155 

 100,300 

 67,300 

33

65

L50QS450

450

500

500

200kA

50kA

 26,425 

 121,000 

 84,650 

35

63

L50QS500

500

500

500

200kA

50kA

 31,747 

 141,000 

 103,500 

39

72

L50QS600

600

500

500

200kA

50kA

 43,922 

 193,500 

 128,000 

49

92

L50QS700

700

500

500

200kA

50kA

 75,597 

 314,000 

 230,000 

51

92

L50QS800

800

500

500

200kA

50kA

 92,717 

 393,500 

 280,000 

63

117

POWRGARD-Electrical-Product-Catalog-html.html
background image

78

© 2018 Littelfuse POWR-GARD

®

 Products Catalog

littelfuse.com

Fuses - High-Speed

High-Speed F

uses

5

L50QS SERIES HIGH-SPEED ROUND-BODY FUSES

Dimensions 

Millimeters [inches]

Document Number:

  OL-L50QS000

3.18

[0.125]

25.40

[1.000]

17.02

[0.670]

92.08

[3.625]

53.98

[2.125]

76.19

[2.999]

65.07

[2.562]

8.73

[0.344]

35-100A

4.75

[0.187]

30.94

[1.218]

22.73

[0.895]

92.08

[3.625]

73.86

[2.908]

70.32

[2.768]

53.98

[2.125]

8.74

[0.344]

125-200A

6.35

[0.250]

38.10

[1.500]

25.27

[0.995]

110.31

[4.343]

87.37

[3.440]

69.83

[2.749]

53.16

[2.093]

10.41

[0.410]

225-400A

6.35

[0.250]

50.80

[2.000]

113.49

[4.468]

92.82

[3.654]

70.86

[2.790]

56.34

[2.218]

10.41

[0.410]

38.10

[1.500]

450-600A

9.53

[0.375]

63.50

[2.500]

50.80

[2.000]

157.15

[6.187]

126.93

[4.997]

87.30

[3.437]

56.34

[2.218]

13.46

[0.530]

700-800A

Stud Size:

  M8 (

5

/

16

”)

Recommended Torque:

  15 Nm (132.76 in-lb)

Stud Size:

  M8 (

5

/

16

”)

Recommended Torque:

  15 Nm (132.76 in-lb)

Stud Size:

  M8 (

5

/

16

”)

Recommended Torque:

  15 Nm (132.76 in-lb)

Stud Size:

  M8 (

5

/

16

”)

Recommended Torque: 

 15 Nm (132.76 in-lb)

Stud Size:

  M12 (1/2”)

Recommended Torque:

  54 Nm (477.94 in-lb)

3.18

[0.125]

25.40

[1.000]

17.02

[0.670]

92.08

[3.625]

53.98

[2.125]

76.19

[2.999]

65.07

[2.562]

8.73

[0.344]

35-100A

4.75

[0.187]

30.94

[1.218]

22.73

[0.895]

92.08

[3.625]

73.86

[2.908]

70.32

[2.768]

53.98

[2.125]

8.74

[0.344]

125-200A

6.35

[0.250]

38.10

[1.500]

25.27

[0.995]

110.31

[4.343]

87.37

[3.440]

69.83

[2.749]

53.16

[2.093]

10.41

[0.410]

225-400A

6.35

[0.250]

50.80

[2.000]

113.49

[4.468]

92.82

[3.654]

70.86

[2.790]

56.34

[2.218]

10.41

[0.410]

38.10

[1.500]

450-600A

9.53

[0.375]

63.50

[2.500]

50.80

[2.000]

157.15

[6.187]

126.93

[4.997]

87.30

[3.437]

56.34

[2.218]

13.46

[0.530]

700-800A

POWRGARD-Electrical-Product-Catalog-html.html
background image

79

littelfuse.com 

© 2018 Littelfuse POWR-GARD

®

 Products Catalog

Fuses - High-Speed

High-Speed F

uses

5

L70QS SERIES HIGH-SPEED ROUND-BODY FUSES

Specifications

Voltage Rating

 

AC: 700V 

 

DC: 700V

Amperage Rating

 

35 - 800

Interrupting Rating

 

AC: 200 kA 

 

DC: 50 kA

Material

 

Body: Melamine 

 

Caps: Copper Alloy (Silver Plated)

Approvals

 

UL Recognized (E71611)

 

c-UR-us (E71611)

Environmental

 

RoHS Compliant, REACH

Country of Origin

 Mexico

Operating Temperature 

-55C to +125C

Storage Temperature 

Up to 35C with Relative Humidity <65%

Description

The L70QS Series is a next generation High-Speed Fuse for  
the protection of power semiconductor devices and is 
designed in the Traditional North American Bolted Style 
package.
L70QS Series High-Speed Fuses are extremely current 
limiting and are used to protect power converters, drives 
and control circuit applications. Designed with lower I

2

performance characteristics, these fuses provide balanced 
performance to extend longevity while lowering potentially 
damaging heat energy to the devices being protected.
In addition L70QS Series fuses have been designed with a 
universal mounting option to meet customer requirements 
for installation into a variety of application configurations
Littelfuse POWR-

SPEED

 products offer optimized 

circuit protection at the extremely fast speed required to 
protect modern day, sensitive, high-power semiconductor 
devices. Such products are commonly found in various 
industries including pulp and paper industries, cranes and 
heavy-lifting equipment, processing industries, wastewater 
treatment plants and large factories and MRO facilities.

Features/Benefits

Compliance with US and Canadian Requirements

Traditional North American Bolted Style dimensions 

Class aR performance

Direct bus-bar mount or stud mount design

RoHS and REACH Compliant

Applications

Power Converters (Inverters, Rectifiers)

Power Supplies

UPS

Variable Speed Drives 

Control Circuits

Soft Starters

Recommended Fuse Blocks

LSCR001 (35-200 A) .................................................. 127 
LSCR002 (225-800 A) ................................................ 127

Web Resources

Download technical documents:

 littelfuse.com/L70QS

700 Vac/dc • 35-800 A • Traditional Round-Body Bolted Style

Part Numbering System

L70     QS      700   X

Body Type

Ampere Code

Series

Package Quantity

X = 1 (225 - 800A)

V = 5 (35 - 200A)

SERIES BODY 

TYPE

AMPERE 

CODE

PACKAGE  

QUANTITY

CATALOG 

NUMBER

ORDERING 

NUMBER

L70

QS

700

1

L70QS700

L70QS700.X

POWRGARD-Electrical-Product-Catalog-html.html
background image

80

© 2018 Littelfuse POWR-GARD

®

 Products Catalog

littelfuse.com

Fuses - High-Speed

High-Speed F

uses

5

L70QS SERIES HIGH-SPEED ROUND-BODY FUSES

Electrical Specifications

CATALOG 

NUMBER

AMPERAGE

RA

TING

VOLTAGE  

RATING

INTERRUPT 

RATING

MELTING

(PRE-ARC)

I

2

T (A

2

s)

TOTAL  

CLEARING  

I

2

T (A

2

s) 

TOTAL  

CLEARING  

I

2

T (A

2

s) 

WATTS LOSS 

AT 80% RATED 

CURRENT

WATTS LOSS 

AT 100% RATED 

CURRENT

AC

DC

AC

DC

200 kA @ 700 Vac

50 kA @ 700 Vdc

(W)

(W)

L70QS035

35

700

700

200kA

50kA

 129 

 332 

 308 

5

8

L70QS040

40

700

700

200kA

50kA

 153 

 599 

 416 

6

9

L70QS050

50

700

700

200kA

50kA

 196 

 711 

 588 

6

12

L70QS060

60

700

700

200kA

50kA

 269 

 1,233 

 678 

9

15

L70QS070

70

700

700

200kA

50kA

 359 

 1,575 

 1,075 

10

20

L70QS080

80

700

700

200kA

50kA

 452 

 2,755 

 1,415 

12

22

L70QS090

90

700

700

200kA

50kA

 625 

 3,365 

 1,920 

13

25

L70QS100

100

700

700

200kA

50kA

 966 

 3,747 

 2,347 

15

30

L70QS125

125

700

700

200kA

50kA

 2,208 

 8,795 

 5,570 

13

24

L70QS150

150

700

700

200kA

50kA

 3,026 

 13,650 

 8,195 

17

32

L70QS175

175

700

700

200kA

50kA

 4,219 

 19,550 

 11,650 

20

38

L70QS200

200

700

700

200kA

50kA

 5,529 

 22,067 

 16,100 

22

42

L70QS225

225

700

700

200kA

50kA

 9,226 

 34,900 

 25,400 

22

40

L70QS250

250

700

700

200kA

50kA

 10,999 

 43,750 

 31,650 

27

46

L70QS300

300

700

700

200kA

50kA

 16,296 

 64,400 

 45,500 

31

57

L70QS350

350

700

700

200kA

50kA

 24,778 

 91,500 

 65,250 

35

67

L70QS400

400

700

700

200kA

50kA

 34,225 

 110,667 

 94,666 

41

79

L70QS450

450

700

700

200kA

50kA

 38,946 

 145,500 

 113,500 

45

81

L70QS500

500

700

700

200kA

50kA

 42,747 

 173,000 

 125,500 

56

112

L70QS600

600

700

700

200kA

50kA

 67,363 

 220,333 

 179,667 

67

138

L70QS700

700

700

700

200kA

50kA

 99,387 

 368,000 

 298,000 

72

138

L70QS800

800

700

700

200kA

50kA

 156,137 

 466,333 

 415,333 

76

142

POWRGARD-Electrical-Product-Catalog-html.html
background image

81

littelfuse.com 

© 2018 Littelfuse POWR-GARD

®

 Products Catalog

Fuses - High-Speed

High-Speed F

uses

5

L70QS SERIES HIGH-SPEED ROUND-BODY FUSES

30.94

[1.218]

4.75

[0.187]

A

0

129.16

[5.085]

106.30

[4.185]

88.77

[3.495]

73.03

[2.875]

10.41

[0.410]

22.73

[0.895]

0

2

-

5

2

1

25.40

[1.000]

3.18

[0.125]

111.13

[4.375]

95.24

[3.749]

84.12

[3.312]

73.03

[2.875]

17.02

[0.670]

8.73

[0.344]

A

0

0

1

-

5

3

6.35

[0.250]

50.80

[2.000]

72.24

[2.844]

38.10

[1.500]

10.41

[0.410]

129.39

[5.094]

108.72

[4.280]

86.76

[3.416]

225-400A

50.80

[2.000]

6.35

[0.250]

38.10

[1.500]

13.46

[0.530]

180.08

[7.090]

156.47

[6.160]

89.67

[3.530]

72.24

[2.844]

450-600A

63.50

[2.500]

9.53

[0.375]

50.80

[2.000]

13.46

[0.530]

173.05

[6.813]

142.83

[5.623]

103.20

[4.063]

72.24

[2.844]

700-800A

Stud Size:

  M8 (

5

/

16

”)

Recommended Torque:

  15 Nm (132.76 in-lb)

Stud Size:

  M8 (

5

/

16

”)

Recommended Torque:

  15 Nm (132.76 in-lb)

Stud Size:

  M8 (

5

/

16

”)

Recommended Torque:

  15 Nm (132.76 in-lb)

Stud Size:

  M12 (1/2”)

Recommended Torque:

  54 Nm (477.94 in-lb)

Stud Size:

  M12 (1/2”)

Recommended Torque:

  54 Nm (477.94 in-lb)

Dimensions 

Millimeters [inches]

Document Number:  

OL-L70QS000

POWRGARD-Electrical-Product-Catalog-html.html
background image

82

© 2018 Littelfuse POWR-GARD

®

 Products Catalog

littelfuse.com

Fuses - High-Speed

High-Speed F

uses

5

Specifications

Voltage Rating

 

500 Vac 

 

450 Vdc

Amperage Rating

 

10, 12, 15, 20, 25, 30, 35, 40, 50, 60,  

 

70, 80, 90, 100, 125, 150, 175, 200, 225,  

 

250, 275, 300, 350, 400, 450, 500, 550,  

 

600, 700, 800

Interrupting Rating

 

AC: 200 kAIC 

 

DC: 20 kAIC

Material

 

Body: Melamine 

 

Terminals: Copper (silver plated)

Mounting Type

 

Cylindrical (10 - 30 A) 

 

Bolted Tags (35 - 800 A)

Operating Temperature

 

-55˚ C to +125˚ C

Storage Temperature

 

Up to 35˚ C with relative humidity less  

 

than 65%

Approvals

 

UL Recognized (File: E71611) 

 

CSA Recognized (File: LR29862)

Environmental

 

RoHS Compliant

Country of Origin

 Mexico

Description

Littelfuse L50S Series High-Speed Fuses are designed 
to protect today’s equipment and systems, and are 
manufactured with Littelfuse-developed technology that 
sets standards for accuracy, consistent quality, reliability, 
and predictable performance. 
Littelfuse engineers have redefined High-Speed Fuse 
Technology by using advanced metallurgical, polymer, 
and materials research, mathematical modeling, and 
computerized statistical analysis.

Features/Benefits

Extremely Current Limiting

Low Watt Losses

Controlled Transient Over-voltages

UL Recognized

Applications

AC & DC Drives

DC Common Bus Protection

Power Converters

UPS

Soft-Starters

Recommended Fuse Holder

LSCR001 (35-200 A) .................................................. 127 
LSCR002 (225-800 A) ................................................ 127

Web Resources

Download technical documents: 

littelfuse.com/L50S

L50S SERIES HIGH-SPEED FUSE

500 Vac • 450 Vdc • 10-800 A • Traditional Round-Body Style

SERIES

AMP

CATALOG

 

NUMBER

ORDERING

 

NUMBER

L50S

10

L50S010

L50S010.T

L50S

500

L50S500

L50S500.X

Part Numbering System

L50S   xxx   .T

Package Quantity

Series

Amp Code

Refer to Amp Code 

Column in Ordering 

Information Table

X = 1

T = 10

POWRGARD-Electrical-Product-Catalog-html.html
background image

83

littelfuse.com 

© 2018 Littelfuse POWR-GARD

®

 Products Catalog

Fuses - High-Speed

High-Speed F

uses

5

L50S SERIES HIGH-SPEED FUSE

Electrical Specifications

CATALOG 

NUMBER

AMPERAGE

RA

TING

VOLTAGE  

RATING

INTERRUPT 

RATING

MELTING

(PRE-ARC)

I

2

T (A

2

s)

TOTAL  

CLEARING  

I

2

T (A

2

s) 

TOTAL  

CLEARING  

I

2

T (A

2

s) 

TOTAL  

CLEARING  

I

2

T (A

2

s) 

WATTS LOSS 

AT 100% RATED 

CURRENT

WATTS LOSS 

AT 80% RATED 

CURRENT

AC DC

AC

DC

100 kA @ 500 Vac 200 kA @ 500 Vac 20 kA @ 450 Vdc

(W)

(W)

L50S010

10

500 450 200kA

20kA

21

112

128

85

2

1

L50S012

12

500 450 200kA

20kA

26

149

170

97

2

1

L50S015

15

500 450 200kA

20kA

34

222

250

116

2

2

L50S020

20

500 450 200kA

20kA

48

363

400

143

5

3

L50S025

25

500 450 200kA

20kA

62

528

600

170

7

4

L50S030

30

500 450 200kA

20kA

77

707

820

193

10

5

L50S035

35

500 450 200kA

20kA

130

1,120

1,210

400

 6 

 3 

L50S040

40

500 450 200kA

20kA

161

1,420

1,550

525

 7 

 4 

L50S050

50

500 450 200kA

20kA

222

2,150

2,360

867

 11 

 6 

L50S060

60

500 450 200kA

20kA

259

3,016

3,300

1,287

 13 

 7 

L50S070

70

500 450 200kA

20kA

420

4,100

4,930

1,670

 17 

 10 

L50S080

80

500 450 200kA

20kA

554

5,300

6,950

2,240

 19 

 10 

L50S090

90

500 450 200kA

20kA

677

6,750

9,500

2,900

 24 

 13 

L50S100

100

500 450 200kA

20kA

807

8,273

12,600

3,626

 30 

 16 

L50S125

125

500 450 200kA

20kA

1,290

13,100

19,000

5,150

 22 

 12 

L50S150

150

500 450 200kA

20kA

2,504

19,100

26,500

6,700

 27 

 15 

L50S175

175

500 450 200kA

20kA

3,224

26,300

35,000

8,700

 33 

 17 

L50S200

200

500 450 200kA

20kA

3,938

34,233

44,583

11,297

 35 

 19 

L50S225

225

500 450 200kA

20kA

6,034

43,500

56,000

14,750

 31 

 17 

L50S250

250

500 450 200kA

20kA

7,510

54,000

69,000

19,600

 36 

 19 

L50S275

275

500 450 200kA

20kA

9,000

65,500

82,000

25,500

 41 

 22 

L50S300

300

500 450 200kA

20kA

10,808

78,500

97,500

32,200

 42 

 23 

L50S350

350

500 450 200kA

20kA

16,500

107,000

132,000

50,100

 50 

 28 

L50S400

400

500 450 200kA

20kA

22,941

142,333

169,667

72,270

 58 

 30 

L50S450

450

500 450 200kA

20kA

29,300

178,500

208,000

95,000

 58 

 32 

L50S500

500

500 450 200kA

20kA

37,000

220,000

250,000

118,000

 64 

 35 

L50S550

550

500 450 200kA

20kA

45,851

311,667

347,333

176,766

 75 

 41 

L50S600

600

500 450 200kA

20kA

45,851

311,667

347,333

176,766

 98 

 50 

L50S700

700

500 450 200kA

20kA

82,396

460,000

622,333

289,000

 96 

 51 

L50S800

800

500 450 200kA

20kA

115,656

647,667

687,500

465,590

 118 

 60 

Dimensions

AMPERE

RATING

FIGURE NO.

DIMENSIONS INCHES (MM)

A

B

C

D

E

F

G

H

10 – 30

1

2 (50.8)

1/2

 (12.7)

9

16

 (14.3)

31 – 60

2

1

5

8

 (41.3)

2

1⁄4

 (57.2)

2

1/2

 (63.5)

3

3

16

 (81.0)

13

16

 (20.6)

23

32

 (18.3)

11

32

 (8.7)

1

(3.2)

61 – 100

3

2

1

8

 (54.0)

2

11

16

 (68.3)

3 (76.2)

3

5

8

 (92.1)

1 (25.4)

.670 (17.0)

11

32

 (8.7)

1

8

 (3.2)

101 – 200

3

2

1

8

 (54.0)

2

13

16

 (71.4)

2

15

16

 (74.6)

3

5

8

 (92.1)

17

32

 (31.0)

.895 (22.7)

5

16

 (7.9)

3

16

 (4.75)

201 – 400

3

2

3

32

 (53.2)

2

25

32

 (70.6)

3

13

32

 (86.5)

4

11

32

 (110.3)

1

1/2

 (38.1)

1 (25.4)

1

3

32

 (10.3)

1⁄4

 (6.4)

401 – 600

3

2

7

32

 (56.4)

2

29

32

 (73.8)

3

17

32

 (89.7)

4

15

32

 (113.5)

2 (50.8)

1

1/2

 (38.1)

1

3

32

 (10.3)

1⁄4

 (6.4)

601 – 800

3

2

7

32

 (56.4)

4

9

32

 (108.7)

4

5

8

 (117.5)

6

15

32

 (164.3)

2

1/2

 (63.5)

2 (50.8)

1

7

32

 (13.5)

3

8

 (9.5)

A

B

C

D

F

G

E

 H

Fig. 3

A

C

D

Fig. 1

Figure 1

Figure 2

Figure 3

E

 H

F

G

A

B

C

D

Fig, 2

POWRGARD-Electrical-Product-Catalog-html.html
background image

84

© 2018 Littelfuse POWR-GARD

®

 Products Catalog

littelfuse.com

Fuses - High-Speed

High-Speed F

uses

5

Specifications

Voltage Rating

 

700 Vac 

 

650 Vdc

Amperage Rating

 

10, 15, 20, 25, 30, 35, 40, 50, 60, 70, 80, 90,  

 

100, 125, 150, 175, 200, 225, 250,  300, 350,  

 

400, 450, 500, 600, 700, 800

Interrupting Rating

 

AC: 200 kAIC 

 

DC: 20 kAIC

Material

 

Body: Melamine 

 

Terminals: Copper (silver plated)

Mounting Type

 

Cylindrical (10 - 30 A) 

 

Bolted Tags (35 - 800 A)

Operating Temperature

 

-55˚ C to +125˚ C

Storage Temperature

 

Up to 35˚ C with relative humidity less than 65%

Approvals

 

UL Recognized (File: E71611) 

 

CSA Recognized (File: LR29862)

Environmental

 

RoHS Compliant

Country of Origin

 Mexico

Description

Littelfuse L70S Series High-Speed Fuses are designed 
to protect today’s equipment and systems, and are 
manufactured with Littelfuse-developed technology that 
sets standards for accuracy, consistent quality, reliability, 
and predictable performance. 
Littelfuse engineers have redefined High-Speed Fuse 
technology by using advanced metallurgical, polymer, 
and materials research, mathematical modeling, and 
computerized statistical analysis.

Features/Benefits

Extremely Current Limiting

Low Watt Losses

Controlled Transient Over-voltages

UL Recognized

Applications

AC & DC Drives

DC Common Bus Protection

Power Converters

UPS

Soft-Starters

Recommended Fuse Block

LSCR001 (35-200 A) .................................................. 127 
LSCR002 (225-800 A) ................................................ 127

Web Resources

Download technical documents: 

littelfuse.com/L70S

L70S SERIES HIGH-SPEED FUSE

700 Vac • 650 Vdc • 10-800 A • Traditional Round-Body Style

SERIES

AMP

CATALOG NUMBER ORDERING NUMBER

L70S

10

L70S010

L70S010.T

L70S

500

L70S500

L70S500.X

Part Numbering System

L70S   xxx   .T

Package Quantity

Series

Amp Code

Refer to Amp Code 

Column in Ordering 

Information Table

X = 1

T = 10

POWRGARD-Electrical-Product-Catalog-html.html
background image

85

littelfuse.com 

© 2018 Littelfuse POWR-GARD

®

 Products Catalog

Fuses - High-Speed

High-Speed F

uses

5

Electrical Specifications

CATALOG 

NUMBER

AMPERAGE

RA

TING

VOLTAGE  

RATING

INTERRUPT 

RATING

MELTING

(PRE-ARC)

I

2

T (A

2

s)

TOTAL  

CLEARING  

I

2

T (A

2

s) 

TOTAL  

CLEARING  

I

2

T (A

2

s) 

TOTAL  

CLEARING  

I

2

T (A

2

s) 

WATTS LOSS 

AT 100% RATED 

CURRENT

WATTS LOSS 

AT 80% RATED 

CURRENT

AC DC

AC

DC

100 kA @ 700 Vac 200 kA @ 700 Vac 20 kA @ 650 Vdc

(W)

(W)

L70S010

10

700 650 200kA

20kA

21

160

173

346

2

1

L70S015

15

700 650 200kA

20kA

34

330

355

270

2

2

L70S020

20

700 650 200kA

20kA

48

550

599

300

5

2

L70S025

25

700 650 200kA

20kA

62

810

900

340

7

4

L70S030

30

700 650 200kA

20kA

77

1,130

1,220

417

10

5

L70S035

35

700 650 200kA

20kA

110

1,470

1,500

500

 12 

 6 

L70S040

40

700 650 200kA

20kA

150

1,830

2,000

660

 13 

 7 

L70S050

50

700 650 200kA

20kA

250

2,670

3,200

1,070

 16 

 9 

L70S060

60

700 650 200kA

20kA

380

3,646

4,674

1,572

 18 

 9 

L70S070

70

700 650 200kA

20kA

545

4,800

6,000

1,970

 16 

 9 

L70S080

80

700 650 200kA

20kA

745

6,180

7,550

2,380

 21 

 11 

L70S090

90

700 650 200kA

20kA

990

7,650

9,250

2,830

 25 

 13 

L70S100

100

700 650 200kA

20kA

1,266

9,407

11,117

3,266

 29 

 14 

L70S125

125

700 650 200kA

20kA

2,150

14,700

17,550

4,900

 33 

 17 

L70S150

150

700 650 200kA

20kA

3,280

21,250

25,700

6,800

 51 

 24 

L70S175

175

700 650 200kA

20kA

4,700

28,750

34,800

9,000

 63 

 28 

L70S200

200

700 650 200kA

20kA

6,411

37,300

45,583

11,447

 75 

 33 

L70S225

225

700 650 200kA

20kA

8,000

46,500

57,000

16,000

 43 

 24 

L70S250

250

700 650 200kA

20kA

9,900

58,000

69,500

22,000

 49 

 27 

L70S300

300

700 650 200kA

20kA

14,000

83,000

97,700

37,500

 60 

 33 

L70S350

350

700 650 200kA

20kA

19,000

113,000

131,000

59,000

 71 

 36 

L70S400

400

700 650 200kA

20kA

24,373

147,290

169,000

87,875

 107 

 49 

L70S450

450

700 650 200kA

20kA

33,000

191,000

219,000

119,000

 85 

 47 

L70S500

500

700 650 200kA

20kA

44,200

240,000

275,000

155,000

 92 

 49 

L70S600

600

700 650 200kA

20kA

72,000

370,250

405,000

246,182

 106 

 56 

L70S700

700

700 650 200kA

20kA

110,000

526,000

573,000

255,000

 128 

 67 

L70S800

800

700 650 200kA

20kA

157,082

735,330

762,333

262,949

 156 

 78 

L70S SERIES HIGH-SPEED FUSE

Dimensions

AMPERE

RATING

FIGURE

NO.

DIMENSIONS INCHES (MM)

A

B

C

D

E

F

G

H

J

10 – 30

1

2 (50.8)

1/2

 (12.7)

9

16

 (14.3)

31 – 60

2

2

7

8

 (73.0)

3

7

16

 (87.3)

3

3⁄4

 (95.2)

4

3

8

 (111.1)

1 (25.4)

43

64

 (17.1)

11

32

 (8.7)

1

8

 (3.2)

61 – 100

2

2

7

8

 (73.0)

3

9

16

 (90.5)

3

11

16

 (93.7)

4

3

8

 (111.1)

1

7

32

 (31.0)

29

32

 (22.9)

5

16

 (7.9)

3

16

 (4.8)

101 – 200

2

2

27

32

 (72.2)

3

17

32

 (89.7)

4

5

32

 (105.6)

5

3

32

 (129.4)

1

1/2

 (38.1)

1 (25.4)

13

32

 (10.3)

1⁄4

 (6.4)

201 – 400

2

2

27

32

 (72.2)

3

17

32

 (89.7)

4

5

32

 (105.6)

5

3

32

 (129.4)

2 (50.8)

1

1/2

 (38.1)

13

32

 (10.3)

1⁄4

 (6.4)

401 – 600

2

2

27

32

 (72.2)

4

29

32

 (124.6)

5

1⁄4

 (133.4)

7

3

32

 (180.2)

2

1/2

 (63.5)

2 (50.8)

17

32

 (13.5)

3

8

 (9.5)

601 – 800

3

3

5

16

 (84.1)

5

5

16

 (134.9)

6

13

16

(173.0)

2

7

8

 (73.0)

2 (50.8)

5

8

 (15.9)

3

8

 (9.5)

5

16

 (7.9)

F

G

A

B

C

E

J

H

Fig. 4

A

B

C

D

F

G

E

 H

Fig. 3

A

C

D

Fig. 1

Figure 1

Figure 2

Figure 3

POWRGARD-Electrical-Product-Catalog-html.html
background image

86

© 2018 Littelfuse POWR-GARD

®

 Products Catalog

littelfuse.com

Fuses - High-Speed

High-Speed F

uses

5

TRADITIONAL HIGH-SPEED FUSES  

150/250/600 Vac • Very Fast-Acting • 1-1200 A

Specifications

Voltage Ratings
L15S:

 

150 Vac/dc (1 – 60 A)

 

150 Vac (70 – 1000 A)

 

100 Vdc (70 – 1000 A)

L25S:

 

250 Vac/dc (1 – 200 A)

 

250 Vac (225 – 800 A)

 

200 Vdc (225 – 800 A)

 

L25S series fuses are Littelfuse Certified 

 

for DC ratings shown in Rating Table.

L60S:

 

600 Vac

0KLC:

 

600 Vac

Interrupting Rating
AC:

 

200 kA rms (L15S series 100 kA)

DC:

 

20 kA

Ampere Range

 

1 - 1000A (See Ordering Information Table  

 

for ratings available in each series)

Approvals 

 

UL Recognized (File: E71611) 

 

CSA Recognized (File: LR29862)

Part Numbering System

xxxx   xxx   .T

Package Quantity

Series

Amp Code

Refer to Amp Code 

Column in Ordering 

Information Table

X = 1 (125-800 A) 

L60S & KLC only

T = 10 (1-450 A) 

L15S

           (1-60 A) 

excluding L15S

V = 5 (500-1000A) 

L15S

          (70-100 A) 

excluding L15S

Recommended Fuse Holders

1LFS101/1LFS102 ............................................................ 129 
LSCR001/LSCR002 ......................................................... 127

Web Resources

For additional information, visit: 

littelfuse.com/high-speed

AMP 

CODE

SERIES ORDERING NUMBER

L15S

L25S

L60S

0KLC‡

001

L15S001

L25S001

L60S001

0KLC001

002

L15S002

L25S002

L60S002

0KLC002

003

L15S003

L25S003

L60S003

0KLC003

004

L15S004

L25S004

L60S004

0KLC004

005

L15S005

L25S005

L60S005

0KLC005

006

L15S006

L25S006

L60S006

0KLC006

007

L15S007

0KLC007

008

L15S008

L25S008

L60S008

0KLC008

009

L15S009

010

L15S010

L25S010

L60S010

0KLC010

012

L15S012

L25S012

L60S012

0KLC012

015

L15S015

L25S015

L60S015

0KLC015

17

.5

L60S17.5

0KLC17

.5

020

L15S020

L25S020

L60S020

0KLC020

025

L15S025

L25S025

L60S025

0KLC025

030

L15S030

L25S030

L60S030

0KLC030

035

L15S035

L25S035

L60S035

0KLC035

040

L15S040

L25S040

L60S040

0KLC040

045

L15S045

L25S045

L60S045

0KLC045

050

L15S050

L25S050

L60S050

0KLC050

060

L15S060

L25S060

L60S060

0KLC060

070

L15S070

L25S070

L60S070

0KLC070

080

L15S080

L25S080

L60S080

0KLC080

090

L15S090

L25S090

L60S090

0KLC090

100

L15S100

L25S100

L60S100

0KLC100

110

0KLC110

125

L15S125

L25S125

L60S125

0KLC125

150

L15S150

L25S150

L60S150

0KLC150

175

L25S175

L60S175

0KLC175

200

L15S200

L25S200

L60S200

0KLC200

225

L25S225

L60S225

0KLC225

250

L15S250

L25S250

L60S250

0KLC250

275

L25S275

300

L15S300

L25S300

L60S300

0KLC300

350

L15S350

L25S350

L60S350

0KLC350

400

L15S400

L25S400

L60S400

0KLC400

450

L15S450

L25S450

L60S450

0KLC450

500

L15S500

L25S500

L60S500

0KLC500

550

600

L15S600

L25S600

L60S600

0KLC600

700

L25S700

L60S700

0KLC700

800

L15S800

L25S800

L60S800

0KLC800

1000

L15S1000

 0KLC series fuses are recommended for replacement use only.

Ordering Information

 

Note: High-Speed fuses are designed for fixed installations.  They are not intended for use in moving vehicle applications.

POWRGARD-Electrical-Product-Catalog-html.html
background image

87

littelfuse.com 

© 2018 Littelfuse POWR-GARD

®

 Products Catalog

Fuses - High-Speed

High-Speed F

uses

5

TRADITIONAL HIGH-SPEED FUSES  

A

B

C

D

F

G

E

 H

Fig. 3

AMPERE

RATING

FIG.

NO.

DIMENSIONS INCHES (MM)

A

B

C

D

E

F

G

H

L15S Series, 150 Vac

1 – 30

1

1

1/2

 (38.1)

3

8

 (9.5)

13

32

 (10.3)

31 – 60

1

2 (50.8)

5

8

 (15.9)

13

16

 (20.6)

61 – 450

3

15

32

 (29.4) 1

7

8

 (47.6) 2

3

16

 (55.6) 2

21

32

 (67.5)

1 (25.4)

43

64

 (17.1)

5

16

 (7.9)

3

16

 (4.8)

451 – 1000

3

1

1⁄4

 (31.8) 1

15

16

 (49.2) 2

9

16

 (65.1) 3

1/2

 (88.9)

1

1/2

 (38.1)

1 (25.4)

13

32

 (10.3)

1⁄4

 (6.4)

L25S Series, 250 Vac

1 – 30

1

2 (50.8)

1/2

 (12.7)

9

16

 (14.3)

31 – 60

2

1

5

8

 (41.3) 2

1⁄4

 (57.2)

2

1/2

 (63.5) 3

3

16

 (81.0)

13

16

 (20.6)

23

32

 (18.3)

11

32

 (8.7)

1

8

 (3.2)

61 – 200

3

1

5

8

 (41.3) 2

5

16

 (58.7) 2

7

16

 (61.9) 3

1

8

 (79.4) 1

7

32

 (31.0)

1 (25.4)

5

16

 (7.9)

3

16

 (4.8)

201 – 700

3 1

19

32

 (40.5) 2

9

32

 (57.9) 2

29

32

 (73.8) 3

27

32

 (97.6) 1

1/2

 (38.1)

1 (25.4)

13

32

 (10.3)

1⁄4

 (6.4)

701 – 800

3 1

19

32

 (40.5) 2

9

32

 (57.9) 2

29

32

 (73.8) 3

27

32

 (97.6)

2 (50.8)

1

1/2

 (38.1)

13

32

 (10.3)

1⁄4

 (6.4)

L60S Series, 600 Vac

1 – 30

1

5 (127.0)

5

8

 (15.9)

13

16

 (20.6)

31 – 60

2 2

25

32

 (70.6) 3

7

16

 (87.3) 3

11

16

 (93.7) 4

3

8

 (111.1)

13

16

 (20.6)

23

32

 (18.3)

11

32

 (8.7)

1

8

 (3.2)

61 – 100

2 2

29

32

 (73.8) 3

17

32

 (89.7) 3

25

32

 (96.0) 4

15

32

 (113.5)

11

16

 (27.0)

23

32

 (18.3)

11

32

 (8.7)

1

8

 (3.2)

101 – 200

2 2

29

32

 (73.8) 3

9

16

 (90.5) 3

3⁄4

 (95.3) 4

13

32

 (111.9) 1

5

16

 (33.3)

1 (25.4)

5

16

 (7.9)

3

16

 (4.8)

201 – 400

2 2

29

32

 (73.8) 3

31

32

 (100.8) 4

5

32

 (105.6) 5

1

8

 (130.2) 1

37

64

 (40.1)

1 (25.4)

1

3

32

 (10.3)

1⁄4

 (6.4)

401 – 600

2

2

7

8

 (73.0) 3

31

32

 (100.8) 4

9

64

 (105.2) 5

1

8

 (130.2) 2

1

16

 (52.8) 1

1/2

 (38.1)

1

3

32

 (10.3)

1⁄4

 (6.4)

601 – 800

2

3

1

32

 (77.0) 5

5

32

 (133.4) 5

11

32

 (135.7) 7

1⁄4

 (184.2) 2

1/2

 (63.5)

2 (50.8)

1

7

32

 (13.5)

3

8

 (9.5)

KLC Series, 600 Vac

1 – 30

2

1

7

8

 (47.6) 2

1/2

 (63.5)

2

7

8

 (73.0)

9

16

 (14.3)

13

32

 (10.3)

1⁄4

 (6.4)

3

64

 (1.2)

31 – 60

2

2

3⁄4

 (69.9) 3

3

8

 (85.7)

3

5

8

 (92.1) 4

5

16

 (109.5)

13

16

 (20.6)

23

32

 (18.3)

11

32

 (8.7)

1

8

 (3.2)

61 – 100

3

2

7

8

 (73.0) 3

21

32

 (92.9) 4

1

16

 (103.2) 5 (127.0)

1 (25.4)

3⁄4

 (19.1)

13

32

 (10.3)

1

8

 (3.2)

101 – 200

3 2

27

32

 (72.2) 3

17

32

 (89.7) 4

3

8

 (111.1) 5

3

32

 (129.4) 1

1/2

 (38.1)

1 (25.4)

13

32

 (10.3)

1⁄4

 (6.4)

201 – 400

3 2

27

32

 

(72.2) 4

21

32

 (118.3) 4

27

32

 (123.0) 6

1⁄4

 (158.8)

2 (50.8)

1

5

8

 (41.3)

9

16

 (14.3)

1⁄4

 (6.4)

401 – 800

3 2

27

32

 

(72.2) 4

21

32

 (118.3) 5

11

32

 (135.7) 6

1⁄4

 (158.8) 2

1/2

 (63.5)

2 (50.8)

9

16

 (14.3)

3

8

 (9.5)

E

 H

F

G

A

B

C

D

Fig, 2

A

C

D

Fig. 1

Dimensions

POWRGARD-Electrical-Product-Catalog-html.html
background image

88

littelfuse.com 

© 2017 Littelfuse POWR-GARD

®

 Products Catalog

88

Section Overview

Littelfuse

®

 offers a wide variety of open-face and dead-front fuse blocks, 

in addition to a variety of in-line fuse holders, distribution/splicer blocks, 
fuse pullers and accessories.

BLOCKS AND HOLDERS

LF Series Fuse Blocks Overview ..................................................89

Class J Fuse Blocks .......................................................................91

Class R and H / K5 Fuse Blocks .....................................................94

Class T Fuse Blocks ....................................................................100

Class G Fuse Blocks ....................................................................105

Class CC / CD and Midget Fuse Blocks .......................................107

LF Series Fuse Block Covers ...................................................... 112

Solar Rated Fuse Blocks ............................................................. 113

Dead Front Fuse Holders ............................................................ 119

Miscellaneous Fuse Blocks and Holders ....................................120

High-Speed Fuse Blocks .............................................................128

Distribution and  Splicer Blocks ...................................................131

In-Line Fuse Holders ...................................................................149

Table of Contents

POWRGARD-Electrical-Product-Catalog-html.html
background image

89

littelfuse.com 

© 2018 Littelfuse POWR-GARD

®

 Products Catalog

Fuse Bloc

ks and Holders

6

Blocks and Holders

FUSE BLOCK OVERVIEW

Description

Littelfuse offers a comprehensive line of fuse blocks  
that incorporate many benefits such as indication, snap to-
release, DIN-Rail mounting and universal mounting holes.

New Options Available

•  Reduced Footprint—Save space with  

designs up to 35% smaller in width

•  Indication—Increase safety and reduce  

downtime with built-in local indication 

•  Universal Mounting Holes—Simplify  

replacement with universal mounting options

•  DIN Rail Mountable—Ease installation with  

a 35 mm hat DIN Rail mounting option

•  One-Hand Release—Save time by using only  

one hand for a simple release from DIN Rail

Fuse Block Selection

The following guidelines should help simplify the selection  
of proper fuse blocks:

1. Determine the system voltage

—Since fuses are  

selected on the basis of sys tem voltage, fuse blocks are 
selected to match the voltage rating of the fuse.

2. Determine the design short-circuit current

—If available 

short-circuit current cannot be determined, or if it will vary 
with equip ment location, select fuses with a 200,000 ampere 
interrupting rating (A.I.R.) and mating fuse blocks with a 
withstand rating of 200,000 amperes for maximum safety.

3. Determine the type and ampere rating of the fuse  
to be used

—The fuse ampere rating, opening characteristics 

(fast acting or time-delay) and size are important considerations 
in fuse selection. Fuse blocks may be used with a fuse rated  
at the corresponding amperage rating or below. For example,  
a fuse block rated at 30 amperes may be used with a fuse  
rated from 0 to 30 amperes.

4. Determine if NEC

®

, CSA, UL, or other requirements  

are applicable

—Any of these requirements should be 

obtained from the approving agency in advance of fuse and 
fuse block selection.

5. Select the type of wire termination

Three types of wire termination are available:

•  Screw*—for use with spade lugs or ring terminals
•   Screw with Pressure Plate*—for use with solid or 

stranded wire without terminal. Recommended where 
vibration will be a factor

•   Box Lug—for use with all types of solid wire and  

Class B and Class C stranded wire. The most durable, but 
not for use with welding cable or other  
rope-stranded conductors.

1

4

” Quick Connect terminals are available on the Midget and Class CC 

fuse blocks.

6. Decide on the number of poles in each block

—The 

number of poles for each set of fuses is determined by the 
characteristics of the circuit. 

7. Determine if block should be DIN Rail mounted

—Many 

of the new Littelfuse fuse blocks are DIN Rail mountable. Be 
sure to look to corresponding ordering tables to match the 
correct part number on the following product pages.

8. Determine if fuse clips need to be re in forced

Fuse clips may have a tendency to lose some of their tension 
over a period of time. This may be prevented by specifying 
reinforced fuse clips. 

Ordering Information

The Littelfuse fuse block part number con sists of the below skeleton. 
Please refer to UL Class Tables for specific information.

† These new fuse blocks replace previous Littelfuse fuse blocks that had very similar 

part numbers for customer convenience. The only change is an “F” has been added as 
the second character in the new block part numbers.

Caution: Littelfuse indicating fuse blocks are intended to quickly identify open fuses 
while power is still applied. Only qualified electrically trained technicians should 
replace fuses and follow standard OSHA and NFPA 70E safe work practices, such 
as Lock-Out and Tag-Out procedures and verification before replacing any fuses in 
indicating fuse blocks.

For all Class R, H, J, G   

and T Fuse blocks

For all Class CC,   

and Midget-Style

Screw

with

Pressure

Plate

(P)

Screw

(S)

Box

Lug

(C)

POWRGARD-Electrical-Product-Catalog-html.html
background image

90

© 2018 Littelfuse POWR-GARD

®

 Products Catalog

littelfuse.com

Blocks and Holders

Fuse Bloc

ks and Holders

6

LF SERIES INDICATING FUSE BLOCKS

Smaller Footprint  

Provides Space Savings

DIN-Rail Mounting  

Eases Installation

Indication Improves 

Functionality

An Indication of Value

The Littelfuse LF Series Fuse Blocks and Covers offer 
generous space savings and a greater value over previous 
generations. View the different series classes for available 
indication, snap-to-release DIN rail mounting, universal 
mounting holes and touch-safe covers.

POWRGARD-Electrical-Product-Catalog-html.html
background image

91

littelfuse.com 

© 2018 Littelfuse POWR-GARD

®

 Products Catalog

Blocks and Holders

Fuse Bloc

ks and Holders

6

LF SERIES CLASS J FUSE BLOCKS

600 V

Specifications

Voltage Ratings

 

 

600 V

Ampere Ratings

 

 

0 – 600 A

Leakage Current

 

<0.6 mA at 600 V

Flammability Rating

   

UL94 V-0

Approvals

 

 

UL Listed (File: E14721)

 

 

CSA Certified (File: LR7316)

Environmental

 

RoHS Compliant, Lead (Pb) Free

 

REACH Compliant

Recommended Fuses

Time Delay

  

Series: JTD_ID 

Series: JTD

Fast Acting

 

Series: JLS

For information about Touch-Safe Class J fuse holders:

Littelfuse.com/lfpsj

Web Resources

Sample requests, downloadable CAD drawings, fuse block 
cover datasheet and other technical information: 

Littelfuse.com/fuseblocks 
Littelfuse.com/lfj

Description

The Littelfuse 600 V Class J blocks offer generous space 

savings and enhanced value over previous generations, such 

as indication, snap-to-release DIN-rail mounting and universal 

mounting holes.

Features/Benefits

•  Space-saving design – up to 45% smaller
•  Universal mounting holes for easy replacement
•  Indication offered on all versions except 200–600 A
•  One hand release from DIN rail for ferrule style fuses 
•   Reinforced fuse clips are standard on all Class J blocks
•  Covers available for 100 A and lower to enhance safety
•  Both hex and slot set screw options available on 30A and 

60A box lugs

Note: Reinforcing springs standard on all Class J fuse blocks.

*Covers sold individually. One cover needed for each pole. 

Ordering Information 

(Class J 600 V)

AMP 

RATING

POLES

ORDERING NUMBER

TORQUE

TERMINAL

WIRE RANGE WIRE TYPE

BASE 

TEMP 

RATING

DIN  

RAIL

INDICATION

COVER 

ORDERING 

NUMBER*

BASE 

PART 

NUMBER

TERMINAL SUFFIX

BOX LUG 

HEX

BOX LUG 

SLOT

PRES SURE 

PLATE

SCREW

30

1

LFJ600301

CID-HX

CID

PID

SID

2.8 N-m (25 in-lbs)

C

6-14 AWG

CU Only

Solid / Stranded

125˚C

• LFJ60030FBC

2

LFJ600302

CID-HX

CID

PID

SID

P

10-14 AWG

3

LFJ600303

CID-HX

CID

PID

SID

S

10-22 AWG

60

1

LFJ600601

CID-HX

CID

5.6 N-m (50 in-lbs)

2-4 AWG

CU-AL

125˚C

• LFJ60060FBC

2

LFJ600602

CID-HX

CID

2.8 N-m (25 in-lbs)

6-14 AWG

3

LFJ600603

CID-HX

CID

100

1

LFJ601001

C

13.6 N-m (120 in-lbs)

2/0-6 AWG

CU-AL

130˚C

• LFJ60100FBC

4.5 N-m (40 in-lbs)

8 AWG

3

LFJ601003

C

4.0 N-m (35 in-lbs)

10-14 AWG

200

1

LFJ602001

C

31.1 N-m (275 in-lbs)

250 kcmil-6

CU-AL

130˚C

— —

3

LFJ602003

C

400

1

LFJ604001

C

31.1 N-m (275 in-lbs)

(2) 350 kcmil-1/0

CU-AL

130˚C

— —

3

LFJ604003

C

600

1

LFJ606001

C

42.4 N-m (375 in-lbs)

(2) 500 kcmil-4

CU-AL

130˚C

— —

3

LFJ606003

C

Patent

US8810420

POWRGARD-Electrical-Product-Catalog-html.html
background image

92

© 2018 Littelfuse POWR-GARD

®

 Products Catalog

littelfuse.com

Blocks and Holders

Fuse Bloc

ks and Holders

6

94.1

(3.70)

3.6 (.14)

43.2

(1.70)

56.5

(2.23)

7.4 (.29)

12.5 (.49)

21.4 (.84)

21.8 (.86)

29.2 (1.15)

55.9 (2.20)

34.0 (1.34)

39.2 (1.54)

82.5 (3.25)

49.5 (1.95)

R2.8 (.11)

TYP.

Ø.2 THRU

Ø.4  .2

600 V 30 A 

CLASS J FUSE BLOCK DIMENSIONS  

97.2

(3.83)

3.6 (.14)

42.4 (1.67)

12.0 (.47)

22.5 (.89)

32.9 (1.30)

52.5

(2.07)

81.2 (3.20)

50.8 (2.00)

119.9 (4.72)

89.5 (3.52)

56.9 (2.24)

21.1 (.83)

138.2 (5.44)

48.8 (1.92)

5.3 (.21)

11.7 (.46)

37.1 (1.46)

72.5 (2.86)

R3.6 (.14)

TYP.

136.1 (5.36)

17.3 (.68)

49.0 (1.93)

87.1 (3.43)

72.5 (2.86)

Ø.3 THRU

66.5 (2.62)

21.0 (.83)

Ø.5   .6

600 V 60 A 

600 V 100 A

Dimensions mm (inches) 

POWRGARD-Electrical-Product-Catalog-html.html
background image

93

littelfuse.com 

© 2018 Littelfuse POWR-GARD

®

 Products Catalog

Blocks and Holders

Fuse Bloc

ks and Holders

6

CLASS J FUSE BLOCK DIMENSIONS

76.2 (3.00)

254.0

(10.00)

236.7 (9.32)

15.9 (.63)

84.4 (3.32)

12.7 (.50)

16.0 (.63)

60.2 (2.37)

63.5 (2.50)

101.6

(4.00)

146.1

(5.75)

152.4

(6.00)

101.6 (4.00)

152.4 (6.00)

42.2 (1.66)

194.6 (7.66)

R4.3 (.17)

TYP.

Ø.3 THRU

Ø.8   .4

Ø.3 THRU

Ø.8   .4

298.5 (11.75)

101.6 (4.00)

119.0 (4.69)

304.8 (12.00)

15.9 (.63)

110.6 (4.36)

179.5 (7.07)

28.6 (1.13)

73.0 (2.88)

12.7 (.50)

292.1 (11.50)

Ø.3 THRU

Ø.6  .4

600 V 400 A 

600 V 600 A

76.2 (3.00)

155.7 (6.13)

203.2 (8.00)

12.7 (.50)

63.5 (2.50)

77.9 (3.07)

56.4 (2.22)

99.3 (3.91)

12.7 (.50)

190.5 (7.50)

15.9 (.63)

72.4 (2.85)

Ø.3 THRU

Ø.8   .4

600 V 200 A

Dimensions mm (inches) 

POWRGARD-Electrical-Product-Catalog-html.html
background image

94

© 2018 Littelfuse POWR-GARD

®

 Products Catalog

littelfuse.com

Blocks and Holders

Fuse Bloc

ks and Holders

6

LF SERIES CLASS R & H/K5 FUSE BLOCKS

250 V • 600 V

Description

The Littelfuse Class R and H/K5 blocks offer many benefits 
such as indication, snap-to-release DIN rail mounting 
and universal mounting holes. Class H and Class R fuse 
blocks are dimensionally the same, but Class R blocks 
incorporate a rejection feature, which only allows Class R 
fuses to be inserted.

Features/Benefits

•  Universal mounting holes for easy replacement
•  Indication offered on most 250 V and 600 V versions
•  One hand release from DIN rail for ferrule style fuses
•   Reinforced fuse clips are standard on all Class H and 

Class R fuse blocks

•  Covers available for 100 A and lower to enhance safety

Web Resources

Download CAD drawings, fuse block cover datasheet and 
other technical information:  

littelfuse.com/lfr 
littelfuse.com/lfh

Specifications

Voltage Rating

 

250 V, 600 V

Ampere Ratings

 

0-600 A

Leakage Current

 

<0.6 mA at 600 V

Withstand Rating

 

 Class H: 10 kA RMS SYM 

Class R: 200 kA RMS SYM

Flammability Rating

  UL94 V-0

Approvals

 

UL Listed (File: E14721) 

 

CSA Certified (File: LR7316)

Environmental

 

RoHS Compliant, Lead (Pb) Free

Recommended Fuses

250 V – Class R Blocks

LLNRK ................................................................................ 13 

KLNR .................................................................................. 15 

FLNR/FLNR_ID ....................................................................17

250 V – Class H / K5 Blocks

NLN .................................................................................... 20

600 V – Class R Blocks

LLSRK/LLSRK_ID ................................................................ 13 

KLSR ................................................................................... 15 

IDSR ................................................................................... 16 

FLSR/FLSR_ID .....................................................................17

600 V – Class H / K5 Blocks

NLS ..................................................................................... 20

Ordering Information 

(Class H 250 V)

AMP 

RATING

POLES

ORDERING NUMBER

TORQUE

TERMINAL

 WIRE 

RANGE

WIRE TYPE

BASE 

TEMP

RATING

DIN 

RAIL

INDICA

TION

COVER 

ORDERING 

NUMBER*

BASE PART 

NUMBER

SUFFIX

BOX 

LUG

PRES SURE 

PLATE

SCREW

30

1 LFH250301

C

P

S

2.8 N-m (25 in-lbs)

C

6-14 AWG

CU Only

Solid/ 

Stranded

125˚C

LFH25030FBC

2 LFH250302

C

P

S

P

10-14 AWG

3 LFH250303

C

P

S

S

10-22 AWG

60

1 LFH250601

CID

5.6 N-m (50 in-lbs)

2-4 AWG

CU-AL

125˚C

LFH25060FBC

2 LFH250602

CID

2.8 N-m (25 in-lbs)

6-14 AWG

3 LFH250603

CID

100

1 LFH251001

CID

13.6 N-m (120 in-lbs)

2/0-6 AWG

CU-AL

130˚C

LFH25100FBC

4.5 N-m (40 in-lbs)

8 AWG

3 LFH251003

CID

4.0 N-m (35 in-lbs)

10-14 AWG

200

1 LFH252001

C

31.1 N-m (275 in-lbs)

250 kcmil-6

CU-AL

130˚C

3 LFH252003

C

400

1 LFH254001

C

31.1 N-m (275 in-lbs)

(2) 350 kcmil-1/0

CU-AL

130˚C

3 LFH254003

C

600

1 LFH256001

C

42.4 N-m (375 in-lbs)

(2) 500 kcmil-4

CU-AL

130˚C

3 LFH256003

C

Note: Reinforcing springs standard on all Class H fuse blocks.   
*Covers sold individually. One cover needed for each pole.

POWRGARD-Electrical-Product-Catalog-html.html
background image

95

littelfuse.com 

© 2018 Littelfuse POWR-GARD

®

 Products Catalog

Blocks and Holders

Fuse Bloc

ks and Holders

6

LF SERIES CLASS R & H/K5 FUSE BLOCKS

Note: Reinforcing springs standard on all Class H fuse blocks.

Note: Reinforcing springs standard on all Class R fuse blocks. 

Note: Reinforcing springs standard on all Class R fuse blocks. 
*Covers sold individually. One cover needed for each pole.

Ordering Information 

(Class H 600 V)

AMP 

RATING POLES

ORDERING NUMBER

TORQUE

TERMINAL

 WIRE 

RANGE

WIRE TYPE

BASE 

TEMP

RATING

SNAP  

TO 

RELEASE

INDICATION

COVER 

ORDERING 

NUMBER*

BASE 

ORDERING

NUMBER 

SUFFIX

BOX 

LUG

PRES SURE 

PLATE

SCREW

30

1

LFH600301

CID

PID

SID

2.8 N-m (25 in-lbs)

C

6-14 AWG

CU Only

Solid/ 

Stranded

130˚C

• LFH60030FBC

2

LFH600302

CID

PID

SID

P

10-14 AWG

3

LFH600303

CID

PID

SID

S

10-22 AWG

60

1

LFH600601

CID

5.6 N-m (50 in-lbs)

2-4 AWG

CU-AL

130˚C

• LFH60060FBC

2

LFH600602

CID

2.8 N-m (25 in-lbs)

6-14AWG

3

LFH600603

CID

100

1

LFH601001

CID

13.6 N-m (120 in-lbs)

2/0-6AWG

CU-AL

130˚C

• LFH60100FBC

4.5 N-m (40 in-lbs)

8 AWG

3

LFH601003

CID

4.0 N-m (35 in-lbs)

10-14 AWG

200

1

LFH602001

C

31.1 N-m (275 in-lbs)

250 kcmil-6

CU-AL

130˚C

3

LFH602003

C

400

1

LFH604001

C

31.1 N-m (275 in-lbs)

(2) 350 kcmil-1/0

CU-AL

130˚C

3

LFH604003

C

600

1

LFH606001

C

42.4 N-m (375 in-lbs)

(2) 500 kcmil-4

CU-AL

130˚C

3

LFH606003

C

Ordering Information 

(Class R 250 V)

AMP 

RATING POLES

ORDERING NUMBER

TORQUE

TERMINAL

 WIRE 

RANGE

WIRE TYPE

BASE 

TEMP

RATING

SNAP  

TO 

RELEASE

INDICATION

COVER 

ORDERING 

NUMBER*

BASE 

ORDERING

NUMBER 

SUFFIX

BOX 

LUG

PRES SURE 

PLATE

SCREW

30

1

LFR250301

C

P

S

2.8 N-m (25 in-lbs)

C

6-14 AWG

CU Only

Solid/ 

Stranded

125˚C

— LFH25030FBC

2

LFR250302

C

P

S

P

10-14 AWG

3

LFR250303

C

P

S

S

10-22 AWG

60

1

LFR250601

CID

5.6 N-m (50 in-lbs)

2-4 AWG

CU-AL

125˚C

• LFH25060FBC

2

LFR250602

CID

2.8 N-m (25 in-lbs)

6-14 AWG

3

LFR250603

CID

100

1

LFR251001

CID

13.6 N-m (120 in-lbs)

2/0-6 AWG

CU-AL

130˚C

• LFH25100FBC

4.5 N-m (40 in-lbs)

8 AWG

3

LFR251003

CID

4.0 N-m (35 in-lbs)

10-14 AWG

200

1

LFR252001

C

31.1 N-m (275 in-lbs)

250 kcmil-6

CU-AL

130˚C

3

LFR252003

C

400

1

LFR254001

C

31.1 N-m (275 in-lbs)

(2) 350 kcmil-1/0

CU-AL

130˚C

3

LFR254003

C

600

1

LFR256001

C

42.4 N-m (375 in-lbs)

(2) 500 kcmil-4

CU-AL

130˚C

3

LFR256003

C

Ordering Information 

(Class R 600 V)

AMP 

RATING POLES

ORDERING NUMBER

TORQUE

TERMINAL

 WIRE 

RANGE

WIRE TYPE

BASE 

TEMP

RATING

SNAP  

TO 

RELEASE

INDICATION

COVER 

ORDERING 

NUMBER*

BASE 

ORDERING

NUMBER 

SUFFIX

BOX 

LUG

PRES SURE 

PLATE

SCREW

30

1

LFR600301

CID

PID

SID

2.8 N-m (25 in-lbs)

C

6-14 AWG

CU Only

Solid/ 

Stranded

130˚C

• LFH60030FBC

2

LFR600302

CID

PID

SID

P

10-14 AWG

3

LFR600303

CID

PID

SID

S

10-22 AWG

60

1

LFR600601

CID

5.6 N-m (50 in-lbs)

2-4 AWG

CU-AL

130˚C

• LFH60060FBC

2

LFR600602

CID

2.8 N-m (25 in-lbs)

6-14 AWG

3

LFR600603

CID

100 

1

LFR601001

CID

13.6 N-m (120 in-lbs)

2/0-6 AWG

CU-AL

130˚C

• LFH60100FBC

4.5 N-m (40 in-lbs)

8 AWG

3

LFR601003

CID

4.0 N-m (35 in-lbs)

10-14 AWG

200

1

LFR602001

C

31.1 N-m (275 in-lbs)

250 kcmil-6

CU-AL

130˚C

3

LFR602003

C

400

1

LFR604001

C

31.1 N-m (275 in-lbs)

(2) 350 kcmil-1/0

CU-AL

130˚C

3

LFR604003

C

600

1

LFR606001

C

42.4 N-m (375 in-lbs)

(2) 500 kcmil-4

CU-AL

130˚C

3

LFR606003

C

POWRGARD-Electrical-Product-Catalog-html.html
background image

96

© 2018 Littelfuse POWR-GARD

®

 Products Catalog

littelfuse.com

Blocks and Holders

Fuse Bloc

ks and Holders

6

LF SERIES CLASS R & H/K5 FUSE BLOCKS

31.9

[1.26]

28.6 [1.13]

48.5 [1.91]

6.8 [.27]

74.7 [2.94]

40.1 [1.58]

8.4

[.33]

5.6 [.22]

R2.8 [.11]

TYP

.2 THRU

R2.8 [.11]

TYP

76.5

[3.01]

3.6 [.14]

38.2

[1.51]

44.6

[1.76]

4.8 [.19]

13.0 [.51]

15.6 [.61]

23.8 [.94]

16.3 [.64]

32.2 [1.27]

15.9 [.63]

31.8 [1.25]

42.9 [1.69]

119.7 [4.71]

37.3 [1.47]

70.7 [2.78]

104.1 [4.10]

57.4 [2.26]

24.9 [.98]

R2.8 [.11]

TYP

43.9 [1.73]

75.7 [2.98]

9.7 [.38]

14.8 [.58]

22.4 [.88]

55.8 [2.20]

43.1 [1.70]

5.5 [.21]

89.2 [3.51]

76.5 [3.01]

177.8 [7.00]

46.0 [1.81]

126.3 [4.97]

66.0 [2.60]

22.9 [.90]

R3.4 [.13]

TYP

53.6 [2.11]

72.6 [2.86]

133.0 [5.23]

11.3 [.45]

20.3 [.80]

34.7 [1.37]

60.5 [2.38]

100.6 [3.96]

51.5 [2.03]

91.6 [3.61]

250 V 30 A

250 V 60 A

250 V 100 A

Dimensions mm (inches) 

POWRGARD-Electrical-Product-Catalog-html.html
background image

97

littelfuse.com 

© 2018 Littelfuse POWR-GARD

®

 Products Catalog

Blocks and Holders

Fuse Bloc

ks and Holders

6

LF SERIES CLASS R & H/K5 FUSE BLOCKS

181.1

[7.13]

76.2 [3.00]

228.6 [9.00]

Ø.3 THRU

72.4 [2.85]

15.9 [.63]

R4.3 [.17]

TYP.

63.5 [2.50]

12.7 [.50]

63.5 [2.50]

52.6

[2.07]

128.5

[5.06]

12.7 [.50]

19.1 [.75]

165.1 [6.50]

184.2 [7.25]

215.9 [8.50]

Ø.3 THRU

Ø.8   .4

88.9 [3.50]

292.1

[11.50]

95.3

[3.75]

15.9 [.63]

266.7 [10.50]

84.4 [3.32]

15.9 [.63]

108.0

[4.25]

184.2

[7.25]

22.2 [.88]

66.7 [2.63]

95.3 [3.75]

196.9 [7.75]

15.9 [.63]

250.8 [9.88]

Ø.3 THRU

Ø.8   .4

Ø.3 THRU

Ø.8   .4

355.6

[14.0]

114.3 [4.5]

114.3

[4.5]

317.5 [12.5]

19.1 [.8]

114.3 [4.5]

110.6 [4.4]

15.9 [.6]

139.7

[5.5]

215.9

[8.5]

19.1 [.8]

34.9 [1.4]

79.4 [3.1]

241.3 [9.5]

298.5 [11.8]

Ø.3 THRU

Ø.6   .4

Ø.3 THRU

Ø.8   .4

Ø.3 THRU

Ø.6   .4

250 V 200 A

250 V 400 A

250 V 600 A

Dimensions mm (inches) 

POWRGARD-Electrical-Product-Catalog-html.html
background image

98

© 2018 Littelfuse POWR-GARD

®

 Products Catalog

littelfuse.com

Blocks and Holders

Fuse Bloc

ks and Holders

6

LF SERIES CLASS R & H/K5 FUSE BLOCKS

166.7

[6.56]

38.4 [1.51]

73.1 [2.88]

R3.4 [.13]

TYP

R2.6 [.10]

TYP

47.6

[1.87]

56.0

[2.20]

118.6

[4.67]

127.1

[5.00]

16.8 [.66]

21.5 [.85]

6.4 [.25]

19.2 [.76]

51.6 [2.03]

41.1 [1.62]

107.9 [4.25]

20.7 [.82]

52.5 [2.07]

75.9 [2.99]

86.4 [3.40]

184.2

[7.25]

43.8 [1.73]

 .5  .5

R3.4 [.13]

TYP

83.6 [3.29]

123.2 [4.85]

59.7 [2.35]
22.9 [.90]

55.2

[2.18]

74.2

[2.92]

134.6

[5.30]

11.4 [.45]

19.9 [.78]

29.8 [1.17]

32.4 [1.28]

59.6 [2.35]

69.5 [2.74]

99.4 [3.91]

109.3 [4.30]

.2 THRU

228.6 [9.00]

R3.4 [.13]

TYP

53.4 [2.10]

145.3 [5.72]

66.0 [2.60]

22.9 [.90]

64.6 [2.54]

15.0 [.59]

19.6 [.77]

33.8 [1.33]

172.8 [6.80]

61.0 [2.40]

79.8 [3.14]

107.0 [4.21]

125.7 [4.95]

600 V 30 A

600 V 60 A

600 V 100 A

Dimensions mm (inches) 

POWRGARD-Electrical-Product-Catalog-html.html
background image

99

littelfuse.com 

© 2018 Littelfuse POWR-GARD

®

 Products Catalog

Blocks and Holders

Fuse Bloc

ks and Holders

6

LF SERIES CLASS R & H/K5 FUSE BLOCKS

244.3

[9.62]

76.2 [3.00]

12.7 [.50]

52.3

[2.06]

84.2

[3.32]

228.6 [9.00]

12.7 [.50]

31.8 [1.25]

Ø.3 THRU

Ø.3 THRU

Ø.3 THRU

Ø.3 THRU

 

Ø.8   .4

R4.3 [.17]

TYP.

52.3

[2.06]

72.4

[2.85]
15.9

[.63]

160.1

[6.31]

192.0

[7.56]

63.5 [2.50]

44.5 [1.75]

63.5 [2.50]

165.1 [6.50]

76.7

[3.02]

84.1

[3.31]

160.3

[6.31]

196.9 [7.75]

 

Ø.7   .4

Ø.8   .4

88.9 [3.50]

368.3

[14.50]

15.9 [.63]

22.2 [.88]

95.3

[3.75]

146.1

[5.75]

266.7 [10.50]

15.9 [.63]

84.4 [3.32]

15.9 [.63]

222.3

[8.75]

273.1

[10.75]

66.7 [2.63]

73.0 [2.88]

250.8 [9.88]

 Ø.8   .4

Ø.3 THRU

114.3 [4.50]

431.8

[17.00]

19.1 [.75]

114.3

[4.50]

177.8

[7.00]

317.5 [12.50]

110.6 [4.36]

15.9 [.63]

254.0

[10.00]

34.9 [1.38]

79.4 [3.13]

95.3 [3.75]

19.1 [.75]

298.5 [11.75]

 Ø.8   .4

Ø.3 THRU

 Ø.6   .4

Ø.3 THRU

600 V 200 A

600 V 400 A

600 V 600 A

Dimensions mm (inches) 

POWRGARD-Electrical-Product-Catalog-html.html
background image

100

© 2018 Littelfuse POWR-GARD

®

 Products Catalog

littelfuse.com

Blocks and Holders

Fuse Bloc

ks and Holders

6

LF SERIES CLASS T FUSE BLOCKS

300 V • 600 V

Specifications

Voltage Ratings

 

300 VAC/600 VAC

Ampere Ratings

 

0 – 600 A

Leakage Current

 

<0.6 mA at 600 V

Withstand Rating

 

200 kA RMS SYM

Flammability Rating

 

UL94 V-0

Approvals

 

UL Listed (File: E14721)

 

CSA Certified (File: LR7316)

Environmental

 

RoHS Compliant, Lead (Pb) Free

Recommended Fuses

300 V

 JLLN ........................................................................ 24 

600 V

 JLLS ......................................................................... 24

Web Resources

Sample requests, downloadable CAD drawings and other 

technical information:  

littelfuse.com/lft 

littelfuse.com/fuseblocks

Description 

The Littelfuse Class T fuse blocks offer many advantages 

such as space saving design, universal mounting holes,  
snap-to-release DIN rail mounts and available covers.

Features/Benefits

•  Space-saving design
•  Universal mounting holes for easy replacement
•  One hand release from DIN rail for 30–60 A fuses 
•   Reinforced fuse clips are standard
•  Covers available for most amperages to enhance safety

* Covers sold individually. One cover needed for each pole.

 Wire Type for Pressure Plate and Screw Terminal is CU only

Ordering Information 

(Class T 600 V)

AMP

 

RATING

ORDERING NUMBER

TORQUE

 WIRE

RANGE

WIRE

TYPE

BASE TEMP

RATING

DIN RAIL

 

MOUNT

COVER 

ORDERING 

NUMBER*

BASE

ORDERING  

NUMBER

POLES

TERMINAL SUFFIX

1

2

3

BOX 

LUG

PRES SURE 

PLATE

SCREW

30

LFT60030

1

2

3

C

P

S

5.6 N-m (50 in-lbs)

2-4 AWG

† 

see 

note

Solid/Stranded

125˚C

LFT60030FBC

2.8 N-m (25 in-lbs)

6-14 AWG

60

LFT60060

1

2

3

C

5.6 N-m (50 in-lbs)

2-4 AWG

CU-AL

125˚C

LFT60060FBC

2.8 N-m (25 in-lbs)

6-14 AWG

100

LFT60100

1

3

CS

13.6 N-m (120 in-lbs)

2/0-6 AWG

130˚C

LT60100FBC

4.5 N-m (40 in-lbs)

8 AWG

4.0 N-m (35 in-lbs)

10-14 AWG

200

LFT60200

1

3

CS

31.1 N-m (275 in-lbs)

250 kcmil-6

130˚C

LT60200FBC

400

LFT60400

1

3

CS

(2) 31.1 N-m (275 in-lbs)

250 kcmil-6

130˚C

LT60400FBC

600

LFT60600

1

3

CS

(2) 42.4 N-m (375 in-lbs)

500 kcmil-6

130˚C

LT60600FBC

Ordering Information 

(Class T 300 V)

AMP

 

RATING

ORDERING NUMBER

TORQUE

 WIRE

RANGE

WIRE

TYPE

BASE TEMP

RATING

DIN RAIL

 

MOUNT

COVER 

ORDERING 

NUMBER*

BASE

ORDERING 

NUMBER

POLES

TERMINAL SUFFIX

1

2

3

BOX 

LUG

PRES SURE 

PLATE

SCREW

30

LFT30030

1

2

3

C

5.6 N-m (50 in-lbs)

2-4 AWG

CU-AL

Solid/Stranded

125˚C

LFT30030FBC

2.8 N-m (25 in-lbs)

6-14 AWG

60

LFT30060

1

2

3

C

5.6 N-m (50 in-lbs)

2-4 AWG

125˚C

LFT30060FBC

2.8 N-m (25 in-lbs)

6-14 AWG

100

LFT30100

1

3

CS

13.6 N-m (120 in-lbs)

2/0-6 AWG

130˚C

LFT30100FBC

4.5 N-m (40 in-lbs)

8 AWG

4.0 N-m (35 in-lbs)

10-14 AWG

200

LFT30200

1

3

CS

31.1 N-m (275 in-lbs)

250 kcmil-6

130˚C

400

LFT30400

1

3

CS

(2) 31.1 N-m (275 in-lbs)

250 kcmil-6

130˚C

600

LFT30600

1

3

CS

(2) 42.4 N-m (375 in-lbs)

500 kcmil-6

130˚C

POWRGARD-Electrical-Product-Catalog-html.html
background image

101

littelfuse.com 

© 2018 Littelfuse POWR-GARD

®

 Products Catalog

Blocks and Holders

Fuse Bloc

ks and Holders

6

LF SERIES CLASS T FUSE BLOCKS

Dimensions mm (inches) 

21.8 [.86]

71.1

[2.80]

3.7 [.15]

TYP.

35.6

[1.40]

6.9 [.27]

40.9 [1.61]

15.0 [.59]

25.9 [1.02]

44.9 [1.77]

59.9 [2.36]

35.6 [1.40]

Ø4.5 [.18]

300 V 30 A

73.7

[2.90]

4.5 [.18]

24.6 [.97]

36.8

[1.45]

8.2 [.32]

16.4 [.65]

46.9 [1.85]

30.5 [1.20]

69.1 [2.72]

52.7 [2.07]

41.9 [1.65]

Ø4.5 [.18]

TYP.

34.8 [1.37]

133.4

[5.25]

7.9 [.31]

17.4 [.69]

66.7

[2.63]

104.6 [4.12]

R3.2 [.13]

TYP.

17.4 [.69]

15.9 [.63]

47.6 [1.88]

7.9 [.31]

9.5 [.38]

26.9 [1.06]

26.0 [1.03]

42.8 [1.69]

Ø.2 THRU

Ø.4  .5

Ø.2 THRU

Ø.4  .5

Ø.2 THRU

Ø.5  .4

300 V 60 A

300 V 100 A

POWRGARD-Electrical-Product-Catalog-html.html
background image

102

© 2018 Littelfuse POWR-GARD

®

 Products Catalog

littelfuse.com

Blocks and Holders

Fuse Bloc

ks and Holders

6

38.1 [1.50]

177.8

[7.00]

19.1 [.75]

9.5 [.38]

114.3 [4.50]

R3.6 [.14]

TYP.

15.9 [.63]

57.2 [2.25]

168.3

[6.63]

88.9

[3.50]

9.5 [.38]

22.2 [.88]

92.1 [3.63]

Ø.3 THRU

Ø.5  .5

206.2

[8.12]

57.2 [2.25]

9.5 [.38]

28.6 [1.13]

171.5 [6.75]

15.9 [.63]

60.6 [2.38]

12.7 [.50]

103.1

[4.06]

85.7 [3.38]

127.0 [5.00]

Ø.3 THRU

Ø.5  .5

Ø.3 THRU

Ø.6  .5

LF SERIES CLASS T FUSE BLOCKS   

Dimensions mm (inches) 

222.3

[8.75]

69.9 [2.75]

8.8 [.35]

9.5 [.38]

209.6 [8.25]

60.3 [2.38]

 

15.9 [.63]

74.4 [2.93]

213.5

[8.41]

60.3 [2.38]

54.0 [2.13]

79.4 [3.13]

111.1

[4.38]

Ø.3 THRU

Ø.8  .5

Ø.3 THRU

Ø.5  .5

300 V 200 A

300 V 400 A

300 V 600 A

POWRGARD-Electrical-Product-Catalog-html.html
background image

103

littelfuse.com 

© 2018 Littelfuse POWR-GARD

®

 Products Catalog

Blocks and Holders

Fuse Bloc

ks and Holders

6

LF SERIES CLASS T FUSE BLOCKS

Dimensions mm (inches) 

39.9 [1.57]

72.3

[2.85]

3.7 [.15]

9.5 [.38]

36.2

[1.42]

76.1 [3.00]

45.7 [1.80]

112.3 [4.42]

81.9 [3.23]

54.0 [2.13]

89.7

[3.53]

7.6 [.30]

24.6 [.97]

17.0 [.67]

R2.9 [.11]

TYP.

46.9 [1.85]

29.8 [1.17]

44.8

[1.77]

69.1 [2.72]

41.9 [1.65]

52.0 [2.05]

34.8 [1.37]

153.9 [6.06]

9.5 [.38]

17.5 [.69]

77.0 [3.03]

104.6 [4.12]

7.9 [.31]

15.9 [.63]

47.6 [1.88]

7.9 [.31]

26.0 [1.03]

42.8 [1.69]

77.0

[3.03]

R3.2 [.13]

TYP.

Ø.3 THRU

Ø.5  .4

Ø.2 THRU

Ø.4  .5

600 V 30 A

600 V 60 A

600 V 100 A

POWRGARD-Electrical-Product-Catalog-html.html
background image

104

© 2018 Littelfuse POWR-GARD

®

 Products Catalog

littelfuse.com

Blocks and Holders

Fuse Bloc

ks and Holders

6

LF SERIES CLASS T FUSE BLOCKS

Dimensions mm (inches) 

38.1 [1.50]

196.9 [7.75]

9.5 [.38]

19.1 [.75]

114.3 [4.50]

9.5 [.38]

98.4 [3.88]

15.9 [.63]

57.2 [2.25]

19.1 [.75]

Ø.3 THRU

Ø.6  .5

Ø.3 THRU

Ø.5  .5

57.2 [2.25]

228.6 [9.00]

9.5 [.38]

28.6 [1.13]

12.7 [.50]

114.3 [4.50]

171.5 [6.75]

15.9 [.63]

60.3 [2.38]

85.7 [3.38]

127.0 [5.00]

44.5 [1.75]

Ø.3 THRU

Ø.5  .5

Ø.3 THRU

Ø.6  .5

69.9 [2.75]

247.7 [9.75]

9.5 [.38]

9.5 [.38]

209.6 [8.25]

60.3 [2.38]

123.8 [4.88]

15.9 [.63]

74.4 [2.93]

54.0 [2.13]

79.4 [3.13]

130.2 [5.13]

60.3 [2.38]

149.2 [5.88]

Ø.3 THRU

Ø.8  .5

Ø.3 THRU

Ø.5  .5

600 V 200 A

600 V 400 A

600 V 600 A

POWRGARD-Electrical-Product-Catalog-html.html
background image

105

littelfuse.com 

© 2018 Littelfuse POWR-GARD

®

 Products Catalog

Blocks and Holders

Fuse Bloc

ks and Holders

6

LF SERIES CLASS G FUSE BLOCKS

480 V • 600 V

Ordering Information 

(Class G 600 V)

AMP 

RATING POLES

ORDERING NUMBER

WIRE  

TYPE

BASE 

TEMP

RATING

DIN RAIL 

MOUNT

TERMINAL INFORMATION

BASE 

PART 

NUMBER

SUFFIX

TERMINAL

 WIRE RANGE

TORQUE

BOX  

LUG

PRES SURE 

PLATE

SCREW

15

1 LFG600151 CDINR

PQDINR

SQDINR

CU Only

Solid / Stranded

Box Lug

6-14 AWG

4.0 N-m (35 in-lbs)

2 LFG600152 CDINR

PQDINR

SQDINR

150˚ C

Pressure Plate

10-14 AWG

2.3 N-m (20 in-lbs)

3 LFG600153 CDINR

PQDINR

SQDINR

Screw

10-14 AWG

2.3 N-m (20 in-lbs)

20

1 LFG600201 CDINR

PQDINR

SQDINR

Box Lug 

6-14 AWG

4.0 N-m (35 in-lbs)

2 LFG600202 CDINR

PQDINR

SQDINR

150˚ C

Pressure Plate

10-14 AWG

2.3 N-m (20 in-lbs)

3 LFG600203 CDINR

PQDINR

SQDINR

Screw

10-14 AWG

2.3 N-m (20 in-lbs)

Ordering Information 

(Class G 480 V)

AMP 

RATING

POLES

ORDERING NUMBER

WIRE  

TYPE

BASE 

TEMP

RATING

DIN RAIL 

MOUNT

TERMINAL INFORMATION

BASE 

PART 

NUMBER

SUFFIX

TERMINAL

 WIRE RANGE

TORQUE

BOX  

LUG

PRES SURE 

PLATE

SCREW

30

1 LFG480301 CDINR

PQDINR

SQDINR

CU Only

Solid / Stranded

Box Lug

6-14 AWG

4.0 N-m (35 in-lbs)

2 LFG480302 CDINR

PQDINR

SQDINR

150˚ C

Pressure Plate

10-14 AWG

2.3 N-m (20 in-lbs)

3 LFG480303 CDINR

PQDINR

SQDINR

Screw

10-14 AWG

2.3 N-m (20 in-lbs)

60

1 LFG480601 CDINR

CU/Al

Box Lug

2-4 AWG

5.6 N-m (50 in-lbs)

2 LFG480602 CDINR

125˚ C

6-14 AWG

2.8 N-m (25 in-lbs)

3 LFG480603 CDINR

Description

All Littelfuse Class G fuse blocks offer snap-to-release 
DIN rail mounting and universal mounting holes. Class 
G fuse blocks are designed for use with time-delay 
current limiting Class G fuses.

Features/Benefits

•  Universal mounting holes for easy replacement
•  One hand release from DIN rail for most amperages
•  Meet requirements for branch circuit protection

Specifications

Voltage Ratings

 

600 Vac (0–20 A)

 

480 Vac (25–60 A)

Ampere Ratings

 

0–60 A

Flammability Rating

 

UL94 V-0 

Approvals

 

UL Listed (File: E14721)

 

CSA Certified (File: LR7091)

Recommended Fuses

Time Delay

  

Series: SLC ........................................................................ 26

Web Resources

Download CAD drawings and other technical information:  

littelfuse.com/lfg

POWRGARD-Electrical-Product-Catalog-html.html
background image

106

© 2018 Littelfuse POWR-GARD

®

 Products Catalog

littelfuse.com

Blocks and Holders

Fuse Bloc

ks and Holders

6

LF SERIES CLASS G FUSE BLOCKS

76.2 (3.00)

38.1 (1.50)

19.1 (0.75)

5.3 (0.21)

8.5 (0.34)

4.1 (0.16)

R2.2 (0.09)
TYP.

9.3 (0.37)

16.4 (0.65)

21.7 (0.85)

38.1 (1.50)

R2.7 (0.11)
TYP.

R2.6 (0.10)
TYP.

6.5 (0.26)

15.4 (0.61)

25.5 (1.01)

34.4 (1.36)

59.9 (2.36)

35.6 (1.40)

R2.3 (0.09)
TYP.

21.8 (0.86)

95.3 (3.75)

55.1 (2.17)

6.8 (0.27)

8.3 (0.33)

R2.3 (0.09)
TYP.

3.7 (0.15)

6.8 (0.27)

15.1 (0.59)

25.8 (1.02)

40.9 (1.61)

6.8 (0.27)

15.1 (0.59)

25.8 (1.02)

44.9 (1.77)

59.9 (2.36)

35.6 (1.40)

600 V 15 & 20 A 
480 V 30 A

480 V 60 A

Dimensions mm (inches) 

POWRGARD-Electrical-Product-Catalog-html.html
background image

107

littelfuse.com 

© 2018 Littelfuse POWR-GARD

®

 Products Catalog

Blocks and Holders

Fuse Bloc

ks and Holders

6

LF SERIES CLASS CC/CD AND MIDGET (10x38 mm) FUSE BLOCKS

600 V

Description

The Littelfuse Class CC, CD and midget blocks offer 

generous space savings and enhanced value. DIN-rail 

mounting and universal mounting holes are available as  
well as an indication feature on all Class CD fuse blocks.

Features/Benefits

•  Space-saving design 
•  Universal mounting holes for easy replacement
•  Indication offered on CD blocks
•  One hand release from DIN rail optional
•  Rejection feature that prevents the insertion of fuses 

with lower interrupting rating or voltage ratings

•  Clip design reduces resistance and heat 
•  Non DIN-rail fuse blocks have interlocking feature 

allowing ganging for any number of poles

•  Covers available for all amperages to enhance safety

Ordering Information 

(L600CM Class CC and Midget Combination 30 A)

AMP

 

RA

TING

POLES

COMBINATION 2 CLASS CC / 1 MIDGET  

ORDERING NUMBER

CONNECTOR 

TYPE

TORQUE

WIRE 

RANGE

WIRE TYPE

BASE 

TEMP

COVER 

ORDERING

NUMBER

CLASS CC MIDGET

NON-DIN

DINR

30

2

1

L60030CM3PQ

Pres sure  Plate

w/Q.C. Terminal

2.3 N-m 

(20 in-lbs) 10-14 AWG

CU Only

Solid / Stranded

125˚C

SPL001

Specifications

Voltage Rating

 

600 Vac/dc

Ampere Ratings

 

L600M Midget (10x38): 30 A 

 

L600C Class CC: 30 A 

 

LFC Class CD: 60 A 

 

L600CM Class CC & Midget: 30 A

Dielectric strength

  1200 V minimum

Materials

 

Clip/terminals: Tin-plated copper alloy 

 

Box lug: Copper 

 

Screw & captive pressure plate: Zinc-plated steel 

 

Base: Thermoplastic  

 

UL94 V-0 flammability rating

Withstand Rating 

L60030C: 200kA

(SCCR)

 

L60030M: 10kA, 20kA or 100kA based on the 

Midget fuse used

 

LFC600: 200kA

Approvals

 

L600M:  UL Recognized (File: E14721) 

 

 

CSA Certified (File: LR7316)

 

L600C:   UL Listed (File: E14721) 

 

 

CSA Certified (File: LR7316)

 

LFC: 

UL Listed (File: E14721) 

 

 

CSA Certified (File: LR7316)

 

L600CM:  UL Recognized (File: E14721) 

 

 

CSA Certified (File: LR7316)

Environmental

 

RoHS Compliant, Lead (Pb) Free

Recommended Fuses

Class CC Blocks

:   CCMR, KLDR, KLKR

Class CM Block:

      

Fuses same as CC & Midget Blocks

Class CD Blocks:

   CCMR

Midget Blocks:

      BLF, BLN, BLS, FLA, FLM, FLQ,  

                               FLU, KLK, KLKD, KLQ

Web Resources

Sample requests and technical downloads:  

littelfuse.com/fuseblocks

Ordering Information 

(L600C Class CC and L600M Midget 30 A)

AMP

 

RA

TING

POLES

CLASS CC ORDERING NUMBER

MIDGET ORDERING NUMBER

CONNECTOR 

TYPE

TORQUE

WIRE 

RANGE

WIRE TYPE

BASE 

TEMP

COVER 

ORDERING

NUMBER

NON-DIN*

DINR

NON-DIN*

DINR

30

1

L60030C1C

L60030C1CDINR

L60030M1C

L60030M1CDINR

Box Lug

4.0 N-m 

(35 in-lbs)

6-14 AWG

CU O

nl

y

Solid / Stranded

125˚C

SPL001

2

L60030C2C

L60030C2CDINR

L60030M2C

L60030M2CDINR

3

L60030C3C

L60030C3CDINR

L60030M3C

L60030M3CDINR

30

1

L60030C1PQ

L60030C1PQDINR

L60030M1PQ

L60030M1PQDINR

Pres sure  Plate

w/Q.C. Terminal

2.3 N-m 

(20 in-lbs)

10-14 AWG

125˚C

SPL001

2

L60030C2PQ

L60030C2PQDINR

L60030M2PQ

L60030M2PQDINR

3

L60030C3PQ

L60030C3PQDINR

L60030M3PQ

L60030M3PQDINR

30

1

L60030C1SQ

L60030C1SQDINR

L60030M1SQ

L60030M1SQDINR

Screw

w/Q.C. Terminal

2.3 N-m 

(20 in-lbs)

10-14 AWG

125˚C

SPL001

2

L60030C2SQ

L60030C2SQDINR

L60030M2SQ

L60030M2SQDINR

3

L60030C3SQ

L60030C3SQDINR

L60030M3SQ

L60030M3SQDINR

POWRGARD-Electrical-Product-Catalog-html.html
background image

108

© 2018 Littelfuse POWR-GARD

®

 Products Catalog

littelfuse.com

Blocks and Holders

Fuse Bloc

ks and Holders

6

LF SERIES CLASS CC/CD AND MIDGET (10X38 mm) FUSE BLOCKS

Dimensions mm (inches)

35.56

[1.400]

84.97

[3.345]

76.20

[3.000]

19.05

[0.750]

35.56

[1.400]

84.97

[3.345]

76.20

[3.000]

38.10

[1.500]

59.94 [2.360]

76.20 [3.000]

35.56 [1.400]

84.56 [3.329]
(2) PLACES

UNLATCHED

1.89"

[48.0]

3.35"

[85.09]

3.35"

[85.09]

3.35"

[85.09]

1.01"

[25.65]

1 POLE

2 POLE

3 POLE

ADDER

0.783"

[19.89]

3.0"

[76.2]

1.533"

[38.15]

2.283"

[57.15]

1.25"

[31.75]

1 POLE

2 POLE

3 POLE

3.12"

[79.25]

1.01"

[25.65]

1.01"

[25.65]

2.12"

[53.85]

3.0"

[76.2]

3.0"

[76.2]

3.35"

[85.09]

1.89"

[48.0]

3.35"

[85.09]

3.35"

[85.09]

3.35"

[85.09]

1.01"

[25.65]

1 POLE

2 POLE

3 POLE

ADDER

0.783"

[19.89]

3.0"

[76.2]

1.533"

[38.15]

2.283"

[57.15]

1.25"

[31.75]

1 POLE

2 POLE

3 POLE

3.12"

[79.25]

1.01"

[25.65]

1.01"

[25.65]

2.12"

[53.85]

3.0"

[76.2]

3.0"

[76.2]

3.35"

[85.09]

Ordering Information 

(LFC Class CD 60 A)

AMP 

RATING POLES

ORDERING 

NUMBER

CONNECTOR 

TYPE

TORQUE

WIRE  

RANGE

WIRE TYPE

BASE TEMP 

RATING

DIN RAIL

MOUNT INDICATION

COVER 

ORDERING 

NUMBER

60

1

LFC600601CID

Box Lug

5.6 N-m (50 in-lbs)

2-4 AWG

CU-AL

Solid / 

Stranded

125˚C

LFC60060FBC

2

LFC600602CID

2.8 N-m (25 in-lbs)

6-14 AWG

3

LFC600603CID

*  Gangable   –   

 

Covers sold individually. One cover needed for each pole.

L600M-DINR Midget and L600C-DINR Class CC 30 A

L600M Midget, L600C Class CC and L600CM Combination 30 A

POWRGARD-Electrical-Product-Catalog-html.html
background image

109

littelfuse.com 

© 2018 Littelfuse POWR-GARD

®

 Products Catalog

Blocks and Holders

Fuse Bloc

ks and Holders

6

LF SERIES CLASS CC/CD AND MIDGET (10X38 mm) FUSE BLOCKS

Dimensions mm (inches)

29.2 [1.15]

94.1 [3.70]

55.9 [2.20]

82.6 [3.25]

49.5 [1.95]

LFC CLASS CD 60 A

POWRGARD-Electrical-Product-Catalog-html.html
background image

110

© 2018 Littelfuse POWR-GARD

®

 Products Catalog

littelfuse.com

Blocks and Holders

Fuse Bloc

ks and Holders

6

BOARD MOUNT MIDGET (10X38 mm) FUSE HOLDER

600 V

1.47 (.058)

(18 PLACES)

2.54 (.100)

2.54 (.100)

 41.61 

(1.638)

 29.57 

(1.164)

 22.86 (.900)

 6.02 (.237)

SPL001PCB Cover

29.57 [1.164]

1.47 [.058]

(18 PLACES)

2.54 [.100]

41.61 [1.638]

22.86 [.900]

6.02 [.237]

2.54 [.100]

46.99 (1.850)

3

600 V 30 A 

100,000 A RMS SYM.

L60030M3PCB

3.15 (1.305)

36.97

(1.455)

Description

The PC board-mounted midget fuse holder is a one-piece 
holder designed to provide a more robust and secure  
solution. It offers a smaller footprint and flexible  
mounting options. 
 
For use with Midget-style fuses and fuse covers, it is  
UL Recognized and can be covered for additional protection.

Features/Benefits

•  Through hole PCB mounting
•  Robust and secure block design
•  All-in-one package offers easy installation
•  Space saving footprint
•  Touch Safe cover/puller available
•  3-pole configurations

Applications

•  HVAC market
•  Industrial manufacturing
•  Mass production facilities

Specifications

Voltage Rating 

 

600 Vac/dc

Amperage Rating

 

30 A

Approval

 

UL Recognized (File: E14721)

Mounting Method

 

Through hole solder/PCB

Ordering  Information  

Recommended Fuses

Midget (10 x 38 mm) series  .............................................. 30

Web Resources 

Download CAD drawings and other technical information: 

littelfuse.com/fuseblocks

Dimensions 

mm (inches)

Dimensions 

mm (inches)

CATALOG NUMBER

ORDERING NUMBER

Block

L60030M3PCB

L60030M3PCB

Cover*

SPL001PCB

SPL0001PCBT

* Covers are single pole—need to order a quantity of 3 for each block.

POWRGARD-Electrical-Product-Catalog-html.html
background image

111

littelfuse.com 

© 2018 Littelfuse POWR-GARD

®

 Products Catalog

Blocks and Holders

Fuse Bloc

ks and Holders

6

CLASS CC AND MIDGET FUSE BLOCK ACCESSORIES

FBDIN1 Rail Adapter

1.22"

0.665"

3.0"

SPL001 Cover Puller

Features/Benefits

•  600 V  

1

10

-30 A Class CC and Midget fuse cover puller  

that offers increased protection when removing fuses

•  Simple removal without the need for a separate puller 
•  Meets Dead Front requirements 
•  Easily gangable with 

1

8

" diameter wire

•  For use with all 600 V Class CC and Midget 

1

10

-30 A fuses

•  Label provided for easy fuse identification

Features/Benefits

•  DIN Rail adaptor for 30 A Midget, Class CC and  

Class G fuse blocks

•  Patented design with no tools necessary for installation
•  Permits snap-mounting of 30 A Midget, Class CC and 

Class G fuse blocks to standard and low profile 35 mm 
symmetrical DIN rails and 32 mm asymmetrical DIN rails 

•  Easy removal via disconnect tab

Web Resources

 

For additional technical information visit:  

littelfuse.com/fbdin1

Dimensions Inches

Recommended Fuse Blocks

L60030C  .......................................................................... 107 
L60030M  ......................................................................... 107

Web Resources

  

For additional technical information visit:  

littelfuse.com/spl001

Dimensions Inches

Recommended Fuse Blocks

Midget-Style and Class CC  ..............................................107 

Class G  ............................................................................105

New DIN rail mountable fuse holders available on page 107

POWRGARD-Electrical-Product-Catalog-html.html
background image

112

© 2018 Littelfuse POWR-GARD

®

 Products Catalog

littelfuse.com

Blocks and Holders

Fuse Bloc

ks and Holders

6

LF SERIES FUSE BLOCK COVERS

Description 

Littelfuse fuse block covers protect personnel from 
accidentally coming into contact with energized 
parts. Covers are for use with Littelfuse LF Series UL 
class fuse blocks. 
Contact the Littelfuse Tech-Line (800-TEC-FUSE) for block 
and cover compatibility questions.

Ordering Information

Specifications

Connection

 

Snap to fuse body   

Material

 

Black thermoplastic   

Flammability Rating

 

UL94 V-0   

Approvals

 

UL Listed (File: E184929) 

 

CSA Certified 

 

(File: 007316_0_000 Class 6225-01) 

Features/Benefits

•  Added safety to personnel
•  Ventilation helps avoid fuse derating
•  Reusable and convenient snap-on design
•  UL listed and CSA certified
•  Available for Class H/R, Class J, Class T and Class CD
•  Allows visibility of LF series fuse block indicator

Web Resources

For dimensions, cad drawings and additional technical 
information visit: 

littelfuse.com/fuseblocks

UL CLASS

FUSE BLOCK BASE 

PART NUMBER*

VOLTAGE

AMPERAGE

COVER ORDERING NUMBER 

Class H/R

LFH25030 / LFR25030

250

30

LFH25030FBC

Class H/R

LFH25060 / LFR25030

250

60

LFH25060FBC

Class H/R

LFH25100 / LFR25100

250

100

LFH25100FBC

Class H/R

LFH60030 / LFR60030

600

30

LFH60030FBC

Class H/R

LFH60060 / LFR60060

600

60

LFH60060FBC

Class H/R

LFH60100 / LFR60100

600

100

LFH60100FBC

Class J

LFJ60030

600

30

LFJ60030FBC

Class J

LFJ60060

600

60

LFJ60060FBC

Class J

LFJ60100

600

100

LFJ60100FBC

Class T

LFT30030

300

30

LFT30030FBC

Class T

LFT30060

300

60

LFT30060FBC

Class T

LFT30100

300

100

LFT30100FBC

Class T

LFT60030

600

30

LFT60030FBC

Class T

LFT60060

600

60

LFT60060FBC

Class T

LFT60100

600

100

LT60100FBC

Class T

LFT60200

600

200

LT60200FBC

Class T

LFT60400

600

400

LT60400FBC

Class T

LFT60600

600

600

LT60600FBC

Class CD

LFC60060

600

60

LFC60060FBC

Class CC

L60030C

600

30

SPL001

* Part number shown excludes reference to number of poles and terminal type 

† Cover is not compatible with 70-100 A JLS series fuses

POWRGARD-Electrical-Product-Catalog-html.html
background image

113

littelfuse.com 

© 2018 Littelfuse POWR-GARD

®

 Products Catalog

Blocks and Holders

Fuse Bloc

ks and Holders

6

LPXV TOUCH-SAFE FUSE HOLDERS

1500 V • 30 A

Specifications

Voltage Ratings 

 

1500 Vdc

Amperage Rating

 

30 A

SCCR Rating

 

15 kA

Fuse Type

 10x85mm

Material

 Thermoplastic

Operating Temperature

 

    -40°C to +125°C

Flammability Rating

 

UL94 V-0

Temperature Stability

 

Body: 125˚ C 

 

Carrier: 140˚ C 

Approvals

 

UL 4248-18 Listed (File: E345481) 

 

IEC 60269-1 & IEC 60269-2 

Environmental

 

RoHS compliant, Lead (Pb) free

Ordering Information

Description

The Littelfuse LPXV fuse holder is designed to hold  
1500 V 10x85mm fuses.

Features/Benefits

•  Finger-Safe design offers personnel protection 
•  No fuse pullers or tools required for fuse removal
•  35 mm DIN Rail Mountable 
•  Compact design

Recommended Fuses

Littelfuse SPXV 1500 V Fuses ............................................ 58 
                   

Web Resources

Download the complete datasheet and other technical 
documents: 

Littelfuse.com/

lpxv 

SERIES VOLTAGE 

(Vdc)

POLES

CATALOG  

NUMBER

ORDERING  

NUMBER

PACK  

QTY

TERMINAL INFORMATION

TERMINAL  

TYPE

WIRE TYPE

NUMBER  

OF WIRES

WIRE SIZE

TORQUE

LPXV

1500

1

LPXV001

LPXV0001Z

5

Box Lug

90˚ Max 

CU Only 

Stranded

1

6-4 AWG 

(16-25 mm

2

)

22-26 lb-in 

(2.5-3 N-m)

1

18-8 AWG 

(.75-10 mm

2

)

18-22 lb-in 

(2-2.5 N-m)

2*

18-6 AWG 

(.75-16 mm

2

)

18-22 lb-in 

(2-2.5 N-m)

*Must be the same cross-sectioned size

5.1

(130.0)

.88

(22.3)

2.54

(64.5)

4.11

(104.5)

2.28

(58.0)

1.89

(48.0)

1.57

(40.0)

Look for this logo to indicate products that are used in solar applications. Visit our website 

littelfuse.com/solar

 for the latest updates on approvals, certifications, and new products.

Dimensions Inches (mm)

POWRGARD-Electrical-Product-Catalog-html.html
background image

114

© 2018 Littelfuse POWR-GARD

®

 Products Catalog

littelfuse.com

Blocks and Holders

Fuse Bloc

ks and Holders

6

LFPXV TOUCH-SAFE FUSE HOLDERS

1500 V • 30 A

Ordering Information

Description

The Littelfuse LFPXV fuse holder is designed to hold  
1500 V 10x85mm fuses.

Features/Benefits

•  Finger-Safe design offers personnel protection 
•  No fuse pullers or tools required for fuse removal
•  35 mm DIN Rail Mountable 
•  Evaluated for use with copper alloy busbars
•  Compact design

Recommended Fuses

Littelfuse SPXV 1500 V Fuses ...........................................58 

SERIES VOLTAGE 

(Vdc)

POLES

CATALOG  

NUMBER

ORDERING  

NUMBER

PACK  

QTY

TERMINAL INFORMATION

TERMINAL  

TYPE

NUMBER  

OF WIRES

WIRE SIZE

TORQUE

LFPXV

1500

1

LFPXV001

LFPXV0001Z

20

Box Lug

1

4-14 AWG 

(25-2.5 mm

2

)

24-28 lb-in 

(2.71-3.16 N-m)

1

16-18 AWG 

(1.5-0.75 mm

2

)

18-22 lb-in 

(2.03-2.49 N-m)

2*

6-14 AWG 

(16-2.5 mm

2

)

26-30 lb-in 

(2.94-3.69 N-m)

2*

16-18 AWG 

(1.5-0.75 mm

2

)

20-24 lb-in 

(2.26-2.71 N-m)

*Must be the same cross-sectioned size

Look for this logo to indicate products that are used in solar applications. Visit our website 

littelfuse.com/solar

 for the latest updates on approvals, certifications, and new products.

WIRE TYPE

75

˚

C or 90

˚

CU Only 

Stranded

UL Class B and Class C wire

AlphaWire PV series Photovoltaic Wire

IEC Class 5 Flexible Wire

Specifications

Voltage Ratings 

 

1500 Vdc

Amperage Rating

 

30 A

SCCR Rating

 

50 kA

Fuse Type

 10x85mm

Material

 Thermoplastic

 

Fuse Clip: Silver plated copper alloy

 

Screws: Zinc plated steel

Operating Temperature

 -55˚C to +125˚C

Flammability Rating

 

UL94 V-0

Temperature Stability

 

Carrier: 130˚C 

Approvals

 

UL 4248-19 Listed (Pending) 

 

IEC 60269-6 

Environmental

 

RoHS compliant, Lead (Pb) free

Web Resources

Download the complete datasheet and other technical 
documents: 

Littelfuse.com/

lfpxv 

BUSBAR SPECIFICATIONS

TERMINAL

THICKNESS

WIDTH

TORQUE

Maximum

0.188 in 

(4.78 mm)

0.290 in 

(7.37 mm)

24-28 lb-in 

(2.71-3.16 N-m)

Minimum

0.125 in 

(3.18 mm)

0.200 in 

(5.08 mm)

POWRGARD-Electrical-Product-Catalog-html.html
background image

115

littelfuse.com 

© 2018 Littelfuse POWR-GARD

®

 Products Catalog

Blocks and Holders

Fuse Bloc

ks and Holders

6

Specifications

Voltage Ratings

 

 

1000 Vdc

Ampere Ratings

 

 

200, 400, 450 A

Flammability Rating

   

UL94 V-0

Termination Type

 

 

Box Lug or Stud Mount

Base Temp Rating

 

 

130˚ C

Approvals

 

 

UL 4248-18 Listed 

 

 

File: E345481 Vol. 1

Environmental

 

 

RoHS Compliant

Recommended Fuses

SPFJ Solar Series .............................................................. 63

Web Resources

Download CAD drawings, dimensions and other technical 
information: 

littelfuse.com/LFJ1000

Clip-to-Box

Stud-to-Stud

Clip-to-Stud

Description

The LFJ1000 series fuse block is specifically designed 
for the Littelfuse SPFJ 1000 V Solar Fuse.  It meets UL 
electrical requirements, is available in multiple amperages, 
and comes in a variety of fuse mounting and termination 
configurations; fuse clip to box lug, fuse stud to wire stud 
and fuse clip to wire stud.

Features/Benefits

•  Narrow width increases space savings

•  Range of amperages to match all SPFJ fuse options

•  Box Lug termination style accommodates a wide  

range of cable sizes

•  Stud-mounted option increases convenience

•  Approval for use with copper or aluminum lugs  

allowing for design flexibility

Ordering Information  

(Clip-to-Box Lug 1000 V)

AMPERAGE ORDERING  

NUMBER

INTERRUPT 

RATING

WIRE RANGE

STANDARD (METRIC)

 WIRE TYPE

RECOMMENDED  

TORQUE

200

LFJ102001C

20 kA

250 kcmil - #6  (127mm

2

 - 16mm

2

)

Cu/Al

Solid/

Stranded

275 in-lb (31.1 N-m)

400

LFJ104001C

10 kA

350 kcmil - 1/0  (177mm

2

 - 55mm

2

)

275 in-lb (31.1 N-m)

450

LFJ104501C

20 kA

500 kcmil - #4  (253mm

- 25mm

2

)

375 in-lb (42.4 N-m)

LFJ1000 SERIES SOLAR FUSE BLOCKS

1000 Vdc • Clip-to-Box • Stud-to-Stud • Clip-to-Stud

(Stud-to-Stud 1000 V)

AMPERAGE ORDERING 

NUMBER

INTERRUPT 

RATING

RECOMMENDED TORQUE

MAX. BUSBAR 

THICKNESS

RECOMMENDED BASE TORQUE

FUSE

TERMINAL

BOLT SIZE

TORQUE

200

LFJ102001STST

20 kA

65 in-lb (7.3 N-m)

200 in-lb (22.6 N-m)

.774” (19.66 mm)

1/4” 

5/16”

30-40 in-lb 

40-50 in-lb

400

LFJ104001STST

10 kA

170 in-lb (19.2 N-m)

200 in-lb (22.6 N-m)

.555” (14.10 mm)

450

LFJ104501STST

20 kA

300 in-lb (33.9 N-m)

300 in-lb (33.9 N-m) 

.570” (14.18 mm)

(Clip-to-Stud 1000 V)

AMPERAGE ORDERING 

NUMBER

INTERRUPT 

RATING

RECOMMENDED TORQUE

MAX. BUSBAR 

THICKNESS

RECOMMENDED BASE TORQUE

TERMINAL

BOLT SIZE

TORQUE

200

LFJ102001CST

20 kA

200 in-lb (22.6 N-m)

.774” (19.66 mm)

1/4” 

5/16”

30-40 in-lb 

40-50 in-lb

400

LFJ104001CST

10 kA

200 in-lb (22.6 N-m)

.555” (14.10 mm)

450

LFJ104501CST

20 kA

300 in-lb (33.9 N-m)

.570” (14.18 mm)

POWRGARD-Electrical-Product-Catalog-html.html
background image

116

© 2018 Littelfuse POWR-GARD

®

 Products Catalog

littelfuse.com

Blocks and Holders

Fuse Bloc

ks and Holders

6

LF SERIES SOLAR FUSE BLOCKS

1000 Vdc

Look for this logo to indicate products that are used in solar applications. Visit our website 

littelfuse.com/solar

 for the latest updates on approvals, certifications, and new products.

Clip-to-Box

200 A

200 A

200 A

400 A

400 A

400 A

450 A

450 A

450 A

Stud-to-Stud

Clip-to-Stud

84.4

(3.32)

76.2

(3.00)

57.2

(2.25)

19.1

(0.75)

108.0

(4.25)

146.1

(5.75)

254.0

(10.0)

15.9

(0.63)

[

]

ø8.6 THRU

ø19.1 11.2

ø0.34 THRU

ø0.75   0.44

15.88

(0.63)

110.58

(4.35)

101.60

(4.00)

76.20

(3.00)

25.40

(1.00)

123.83

(4.88)

174.63

(6.88)

298.45

(11.75)

[

]

ø7.1 THRU

ø14.2 x 11.2

ø0.28 THRU

ø0.56 x 0.44 

72.4

(2.85)

69.9

(2.75)

50.8

(2.00)

19.1

(0.75)

77.9

(3.07)

155.7

(6.13)

15.9

(0.63)

[

]

ø8.64 THRU

ø19.1 10.2

ø0.34 THRU

ø0.75   0.40

Dimensions mm (inches)

20.88

(.822)

105.41

(4.150)

87.33

(3.438)

87.33

(3.438)

111.13

(4.375)

195.53

(7.698)

79.76

(3.140)

34.14

(1.344)

74.93

(2.950)

50.00

(1.969)

231.70

(9.122)

22.10

(.870)

8.64 THRU

19.05  10.16

0.34 THRU

0.75   0.40

[

]

7/16-14 UNC-2A

1/4-20 UNC-2A

16.13

(.635)

40.79

(1.606)

135.80

(5.347) 108.41

(4.268)

152.40

(6.000)

1/2-13 UNC-2A

254.91

(10.036)

99.61

(3.922)

309.70

(12.193)

30.17

(1.188)

51.11

(2.012)

101.160

(4.000)

81.28

(3.200)

16.13

(.635)

8.61

(.339)

29.49

(1.161)

8.61

(.339)

33.02

(1.300)

8.64 THRU

19.05  10.16

0.34 THRU

0.75   0.40

[

]

33.02

(1.30)

29.49

(1.161)

TYP

120.17

(4.731)

133.35

(5.250)

230.94

(9.092)

90.08

(3.547)

278.43

(10.962)

76.20

(3.000)

96.42

(3.796)

8.61

(.339)

8.61

(.339)

8.64 THRU

19.05  10.16

0.34 THRU

0.75   0.40

[

]

7/16-14 UNC-2A

3/8-16 UNC-2A

28.57

(1.125)

46.36

(1.825)

74.93

(2.950)

16.13

(.635)

[                 ]

ø8.6 THRU

ø19.1  10.2

ø.34 THRU

ø.75   0.40

110.8

(4.36)

101.6

(4.00)

135.8

(5.35)

34.3

(1.35)

309.7

(12.19)

173.9

(6.85) 165.3

(6.51) 144.4

(5.69)

67.3

(2.65)

29.5

(1.16)

33.0

(1.30)

51.1

(2.01)

16.1

(.64)

84.6

(3.33)

76.2

(3.00)

29.5

(1.16)

33.0

(1.30)

21.6

(.85)

120.2

(4.73)

128.8

(5.07)

149.7

(5.89)

158.3

(6.23)

278.4

(10.96)

54.6

(2.15)

46.4

(1.83)

16.1

(.64)

[                 ]

ø8.6 THRU

ø19.1  10.2

ø.34 THRU

ø.75   0.40

[                 ]

ø8.6 THRU

ø19.1  10.2

ø.34 THRU

ø.75   0.40

16.1

(.64)

74.9

(2.95)

14.0

(.55)

105.4

(4.15)

126.3

(4.97)

231.7

(9.12)

36.0

(1.42) 50.0

(1.97)

22.1

(.87)

20.9

(.82)

40.8

(1.61)

POWRGARD-Electrical-Product-Catalog-html.html
background image

117

littelfuse.com 

© 2018 Littelfuse POWR-GARD

®

 Products Catalog

Blocks and Holders

Fuse Bloc

ks and Holders

6

Description

The Littelfuse LPHV fuse holder is designed to house  
1000 V fuses.  It is not designed for load break but is ideal 
for isolating photovoltaic module strings for maintenance 
and meets UL requirements for 1000 V solar fuse protection

Features/Benefits

•  Touch-safe design offers protection when replacing fuses
•  Compact design
•  35 mm DIN Rail Mountable 
•  Available in 1-, 2-, 3- and 4-pole configurations 
•  No fuse pullers or tools required for fuse removal

Multi-Pole Assembly Kit

Kits are used to create multi-pole holders from 1-pole LPHV 
fuse holders. Please contact factory for more information

Dimensions Inches (mm)

Ordering Information

Specifications

Voltage Rating 

 

1000 VDC

Amperage Rating

 

30 A

SCCR Rating

 

20 kA

Power Dissipation

 

4 W Maximum

Fuse Type

 

10 X 38 mm up to 1000 VDC

Housing Material

 Thermoplastic

Terminal Screws             

 

 Zinc Plated Steel, Phillips/Slotted Head

Pressure Plate                  

 

Nickel Plated Steel

Fuse Clip Material:    

 

Silver Plated Copper Alloy

Operating Temperature

 

-55°C to +125°C

Flammability Rating

 

UL94 V-0

Approval

 

Self-certified 1000 VDC 

 

IEC 60269-2, -4, -6 

Environmental

 

RoHS compliant, Lead (Pb) Free

 

Web Resources 

Sample requests, downloadable CAD drawings and other 
technical information: 

Littelfuse.com/lphv 

 

More information about solar applications:  

Littelfuse.com/solar 
 

Recommended Fuses

Look for this logo to indicate products that are used in solar applications. Visit our website 

Littelfuse.com/solar

 for the latest updates on approvals, certifications, and new products.

SERIES POLES

CATALOG  

NUMBER

ORDERING  

NUMBER

TERMINAL  

TYPE

WIRE  

TYPE

WIRE  

RANGE

TERMINAL 

TORQUE

ROHS

LPHV

1

LPHV001

LPHV0001Z

Pressure Plate

75˚ C or 90˚ C 

CU Only

Stranded / 

[Solid]

#8-14 AWG (2-10 mm

2

) /  

[#10-14 AWG (2-6 mm

2

)]

17.7 in-lbs 

(2 N-m)

LPHV

2

LPHV002

LPHV0002Z

LPHV

3

LPHV003

LPHV0003Z

LPHV

4

LPHV004

LPHV0004Z

ORDERING NUMBER

DESCRIPTION

CYHP001

20 Connector Pincers & 10 handle Pins

CYHP002

Connector Pincer Only

CYHP003

Handle Pin Only

LPHV POWR-SAFE FUSE HOLDERS

1000 VDC

2.33

(59.18)

1.40

(35.56)

2.1

(53.34)

2.8

(71.12)

0.7

(17.78)

3.06

(77.72)

1.67

(42.42)

0.5

(12.7)

10x38 mm 1000 VDC Fuses 
SPF 1000 V Series ............................................................. 62 
FLU 1000 V Series ............................................................. 31

POWRGARD-Electrical-Product-Catalog-html.html
background image

118

© 2018 Littelfuse POWR-GARD

®

 Products Catalog

littelfuse.com

Blocks and Holders

Fuse Bloc

ks and Holders

6

Features/Benefits

•  Indicating and non-indicating options available
•  1-, 2-, 3- and 4-pole configurations
•  Easy installation and fuse removal with no additional  

pullers or tools required

•  35 mm DIN Rail Mountable 
•  Ventilated design for cooler operation

Specifications

Voltage Rating

 

600 Vac/dc

Ampere Rating

 

30 A

Interrupting Rating

 

200 kA (Class CC)

 

100 kA (Midget)

Terminal Type

 

Pressure plate

Suggested Torque

 

17.7 in–lbs

Wire Range

 

#8–#14 CU

Material

 Thermoplastic

Flammability Rating

  UL94 V-0

Approvals

 

UL Listed (LPSC File: E14721)

 

UL Recognized (LPSM File: E14721)

 

CSA Certified (LPSC/LPSM File: LR7316)

Environmental

 

RoHS compliant, Lead (Pb) Free

Ordering Information

INDICATING

NON-INDICATING

FUSE TYPE POLES

CATALOG 

NUMBER

ORDERING 

NUMBER

CATALOG 

NUMBER

ORDERING 

NUMBER

LPSC001ID LPSC0001ZXID LPSC001

LPSC0001Z

Class CC

1

LPSC002ID LPSC0002ZXID LPSC002

LPSC0002Z

Class CC

2

LPSC003ID LPSC0003ZXID LPSC003

LPSC0003Z

Class CC

3

LPSC004ID LPSC0004ZXID LPSC004

LPSC0004Z

Class CC

4

LPSM001ID LPSM0001ZXID LPSM001

LPSM0001Z

Midget

1

LPSM002ID LPSM0002ZXID LPSM002

LPSM0002Z

Midget

2

LPSM003ID LPSM0003ZXID LPSM003

LPSM0003Z

Midget 

3

LPSM004ID LPSM0004ZXID LPSM004

LPSM0004Z

Midget

4

Web Resources

Download CAD drawings and other technical information: 
l

ittelfuse.com/lpsc 

littelfuse.com/lpsm

Recommended Fuses

Class CC ............................................................................ 27 
Midget-Style (10 x 38 mm) ................................................ 30

Description

Littelfuse POWR-SAFE Dead Front holders provide optimum 
protection to personnel for Class CC and Midget-Style fuses.

Dimensions Inches (mm)

2.33

(59.18)

1.40

(35.56)

2.1

(53.34)

2.8

(71.12)

0.7

(17.78)

3.06

(77.72)

1.67

(42.42)

0.5

(12.7)

1-pole

2-pole

3-pole

2.33

(59.18)

1.40

(35.56)

2.1

(53.34)

2.8

(71.12)

0.7

(17.78)

3.06

(77.72)

1.67

(42.42)

0.5

(12.7)

4-pole

LPSC / LPSM POWR-SAFE FUSE HOLDERS

600 V

2-Pole Assembly Kit

 

Ordering No. CYHP0001Z-KIT

 

(Kit contains 20 connector pincers & 10 handle pins.)

POWRGARD-Electrical-Product-Catalog-html.html
background image

119

littelfuse.com 

© 2018 Littelfuse POWR-GARD

®

 Products Catalog

Blocks and Holders

Fuse Bloc

ks and Holders

6

Specifications

Voltage Ratings

 

600 Vac/dc

Interrupting Rating

 

200 kA

Ampere Rating

 

30 and 60 A

LEDs

 

110 V – 600 V

Terminal Type

 

Pressure Plate

Material

 Thermoplastic

Flammability Rating

 

UL94 V-0

Terminal Screws

 

Phillips / Slotted

Approvals 

 

UL Listed  (File: E14721) 

 

CSA Certified (File: 2529839

Environmental

 

RoHS compliant

Ordering Information

Multi-Pole Assembly Kit

Kits are used to create multi-pole holders from 1-pole LFPSJ 
fuse holders. Please contact factory for more information.

Web Resources

Download CAD drawings and other technical information: 

littelfuse.com/lfpsj

Recommended Fuses

Class J - JTD, JTD_ID, JLS ................................................ 21

30 Amp

60 Amp

LFPSJ POWR-SAFE DEAD FRONT CLASS J FUSE HOLDERS

600 V

Description

Littelfuse Class J POWR-SAFE Dead Front holders  
provide optimum protection to personnel and are  
UL Listed and CSA Certified.

Features

•  Indicating and non-indicating options available
•  IP20 degree of protection
•  Dual LED indication distinguishes polarity in  

DC power applications

•  Small compact design offers ultimate flexibility
•  35mm DIN Rail Mountable
•  1-, 2-, and 3-pole configurations
•  Easy installation and fuse removal with no  

additional pullers or tools required

Dimensions mm (inches)

Note: These dimensions are for reference only. Please contact factory for additional information.

AMP

POLES

PINCER 

QUANTITY

PIN 

QUANTITY

ASSEMBLY 

SETS

ORDERING 

NUMBER

30

2

30

10

10

LF3J2PAK

30

3

60

10

10

LF3J3PAK

60

2

30

10

10

LF6J2PAK

60

3

60

10

10

LF6J3PAK

Connector Pincer

Handle Pin

AMP

POLES

INDICATION

ORDERING 

NUMBER

PACK

QTY.

WIRE TYPE

WIRE 

RANGE

TORQUE

30

1

LFPSJ301.Z

6

St

ran

de

d

0.75mm

2

 – 1mm

1.5mm

2

 – 50mm

2

18 – 1 AWG

2.5 N-m

4.0 N-m

35 lb-in

2

LFPSJ302.Z

3

3

LFPSJ303.Z

2

30

1

LFPSJ301.ZXID

6

2

LFPSJ302.ZXID

3

3

LFPSJ303.ZXID

2

60

1

LFPSJ601.Z

6

2.5mm

2

 – 50mm

2

14 – 1 AWG

4.0 N-m

35 lb-in

2

LFPSJ602.Z

3

3

LFPSJ603.Z

2

60

1

LFPSJ601.ZXID

6

2

LFPSJ602.ZXID

3

3

LFPSJ603.ZXID

2

LFPSJ-ID

30A 600V

LFPSJ-ID

30A 600V

LFPSJ-ID

30A 600V

LFPSJ-ID

30A 600V

LFPSJ-ID

30A 600V

LFPSJ-ID

30A 600V

108.0

(4.251)

72.0

(2.835)

36.0

(1.417)

72.08

(2.838)

49.0

(1.929)

7.0

(.276)

117.0

(4.606)

86.0

(3.386)

7.0

(.276)

58.0

(2.283)

116

(4.567)

40.0

(1.575)

LFPSJ-ID

60A 600V

LFPSJ-ID

60A 600V

LFPSJ-ID

60A 600V

LFPSJ-ID

60A 600V

LFPSJ-ID

60A 600V

LFPSJ-ID

60A 600V

80.0

(3.150)

120

(4.72)

POWRGARD-Electrical-Product-Catalog-html.html
background image

120

© 2018 Littelfuse POWR-GARD

®

 Products Catalog

littelfuse.com

Blocks and Holders

Fuse Bloc

ks and Holders

6

BUS BAR SYSTEM

POWR-BAR Distribution

Ordering Information

Description

A key objective for panel designers is safe distribution 
of power to multiple fuse holders in a compact design. 
The Littelfuse UL 508 Listed bus bar system eliminates 
most wire terminations in a timesaving package. A power 
distribution block and associated conductors are no longer 
needed to feed multiple POWR-SAFE fuse holders.

Features/Benefits

•  Touch-safe design offers protection when replacing fuses
•  Compact design
•  35 mm DIN Rail Mountable 
•  Available in one and three phase configurations 
•  No fuse pullers or tools required for fuse removal
•  Can be cut down to optimal size

Recommended Fuse Holders

LPSM / LPSC (600 Vac/dc) ................................................117
LPHV (1000 Vdc) ...............................................................116

Web Resources

Download CAD drawings, dimensions and other technical 
information:

 littelfuse.com/busbar

Specifications

Voltage Ratings 

 

600 Vac/dc

 

1000 Vdc*

Current Ratings

CROSS SECTION (mm

2

)

18 mm

2

25 mm

2

END FED

80 A

100 A

CENTER FED

160 A

200 A

SCCR

 

 

10 kA, 100 kA

Conductor

 

 Copper

Pitch

 

 

17.8 mm

Approvals

 

 

UL 508 Listed (File E328654)

Environmental

 

 

RoHS Compliant, Lead (Pb) free

* 1 Phase 18 mm

2

 rated 1000 Vdc up to 160 A when center fed  

1 Phase 25 mm

2

 rated 1000 Vdc up to 200 A when center fed

†  

When protected directly upstream by Class J 175 amperes max  

(18 mm

2

 bus bar) and Class J 200 amperes max (25 mm

2

 bus bar).

Accessories

Endcaps are standard with all 3 phase configurations except 57-pole.  

Endcaps are not needed for the 1 phase configurations from the factory or  

if the copper bus is trimmed per the supplied instructions. 

Power feed lugs and protective covers are extra.

Pole Protective Covers

PART  

NUMBER

QUANTITY

CTPT5

5

Endcaps

PART  

NUMBER

PHASE QUANTITY

EDCP42

Single

50

EDCP7

Three

50

3 PHASE, 25 mm

2

LENGTH 

(mm)

ORDERING 

NUMBER

POLES

3PH6P25mm

6

104

3PH9P25mm

9

158

3PH12P25mm

12

214

3PH15P25mm

15

266

3PH57P25mm

57

1009

1 PHASE, 18 mm

2

LENGTH 

(mm)

ORDERING 

NUMBER

POLES

1PH3P18mm

3

50

1PH4P18mm

4

79

1PH6P18mm

6

104

1PH9P18mm

9

155

1PH12P18mm

12

208

1PH15P18mm

15

270

1PH57P18mm

57

1009

1 PHASE, 25 mm

2

LENGTH 

(mm)

ORDERING 

NUMBER

POLES

1PH3P25mm

3

50

1PH4P25mm

4

79

1PH6P25mm

6

104

1PH9P25mm

9

155

1PH12P25mm

12

208

1PH15P25mm

15

270

1PH57P25mm

57

1009

3 PHASE, 18 

mm

2

LENGTH 

(mm)

ORDERING 

NUMBER

POLES

3PH6P18mm

6

104

3PH9P18mm

9

158

3PH12P18mm

12

214

3PH15P18mm

15

266

3PH57P18mm

57

1009

EDCP42 

               EDCP7

BB17 

        BB18   

   BB19 

 

      BB20

Power Feed Lug

PART 

NUMBER WIRE RANGE

WIRE 

TYPE TORQUE PHASE

FUSE HOLDER

BB17

#10 - 1/0 AWG

CU

50 lb-in

Single

LPSM/LPSC/LPHV

BB18

#10 - 1/0 AWG

CU

50 lb-in

Three

LPSM/LPSC

BB19

#10 - 1/0 AWG

CU

50 lb-in

Single

LFPSM/LFPSC

BB20

#10 - 1/0 AWG

CU

50 lb-in

Three

LFPSM/LFPSC

Power Feed Lugs are 115A 1000V AC/DC rated

POWRGARD-Electrical-Product-Catalog-html.html
background image

121

littelfuse.com 

© 2018 Littelfuse POWR-GARD

®

 Products Catalog

Blocks and Holders

Fuse Bloc

ks and Holders

6

LPSM QUICK CONNECT POWR-SAFE FUSE HOLDERS   

6.20 (.244)

9.90 (.390)

6.77 (.267)

80.00 (3.15)

59.70 (2.35)

11.99 (4.72)

17.80 (.701)

Specifications

Voltage Rating 

 

600 Vac/dc

Amperage Rating

 

30 A

Approval

 

 UL Recognized (File No. E14721)  

CSA Certified (File No. LR7316)  

IEC 60269-2 

CCC Approved

Terminal Type

 

1/4” Quick Connect Terminals

Fuse Type

 

Midget (10 X 38 mm) series

Material

 Thermoplastic

Flammability Rating

  UL94 V-0 

SCCR Rating

 

Same as Fuse Rating

Ordering Information

POLES

CATALOG NUMBER

ORDERING NUMBER

1

LPSM001QCID

LPSM0001ZQCID

2

LPSM002QCID

LPSM0002ZQCID

3

LPSM003QCID

LPSM0003ZQCID

4

LPSM004QCID

LPSM0004ZQCID

2-Pole Assembly Kit

 

Ordering No. CYHP0001Z-KIT

 

(Kit contains 20 connector pincers & 10 handle pins.)

Recommended Fuses

Midget-Style (10x38mm) ................................................... 30

Web Resources

Download CAD drawings and other technical information: 

littelfuse.com/lpsmqc

Description

The LPSM midget fuse holder series is a dead front 
design providing protection to personnel when installing 
and removing fuses. The compact fuse holder mounts 
quickly onto 35 mm DIN rail, decreasing panel layout 
and assembly time. This product has two Quick Connect 
terminals on both the top and bottom of the holder, 
offering an additional connection option. It is available in 
1-, 2-, 3- and 4-pole configurations.

Features/Benefits

•  Dual 

1

4

” Quick Connect Terminals on Top and 

Bottom of Holder

•  Meets Dead Front requirements
•  Mountable on 35 mm DIN Rail
•  Local LED Indication

Dimensions mm (inches)

POWRGARD-Electrical-Product-Catalog-html.html
background image

122

© 2018 Littelfuse POWR-GARD

®

 Products Catalog

littelfuse.com

Blocks and Holders

Fuse Bloc

ks and Holders

6

354 SERIES 3AG OMNI BLOCK

®

Molded Base Type Fuse Block

X

X

.55" MAX.

45

X

X

X

X

X

X

X

X

A

.312" REF. DIA. C BORE

.06" REF. DEEP (.10 REMAINS)

1.4"

2.19" REF.

.625"

TYP.

.25"

TYP.

.146" REF.

DIA. THRU

.08" REF.

.08" REF. DIA.

.10" DIA.

.156" DIA.

.65"

.53" REF.

.06"  DIA. (2)

1.4"

1.46"

REF.

Dimensions Inches

Web Resources 

For additional technical information visit: 

littelfuse.com

Description

A low profile fuse block featuring individual barriers that 
reinforce the fuse clips while providing greater protection 
against clip damage and electrical shock. The unique design 
permits self-alignment of clips to fuse cap. This, plus a  
one-piece clip/terminal, assures low contact resistance. 

Specifications

Dielectric Strength

 

1500 V Minimum

Clip/Terminals

 

Tin-Plated Spring Brass; two different style clips  

 

can be supplied for circuit identity or polarization

Base

 

 Glass reinforced Thermoplastic:  

Gray except anit-rotation series which is black

Flammability Rating

  UL94 V-0

Ambient Temperature

 –40

˚

C to +85

˚

C

Ordering Information

CATALOG 

NUMBER TERMINALS

VOLTAGE

CURRENT RATING

UL

CSA

354 000

Solder

600VAC/VDC*

30 A

30 A

354 600

3/16” Q.C.

600VAC/VDC

20 A

20 A

354 800

1/4” Q.C.

600VAC/VDC

20 A

20 A

354 900

1/4” Q.C.

600VAC/VDC

30 A

25 A

354 101-GY

P.C. Board

600VAC/VDC

15 A

15 A

*30 A capability is based on temperature rise with #10 AWG wire properly soldered.

Technical Information

SOLDER TYPE TERMINALS

3/16” Q.C. 

TERMINALS

1/4” Q.C.  

TERMINALS

1/4” Q.C.  

TERMINALS

POLES

DIM “A”

354 001GY

354 601GY

354 801GY

354 901GY

1

.50”

354 002GY

354 602GY

354 802GY

354 902GY

2

1.12”

354 003GY

354 603GY

354 803GY

354 903GY

3

1.75”

354 004 GY

354 604GY

354 804GY

354 904GY

4

2.38”

354 005GY

354 605GY

354 805GY

354 905GY

5

3.00”

354 006GY

354 606GY

354 806GY

354 906GY

6

3.63”

354 007GY

354 607GY

354 807GY

354 907GY

7

4.25”

354 008GY

354 608GY

354 808GY

354 908GY

8

4.88”

354 009GY

354 609GY

354 809GY

354 909GY

9

5.50”

354 010GY

354 610GY

354 810GY

354 910GY

10

6.13”

354 011GY

354 611GY

354 811GY

354 911GY

11

6.75”

354 012GY

354 612GY

354 812GY

354 912GY

12

7.38”

354 021BL

*

 354 621BL

*

354 821BL

*

354 921BL

*

1

.50”

354 101GY

1

.50” 

† NEMA style 

* With Anti-Rotation Boss

Recommended Fuses

3AG Cartridge ................................................................... 34 

POWRGARD-Electrical-Product-Catalog-html.html
background image

123

littelfuse.com 

© 2018 Littelfuse POWR-GARD

®

 Products Catalog

Blocks and Holders

Fuse Bloc

ks and Holders

6

Features/Benefits

•  Ergonomically designed fuse pullers designed to safely 

remove power fuses

•  Molded design offers more comfortable and natural  

grip than traditional pullers, increasing performance

Specifications

FUSE PULLERS & POWR-JAW CLIP CLAMPS

MFP • LPFP • GFP • 097023

Web Resources

For additional technical information visit:  

littelfuse.com/clipclamps

Web Resources

For additional technical information visit: 

littelfuse.com/fusepullers

Ordering Information

CATALOG 

NUMBER  

ORDERING

NUMBER

VOLTS

AMPERES

LCC1

0LCC1

250

0-30

LCC2

0LCC2

250

35-60

LCC2

0LCC2

600

0-30

LCC4

0LCC4

600

35-60

LCC5

0LCC5

250 or 600

70-100

LCC6

0LCC6

250 or 600

110-200

LCC7

0LCC7

250 or 600

225-400

LCC8

0LCC8

250 or 600

450-600

Note: POWR-JAW Clip Clamps are sold individually, not in pairs.  

A minimum of 1/8” of clearance between the fuse block barrier and fuse clip is required to 

install Clip Clamps.

TYPE OF FUSE 

PULLER

PART NUMBER

FUSE SIZE (DIAMETER)

Midget Fuse

MFP

3

16

" - 

1

2

" fuses

Pocket Fuse

LPFP

250 V fuses from 0-200 A 
600 V fuses from 0-100 A 

9

16

" - 1

19

32

" fuses

Giant Fuse

GFP

250 V fuses from 61-600 A 
600 V fuses from 61-400 A 
1

1

16

" - 2

19

32

" fuses

Tri-puller

097023

For ATO, MINI and glass fuses

Features/Benefits

•  Improve contact between fuse and clip
•  Help prevent unnecessary heat from poor contact  

due to the loss of spring force. This reduces: 

 
 

1. Nuisance fuse opening 

 

2. Premature aging of surrounding components

•  High temperature phenolic resin knob for durability
•  Wide range of coverage with simple design

GFP

097023

MFP

LPFP

LCC Series POWR-JAW

POWRGARD-Electrical-Product-Catalog-html.html
background image

124

© 2018 Littelfuse POWR-GARD

®

 Products Catalog

littelfuse.com

Blocks and Holders

Fuse Bloc

ks and Holders

6

LFFB SERIES LIMITER BLOCK / LHFB INLINE HOLDER   

LFFB

86.61 (3.410)

62.0 (2.44)

25.4 (1.0)

11.94 (0.470)

23.88 (0.940)

2x 49.14 (1.935)

2x 16.19 (0.637)

12.19 (0.480)

12.6 C’BORE X 82, (2) HOLES

2x     5.84 (0.230)

2x 13.0 (0.512)

LHFB

Dimensions mm (inches)

Recommended Fuses

CNL/CNN/CNN_E Fork Lift fuses ...................................... 64 
HAZGARD (581 series) fuse ............................................. 64

Description

The LFFB series fuse block is designed to accept bolt-down 
style limiter fuses. Applications include but are not limited to 
forklifts, golf carts and other low-voltage battery equipment.  
It is specifically designed for the HAZGARD™ fuse but can 
be used for CNN and CNL series fuses as well.

Specifications

Voltage Rating

 

150 Vac/Vdc

Ampere Rating

 

800 A

Approvals

 

UL Recognized (File: E14721) 

Construction

 Base—Thermoplastic 

 

Studs—Steel Zinc Plated

Ordering Information

CATALOG NUMBER

ORDERING NUMBER

LFFB003

LFFB0003Z

Web Resources

Sample requests and other technical information:  

littelfuse.com/lffb

Specifications

Voltage Rating 

 

 

32 V

Ampere Rating

 

 

30 A

Fuses

  

1

/

4

” x 1

1

/

4

” fuses

Wire Size

 

 

Accepts #16 to #18 gauge wire

Operating Temperature

 

-20˚ C to 80˚ C

Installation Instructions

1. Thread wire through fuse holder body 
2. Strip wire insulation per strip gauge 
3. Crimp wire to fuse clip* 
4. Pull wire through and seat fuse clip in the holder body 
5. Insert desired fuse type and rating 
6. Snap holder body together

*Recommended crimping tools: Thomas & Betts No. WT-111M

Note: Wire is not supplied with the holder.

Web Resources

Sample requests and other technical information:  

littelfuse.com/lhfb

Description

The Littelfuse LHFB waterproof in-line fuse holder is ideal  
for harsh environments. The LHFB holder features the 
voltage and ampere rating molded into the body, along with 
a wire strip gauge. It also withstands solvents and vibration.

Features/Benefits

•  Waterproof in-line fuse holder for harsh environments
•  One-piece molded thermoplastic body 
•  Bright green color offers high visibility 
•  Voltage and ampere rating molded into body

POWRGARD-Electrical-Product-Catalog-html.html
background image

125

littelfuse.com 

© 2018 Littelfuse POWR-GARD

®

 Products Catalog

Blocks and Holders

Fuse Bloc

ks and Holders

6

Ordering Information

0.86"

[21.84]

0.92"

[23.37]

0.890"

[22.6]

1.12"

[28.45]

1.310"

[33.3]

1.34"

[34.04]

2.10"

[53.34]

1.74"

[44.20]

1.312"

[33.33]

.172 DIA.

[4.37]

Load

Line

Mounting Hole

Specifications

Voltage Rating 

 

600 V

Ampere Rating

 

30 A for Class CC and Midget fuses

Dielectric Strength

 

4000 V Minimum

Terminals

 

Tin-plated brass combination solder & quick-connect

O-Rings

 

901-184 (body), 901-260 (knob) 

Molded Parts

 

Black thermoplastic

Approvals

 

UL Recognized (File: E14721)  

 

UL Recognized for branch circuit protection 

 (571OCC/RCC) 

 

 

CSA Certified (File: LR7316)

Web Resources

Additional technical information: 

littelfuse.com/571

†Fuse diameter is 13/32”

Note: Contact factory for versions with pre-assembled wire leads.

572

Specifications

Voltage Rating 

 

600 V

Ampere Rating

 

30 A for Class CC and Midget fuses

Dielectric Strength

 

4000 V Minimum

Terminals

 

Tin-plated brass combination solder & quick-connect

Molded Parts

 

Black thermoplastic

Approvals

 

UL Recognized (File: E14721)  

 

UL Recognized for branch circuit protection  

 

(5720CC/RCC) Class CC version 

 

CSA Certified (File: LR7316)

Mounting

 

Double "D" punch - Greenlee #61092 

 

(14-18 gauge panel thickness recommended)

Web Resources

Additional technical information: 

littelfuse.com/572

Description

The 572 series panel mount fuse holders are 
designed to minimize installation time. Its unique 
design incorporates a snap-mount feature that 
allows the holder to be installed without any tools 
or mounting hardware.

Description

Panel mount fuse holders are for Midget-Style 
and Class CC fuses. Class CC fuses have a 
rejection feature on one end cap, which mates 
with the rejection feature of Littelfuse Class CC 
fuses holders to prevent the installation of fuses 
with lower voltage ratings or interrupting ratings. 
Watertight version must be front panel mounted.

CATALOG/ORDERING NUMBER

BOTTOM 

TERMINAL

FUSE LENGTH 

RANGE*

FOR USE 

WITH

STANDARD

WATERTIGHT

571027 05710027L 571027P 05710027LXP

Straight

1

5

16

” – 1

3

8

Midget  

Fuses

571028 05710028L 571028P 05710028LXP

Rt. Angle

571007 05710007L 571007P 05710007LXP

Straight

1

13

32

” – 1

1

2

Midget 

 Fuses

571008 05710008L 571008P 05710008LXP

Rt. Angle

5710CC 057100CCL 5710CCP 057100CCLXP

Straight

1

1

2

Class CC  

Fuses

571RCC 05710RCCL 571RCCP 05710RCCLXP

Rt. Angle

*Fuse diameter is 13/32”

Note: Contact factory for versions with pre-assembled wire leads.

Ordering Information

CATALOG/ORDERING NUMBER

BOTTOM 

TERMINAL

FUSE LENGTH 

RANGE

FOR USE 

WITH

STANDARD

WATERTIGHT

572027 05720027L 572027P 05720027LXP

Straight

1

5

16

” – 1

3

8

Midget  

Fuses

572028 05720028L 572028P 05720028LXP

Rt. Angle

572007 05720007L 572007P 05720007LXP

Straight

1

13

32

” – 1

1

2

Midget 

 Fuses

572008 05720008L 572008P 05720008LXP

Rt. Angle

5720CC 057200CCL 5720CCP 057200CCLXP

Straight

1

1

2

Class CC  

Fuses

572RCC 05720RCCL 572RCCP 05720RCCLXP

Rt. Angle

Dimensions Inches (mm)

0.756”

1.20”

(30.5)

2.40”

2.10”

0.69”

0.913”

Load

Line

Dimensions Inches (mm)

Mounting Hole

571 & 572 SERIES PANEL-MOUNT FUSE HOLDERS   

571

POWRGARD-Electrical-Product-Catalog-html.html
background image

126

© 2018 Littelfuse POWR-GARD

®

 Products Catalog

littelfuse.com

Blocks and Holders

Fuse Bloc

ks and Holders

6

342 SERIES 3AG (

1

/

4

" X 1

1

/

4

") PANEL MOUNT FUSE HOLDERS

Traditional Panel Mount Type

Right Angle Terminal

FLUTED KNOB

KNURLED KNOB

TERMINAL

CATALOG/ORDERING  

NUMBER

CATALOG/ORDERING  

NUMBER

342004

03420004X

342022A

03420022X

Solder

342028A

03420028X

342048A

03420048X

3

/

16

” Q.C.

342828

03420828X

342848A          

03420848X 

1

/

4

” Q.C.

.7"

.11" DIA.

.090" X .12"

HOLE

1.31"

.78"

1"

.3"

.7"

1"

.4"

.020"

.032"

.502"

.510"

.45"

FLATS 

TYP.

.69"

HEX

FLATS

.475"

.480"

.085" X .12"

HOLE

.78"

1"

.7"

1"

.020"

.78"

1"

.032"

.63"

.14" DIA. HOLE

.502"

.510"

.187"

.475"

.480"

.69"

DIA.

.69"

HEX

FLATS

.250"

.69"

DIA.

TYP.

.56"

.69" DIA.

.59"

DETENT

.06" DIA.HOLE

.45"

FLATS

TYP.

.085" X .12"

HOLE

.78"

1"

.7"

1"

.020"

.78"

1"

.032"

.63"

.14" DIA. HOLE

.502"

.510"

.187"

.475"

.480"

.69"

DIA.

.69"

HEX

FLATS

.250"

.69"

DIA.

TYP.

.56"

.69" DIA.

.59"

DETENT

.06" DIA.HOLE

.45"

FLATS

TYP.

Straight Terminal

Right Angle Terminal

Right Angle 

Terminal 

Fluted Knob

Straight Terminal 

 Knurled Knob

Dimensions Inches

QPL

QPL

Dimensions  

in inches

Straight Terminal

FLUTED KNOB

KNURLED KNOB

TERMINAL

CATALOG/ORDERING 

NUMBER

CATALOG/ORDERING  

NUMBER

342014A

03420014X

342012A

03420012X

Solder

342038A

03420038X

342058A

03420058X

3

/

16

” Q.C.

342838A

03420838X

342858A

03420858X

1

/

4

” Q.C.

Specifications 

Electrical

 

Rated at 20 A for any voltage up to 250 V

Dielectric Strength

 

2400 V minimum

Mounting

 

Withstands 15 lb-in mounting torque;  

 

maximum panel thickness .187”

Molded Parts

 

Black thermoplastic (UL94 V-0)

Knob

 

Bayonet style with lettering

Terminals

 

Copper & copper alloy. Tin plated, except ¼”  

 

Quick-Connect terminals are nickel plated

Ambient Temperature

 –40

˚

C to +85

˚

C

Recommended Fuses

3AG Cartridge ................................................................... 34

Web Resources

Additional technical information available at:  

littelfuse.com/342

342 Series (Watertight Panel Mount Type)

Specifications

Electrical

 

Rated at 20 A for any voltage up to 250 V

Dielectric Strength

 

1500 V minimum

Mounting

 

Withstands 15 lb-in mounting torque;  

 

maximum panel thickness is .250”

Molded Parts

 

Black thermoset (UL94 V-0)

Knob

 

Screw type

Seal

 

O-ring provides a watertight seal on the  

 

front side of the panel per MIL-PRF-19207

Terminals

 

Copper & copper alloy. Tin plated. Solder type

Ambient Temperature

 –40

˚

C to +85

˚

C

Hardware

 

O-rings (2) and hex nut, unassembled

Ordering Information

Recommended Fuses 

3AG Cartridge ................................................................... 34

Description

Panel Mount Fuse holders for 3AG (

1

/

4

" x 1

1

/

4

") fuses. Both 

fluted and knurled knob terminal options are available.

Ordering Information

Web Resources

Additional technical information available at: 

littelfuse.com/342

CATALOG NUMBER

ORDERING NUMBER

342006A

0342006ZXA

POWRGARD-Electrical-Product-Catalog-html.html
background image

127

littelfuse.com 

© 2018 Littelfuse POWR-GARD

®

 Products Catalog

Blocks and Holders

Fuse Bloc

ks and Holders

6

345 SERIES PANEL MOUNT FUSE HOLDERS

International Shock-Safe Panel Mount Type

 Insulation  Resistance

   10,000 megaohm minimum at 500 Vdc 

Contact Resistance 

  Less than .005 ohm average at currents up to 1 A

Mounting

 

 Threaded styles withstand 15 in-lb mounting torque 

Profile panel thickness .032” min/310” max.  

Quick mount panel thickness .012” min/360” max.  

Rear mount panel thickness.012” min/260” max.

 Body  Material 

 

Black glass-filled thermoplastic (UL94 V-0)

Knob Material

 

 Grey, blue or black glass-filled thermoplastic (UL94 V-0) 

Hex Nut Material 

 

Black glass-filled thermoplastic

Knob

 

 Finger-Grip, Fuse Extractor type or Screwdriver Slot,  

Fuse Extractor type with plated copper alloy insert  

Plated copper alloy contact clips. 

 

 Spring loaded, locking mechanism provides an anti- 

tease feature and will not vibrate loose

Terminals

 

 Copper alloy, Tin-plated  

Ambient Temperature

 –40

˚

C to +85

˚

C

Hardware

 

 Threaded style fuse holders are supplied with  

a thermoplastic hex nut unassembled

 

 Quick mount style fuse holders are supplied with  

a push-on type retaining nut, black oxide finish, 

unassembled

 

 A synthetic rubber O-ring will be supplied only  

with the screwdriver slot knob when the drip-proof  

version is requested

AGENCY 

APPROVAL

FILE 

NUMBER

3AG

5 X 20 mm

2AG

UL

E75961

20 A 250 V

10 A 250 V

10 A 250 V

CSA

LR91788

20 A 250 V

10 A 250 V

10 A 250 V

VDE

116895E

10 A 250 V

10 A 250 V

 

Note: To order with a metal internal tooth lockwasher (L) and/or neoprene panel washer (N)  

and/or drip-proof synthetic rubber “O” ring with Neoprene washer (NP) [Screwdriver slot  

knob only], add the appropriate suffix (L, N, or NP) respectively.

Please refer to Technical Application Guide section for information  
on proper fuse holder de-rating.

Description

Designed to eliminate electrical 
shock as defined by IEC Standards 
60065 and 60127, these panel-
mount fuses holders offer a wide 
variety of options. This allows for 
inventory reduction and versatility.

Features/Benefits

•  Anti-tease feature eliminates 

circuit interruption when knob  
is accidentally depressed

•  Five fuse holder types  

for maximum flexibility

•  Two knob styles—  

screwdriver slot and fingergrip 

•  Drip proof option available on 

screwdriver slot knob style

•  Two terminal choices  

depending on application

Web Resources

For more informations, visit: 

littelfuse.com/shocksafe

Recommended Fuses

Ordering Information

Specifications

Glass / Electronic Fuses .................................................... 33

EXAMPLE:

(Complete Assembly with Options)

Series Number

FUSE SIZE

2

3

5

LF

RF

HS

LS

QS

8

7

4

3

2

1

L

N

NP

Lockwasher

Neoprene Washer

Drip-Proof O-Ring

with Neoprene Washer

*Options (L, N, NP) can be ordered 
  individually or in combination.

Screwdriver slot knob only.

2AG

.177” x .570”

3/16” (Right Angle)

Dual Purpose Solder/QC

3/16” (Right Angle)

NEMA QC

1/4” (Right Angle)

NEMA/DIN QC

1/4” (Straight)

NEMA/DIN QC

3/16” (Straight)

NEMA QC

3/16” (Straight)

Dual Purpose Solder/QC

Rear Mount Body

Black Fingergrip Knob

Low Profile Body

Black Fingergrip Knob

High Profile Body

Screwdriver Slot Knob

Low Profile Body

Screwdriver Slot Knob

Quick Mount Body

Screwdriver Slot Knob
Screwdriver Slot Knob

2AG–Blue Knob

3AG–Grey Knob

5 x 20 mm–Black Knob

3AG

.250” x 1.250”

5 x 20 mm

.197” X .787”

STYLE

TERMINALS

OPTIONS*

345    3   LS     7   LNP

POWRGARD-Electrical-Product-Catalog-html.html
background image

128

© 2018 Littelfuse POWR-GARD

®

 Products Catalog

littelfuse.com

Blocks and Holders

Fuse Bloc

ks and Holders

6

Description

Littelfuse LSCR Series is a comprehensive line of modular fuse 
blocks, designed to accommodate a wide range of High-Speed 
and UL Power Fuses. These LSCR Series blocks have modular 
stud type design that enables easy mounting in panel boards. 

LSCR Series blocks are CE Certified and RoHS Compliant.

Features/Benefits

•  Modular design reduces inventory requirements
•  Sold in pairs for convenience
•  Supplied with nut and belleville washer 
•  200kA short-circuit withstand rating
•  Constructed of molded phenolic (with plated steel studs) 

provide greater heat dissapation

LSCR SERIES HIGH-SPEED FUSE BLOCKS   

700 V/1000 V

Web Resources

For more information, visit:

 littelfuse.com/lscr

Specifications

Voltage Rating

 

700 V / 1000 V

Ampere Ratings

 

400A, 800A and 1200A

Withstand Rating

 200kA

Approvals

 

UL Recognized (File: E14721) 

 

cURus Recognized (E14721)

 

CSA Certified (File: 73160)

Material

 

Base:

 Molded Phenolic or Thermoplastic

 

Terminal Construction:

 Plated steel. 

Flammability Rating

 

UL94 V-0

Environmental

 

RoHS Compliant 

Country of Origin

 

LSCR0xx - China

 

LSCR1xx - USA

ELECTRICAL & MECHANICAL SPECIFICATIONS

CATALOG/ 

ORDERING 

NUMBER

AMPERE 

RATING

VOLTAGE 

RATING

TERMINAL 

(STUD)

MATERIAL

INSULATOR

TERMINAL 

(STUD) SIZE

STUD TORQUE

MOUNTING 

FASTNER SIZE

FASTENER 

TORQUE

AGENCY APPROVALS

MATERIAL

MAX. BASE 

TEMPERATURE

(in.lbs) (N-m)

(in.lbs) (N-m)

UR CURUS CSA

LSCR001

400A

700Vac/dc Plated Steel

Molded 

Phenolic

150°C (302°F) ¼-20 UNC

61

6.9

#10

20-25 2.3-2.8

LSCR002

800A

700Vac/dc Plated Steel

Molded 

Phenolic

150°C (302°F) 3/8-16 UNC 192

21.7

#10

20-25 2.3-2.8

LSCR101

400A 1000Vac/dc Steel, Zinc 

Plated

Thermoplastic 125°C (257°F) ¼-20 UNC

75

8.5

#10

25-30 2.8-3.4

LSCR102

800A 1000Vac/dc Steel, Zinc 

Plated

Thermoplastic 125°C (257°F) 3/8-16 UNC 230

26

#10

25-30 2.8-3.4

LSCR103

1200A 1000Vac/dc Steel, Zinc 

Plated

Thermoplastic 125°C (257°F)

1/2-13 UNC

300

34

¼"

25-30 2.8-3.4

POWRGARD-Electrical-Product-Catalog-html.html
background image

129

littelfuse.com 

© 2018 Littelfuse POWR-GARD

®

 Products Catalog

Blocks and Holders

Fuse Bloc

ks and Holders

6

LSCR SERIES HIGH-SPEED FUSE BLOCKS   

Dimensions mm (inches)

CHICAGO, ILLINOIS  60631

3RD ANGLE 

PROJECTION

Littelfuse

®

REVISION

DRWG NO.

TITLE

DRW

DATE

GRAMS/PIECE

FINISH GOOD WT

MATL SPEC

FINISH

UNLESS OTHERWISE SPECIFIED, DIMENSIONS ARE IN MILLIMETERS, DIMENSIONS IN

BRACKETS [  ] ARE INCHES DIMENSIONING AND DO NOT INCLUDE PLATING. TOLERANCING

TO BE INTERPRETED IN ACCORDANCE WITH ANSI Y14.5M-1994

DENOTES CRITICAL CHARACTERISTICS.

DENOTES CPK DIMENSIONS, -MINIMUM CPK VALUE
DENOTES A CHARACTERISTIC THAT PROVIDES AN INDICATION

OF PROCESS PERFORMANCE. PROCEDURE FOR MEASUREMENT

AND TRACKING TO BE DEFINED IN

LITTELFUSE INSPECTION INSTRUCTIONS.
DENOTES CP DIMENSIONS, -MINIMUM CP VALUE

MUST BE WITHIN THE DIMENSIONAL LIMITATIONS

SHOWN ON DRAWING AND INITIALLY LOCATED TO

ALLOW FOR MAXIMUM TOOL LIFE.

CPK

CP

SHEET 1 OF 1

SCALE

A

OL-LSCR101

B

myork

1/6/2015

1000V 400A FUSE HOLDER OUTLINE

NTS

REVISION

REV

DATE

DESCRIPTION

A

  5/17/16

515753GCP - RELEASE PER EM2797   MRY

LSCR101

LSCR102

CHICAGO, ILLINOIS  60631

3RD ANGLE 

PROJECTION

Littelfuse

®

REVISION

DRWG NO.

TITLE

DRW

DATE

GRAMS/PIECE

FINISH GOOD WT

MATL SPEC

FINISH

UNLESS OTHERWISE SPECIFIED, DIMENSIONS ARE IN MILLIMETERS, DIMENSIONS IN

BRACKETS [  ] ARE INCHES DIMENSIONING AND DO NOT INCLUDE PLATING. TOLERANCING

TO BE INTERPRETED IN ACCORDANCE WITH ANSI Y14.5M-1994

DENOTES CRITICAL CHARACTERISTICS.

DENOTES CPK DIMENSIONS, -MINIMUM CPK VALUE
DENOTES A CHARACTERISTIC THAT PROVIDES AN INDICATION

OF PROCESS PERFORMANCE. PROCEDURE FOR MEASUREMENT

AND TRACKING TO BE DEFINED IN

LITTELFUSE INSPECTION INSTRUCTIONS.
DENOTES CP DIMENSIONS, -MINIMUM CP VALUE

MUST BE WITHIN THE DIMENSIONAL LIMITATIONS

SHOWN ON DRAWING AND INITIALLY LOCATED TO

ALLOW FOR MAXIMUM TOOL LIFE.

CPK

CP

SHEET 1 OF 1

SCALE

A

OL-LSCR102

B

myork

9/2/2015

1000V 800A FUSE HOLDER OUTLINE

NTS

REVISION

REV

DATE

DESCRIPTION

A

   5/17/16

515753GCP - RELEASE PER EM2797   MRY

CHICAGO, ILLINOIS  60631

3RD ANGLE 

PROJECTION

Littelfuse

®

REVISION

DRWG NO.

TITLE

DRW

DATE

GRAMS/PIECE

FINISH GOOD WT

MATL SPEC

FINISH

UNLESS OTHERWISE SPECIFIED, DIMENSIONS ARE IN MILLIMETERS, DIMENSIONS IN

BRACKETS [  ] ARE INCHES DIMENSIONING AND DO NOT INCLUDE PLATING. TOLERANCING

TO BE INTERPRETED IN ACCORDANCE WITH ANSI Y14.5M-1994

DENOTES CRITICAL CHARACTERISTICS.

DENOTES CPK DIMENSIONS, -MINIMUM CPK VALUE
DENOTES A CHARACTERISTIC THAT PROVIDES AN INDICATION

OF PROCESS PERFORMANCE. PROCEDURE FOR MEASUREMENT

AND TRACKING TO BE DEFINED IN

LITTELFUSE INSPECTION INSTRUCTIONS.
DENOTES CP DIMENSIONS, -MINIMUM CP VALUE

MUST BE WITHIN THE DIMENSIONAL LIMITATIONS

SHOWN ON DRAWING AND INITIALLY LOCATED TO

ALLOW FOR MAXIMUM TOOL LIFE.

CPK

CP

SHEET 1 OF 1

SCALE

A

OL-LSCR103

B

myork

9/2/2015

1000V 1200A FUSE HOLDER OUTLINE

NTS

REVISION

REV

DATE

DESCRIPTION

A

   5/17/16

515753GCP - RELEASE PER EM2797   MRY

LSCR103

CHICAGO, ILLINOIS  60631

3RD ANGLE 

PROJECTION

A

OL-LSCR000

Littelfuse

®

REVISION

DRWG NO.

TITLE

B

DRW

DATE

GRAMS/PIECE

FINISH GOOD WT

MYORK

2/17/2015

MATL SPEC

FINISH

UNLESS OTHERWISE SPECIFIED, DIMENSIONS ARE IN MILLIMETERS, DIMENSIONS IN

BRACKETS [  ] ARE INCHES DIMENSIONING AND DO NOT INCLUDE PLATING. TOLERANCING

TO BE INTERPRETED IN ACCORDANCE WITH ANSI Y14.5M-1994

 

DENOTES CRITICAL CHARACTERISTICS.

DENOTES CPK DIMENSIONS, -MINIMUM CPK VALUE
DENOTES A CHARACTERISTIC THAT PROVIDES AN INDICATION

OF PROCESS PERFORMANCE. PROCEDURE FOR MEASUREMENT

AND TRACKING TO BE DEFINED IN

LITTELFUSE INSPECTION INSTRUCTIONS.
DENOTES CP DIMENSIONS, -MINIMUM CP VALUE

MUST BE WITHIN THE DIMENSIONAL LIMITATIONS

SHOWN ON DRAWING AND INITIALLY LOCATED TO

ALLOW FOR MAXIMUM TOOL LIFE.

CPK

CP

SHEET 1 OF 1 

SCALE

LSCR SERIES OUTLINE

NTS

REVISION

REV

DATE

DESCRIPTION

A

2/17/2015

514064GCP - RELEASE            MRY

62.87

[2.48]

33.46

[1.32]

6.35

[0.25]

17.78

[0.70]

47.63

[1.88]

33.02

[1.30]

17.78

[0.70]

53.98

[2.13]
40.64

[1.60]

25.40

[1.00]

12.70

[0.50]

25.40

[1.00]

92.25

[3.63]

60.33

[2.38]

12.70

[0.50]

1/4-20" x 1.00"

USABLE LENGTH

3/8-16" x 1.00"

USABLE LENGTH

5.15 x 7.62 SLOT

[0.203 x 0.30]

5.15 x 7.62 SLOT

[0.203 x 0.30]

PART NUMBER VOLTAGE RATING AMPERE RATING

SUGGESTED TORQUE

LSCR001

700

400A

6.8 N-m (61 IN-LBS)

LSCR002

700

800A

21.6 N-m (192 IN-LBS)

SPECIFICATIONS:

 

VOLTAGE RATING: SEE CHART

 

AMPERE RATING: SEE CHART

 

INTERRUPT RATING: 200kA AC/ 20kA DC

 

SUGGESTED TORQUE: SEE CHART

 

APPROVALS: UL RECOGNIZED (FILE NO. E14721)

                      CSA CERTIFIED (FILE NO. 73160)

DATA SHEET REVISION: 021115

LSCR001

LSCR002

6.35

[0.25]

LSCR002

LSCR001

POWRGARD-Electrical-Product-Catalog-html.html
background image

130

© 2018 Littelfuse POWR-GARD

®

 Products Catalog

littelfuse.com

Blocks and Holders

Fuse Bloc

ks and Holders

6

Specifications

Voltage Rating  

600 V 

Ampere Range 

1 – 400 A 

Approvals 

UL Recognized E14721 

Material

  

Base: 

150

˚

 C general purpose phenolic 

  

Terminal:

 Tin plated aluminum

Web Resources

Download CAD drawings and other technical information: 

littelfuse.com/1lfs

Dimensions Inches (mm)

1LFS SERIES HIGH-SPEED FUSE BLOCKS    

600V • 1-400 A

Description

Littelfuse modular style high-speed semiconductor fuse 
blocks accommodate a wide range of semiconductor fuses.  
Blocks are provided in pairs with fuse mounting hardware.

Features/Benefits

•  Modular design reduces inventory requirements
•  Sold in pairs for convenience
•  Constructed of general purpose phenolic (with tin plated 

aluminum terminations)

Ordering Information

1LFS101

CATALOG 

NUMBER

AMPERE 

RATING

WIRE RANGE

WIRE

RATING

APPROVALS

1LFS101

100 A

#2/0 - 14 CU/AL

120 in-lbs

UL Recognized

1LFS102

400 A

250MCM - #6 CU/AL

275 in-lbs

UL Recognized

FUSE SERIES

AMPERE RATINGS

L15S

70-100

L25S

35-100

L50S

35-100

L60S

35-100

KLC

1-100

1LFS101

FUSE SERIES

AMPERE RATINGS

L15S

70-400

L25S

70-200

L50S

125-200

L60S

125-200

1LFS102

Recommended Fuses

1LFS102

POWRGARD-Electrical-Product-Catalog-html.html
background image

131

littelfuse.com 

© 2018 Littelfuse POWR-GARD

®

 Products Catalog

Blocks and Holders

Fuse Bloc

ks and Holders

6

Connectors

Box lug connectors are designed for use with a single or 
multiple, solid or class B or C stranded conductor. For UL 
approved use of more than one conductor per connector 
opening, contact Littelfuse Technical Service. Manufacturers 
of cable ter minations can furnish crimp-on sleeves for fine 
stranded conductors which permit these conductors to be 
used with box lugs.

Ampere Ratings

The ampere rating per pole for power distribution blocks is  
based on the line ampacity of 75°C insulated conductors per  
NEC

®

 Table 310.16. If 60°C insulated conductors are used, 

load must not exceed the ampacity of 60°C conductors. 
Use of conductors rated in excess of 75°C is permitted (for 
example 90°C), however, load must not exceed the ampacity 
of 75°C conductors.

Specifications

Voltage Rating

 

600 V

Current Rating

 

Based on NEC Table 310.16, using 75°C copper wire

SCCR

 

Consult Factory

Material

 

Phenolic rated at 150°C and Thermoplastic  

 

rated at 125°C (LD1400 and LS1300 series only)

Connector

 

Aluminum: Highly con duc tive aluminum, tin plated

 

Copper: Highly conductive copper, tin plated

Flammability Rating

  UL94 V-0

Approvals

 

UL Recognized - 0LD/0LS Series (File: E171395)

                         

LFD/LFS Series (File: E309688) 

 

CSA Certified -  0LD/0LS Series (File: LR700111)

                     

LFD/LFS Series (File: 007316_0_000) 

 

UL Listed - 0LD57xxxx (File: E482231)

Environmental

 

RoHS compliant, Lead (Pb) free

Ordering Information

See Selection Guide on next page

Web Resources

For dimension, CAD and 3-D drawings, visit:

 

Littelfuse.com/powrbloks

POWR-BLOKS

Distribution Blocks • Splicer Blocks • Covers

Description 

POWR-BLOKS power distribution blocks offer a safe, 
convenient way of splicing cables, providing a fixed junction 
tap-off point or splitting primary power into secondary 
circuits. Lx2xxx-DIN series offers integral DIN-Rail mount  
and an optional hinged safety cover.
Optional power distribution block covers provide protection 
against accidental shorting between poles caused by 
loose wires, tools, or other conductive material. They also 
protect personnel from accidentally contacting energized 
connectors. 

Applications

Typical applications include heating, air conditioning and 
refrigeration systems, el e va tor systems, material handling 
equipment, control panels, motor controls, switchgear,  
and anywhere power needs to be distributed to more  
than one load.

Hinged Plastic Covers

Clear Plastic Covers

POWRGARD-Electrical-Product-Catalog-html.html
background image

132

© 2018 Littelfuse POWR-GARD

®

 Products Catalog

littelfuse.com

Blocks and Holders

Fuse Bloc

ks and Holders

6

POWR-BLOKS

Distribution Block Selection Guide

Note: AL = Aluminum / CU = Copper *Covers sold separately

AMP

PER  

POLE

POLES

CONNECTOR MATERIAL

LINE CONNECTION

LOAD CONNECTION

FIGURE

CATALOG/ 

ORDERING 

NUMBER

*PLASTIC 

COVER 

ORDERING 

NUMBER

CONNECTOR 

IMAGE

OPENINGS

 

PER POLE

LUG TYPE

WIRE  

RANGE

TORQUE  

RANGE

CONNECTOR 

IMAGE

OPENINGS PER POLE

LUG TYPE

WIRE  

RANGE

TORQUE  

RANGE

115

1

AL

1

Slotted

#2 - #14

35-50 in-lbs

4

Slotted #10 - #18

7 in-lbs

10

 0LD14401Z

LPBC1441

115

2

1

Slotted

#2 - #14

35-50 in-lbs

4

Slotted #10 - #18

7 in-lbs

10

0LD14402Z

LPBC1442

115

3

1

5/32" Hex

#2 - #14

50-40 in-lbs

4 5/64" Hex #10 - #18

7 in-lbs

2

LFD14003Z

LPBC13

115

4

1

Slotted

#2 - #14

35-50 in-lbs

4

Slotted #10 - #18

7 in-lbs

10

0LD14404Z 

LPBC1444

175

1

AL

1

5/16" Hex

2/0 - #14

35-120 in-lbs

4

Slotted

#4 - #14

35 in-lbs

3

0LD25701Z

LPBC21

175

2

1

3/16" Hex

2/0 - #14

40-120 in-lbs

4

1/8" Hex #4 - #14

35 in-lbs

3

LFD25702Z

LPBC22

175

3

1

3/16" Hex

2/0 - #14

40-120 in-lbs

4

1/8" Hex #4 - #14

35 in-lbs

3

LFD25703Z

LPBC23

175

1

AL

1

3/16" Hex

2/0 - #14

35-120 in-lbs

4

1/8" Hex #4 - #14

35 in-lbs

4 0LD25701ZXDIN 0LCH1321Z

175

2

1

3/16" Hex

2/0 - #14

35-120 in-lbs

4

1/8" Hex #4 - #14

35 in-lbs

4 0LD25702ZXDIN 0LCH1322Z

175

3

1

3/16" Hex

2/0 - #14

35-120 in-lbs

4

1/8" Hex #4 - #14

35 in-lbs

4 0LD25703ZXDIN 0LCH1323Z

175 Adder

1

2/0 - #14

35-120 in-lbs

4

#4 - #14

35 in-lbs

4 0LD2570AZXDIN

-

175

1

CU

1

3/16" Hex

2/0 - #14

35-120 in-lbs

4

Slotted

#4 - #14

35 in-lbs

3

0LD29701Z

LPBC21

175

2

1

3/16" Hex

2/0 - #14

35-120 in-lbs

4

Slotted

#4 - #14

35 in-lbs

3

0LD29702Z

LPBC22

175

3

1

3/16" Hex

2/0 - #14

35-120 in-lbs

4

Slotted

#4 - #14

35 in-lbs

3

0LD29703Z

LPBC23

175

1

CU

1

3/16" Hex

2/0 - #14

35-120 in-lbs

4

Slotted

#4 - #14

35 in-lbs

4 0LD29701ZXDIN 0LCH1321Z

175

2

1

3/16" Hex

2/0 - #14

35-120 in-lbs

4

Slotted

#4 - #14

35 in-lbs

4 0LD29702ZXDIN 0LCH1322Z

175

3

1

3/16" Hex

2/0 - #14

35-120 in-lbs

4

Slotted

#4 - #14

35 in-lbs

4 0LD29703ZXDIN 0LCH1323Z

175 Adder

1

2/0 - #14

35-120 in-lbs

4

#4 - #14

35 in-lbs

4 0LD2970AZXDIN

-

175

2

AL

1

5/16" Hex

2/0 - #14

35-120 in-lbs

4

Slotted

#4 - #14

35 in-lbs

1

0LD04022Z

LPBC02

175

3

1

5/16" Hex

2/0 - #14

35-120 in-lbs

4

Slotted

#4 - #14

35 in-lbs

1

0LD04023Z

LPBC03

175

2

AL

1

5/16" Hex

2/0 - #14

35-120 in-lbs

6

Slotted

#4 - #14

35 in-lbs

1

0LD04012Z

LPBC02

175

3

1

3/16" Hex

2/0 - #14

40-120 in-lbs

6

1/8" Hex #4 - #14

35 in-lbs

1

LFD04013Z

LPBC03

175

1

AL

1

5/16" Hex

2/0 - #14

35-120 in-lbs

6

1/8" Hex #4 - #14

35 in-lbs

4 0LD25801ZXDIN 0LCH1321Z

175

2

1

5/16" Hex

2/0 - #14

35-120 in-lbs

6

1/8" Hex #4 - #14

35 in-lbs

4 0LD25802ZXDIN 0LCH1322Z

175

3

1

5/16" Hex

2/0 - #14

35-120 in-lbs

6

1/8" Hex #4 - #14

35 in-lbs

4 0LD25803ZXDIN 0LCH1323Z

175 Adder

1

5/16" Hex

2/0 - #14

35-120 in-lbs

6

1/8" Hex #4 - #14

35 in-lbs

4 0LD2580AZXDIN

-

310

3

AL

1

5/16" Hex 350kcmil - #6 40-120 in-lbs

2 3/16" Hex 2/0 - #14 35-120 in-lbs 9

0LD335543Z

0LCH1333Z

310

2

AL

1

5/16" Hex 350kcmil - #6

275 in-lbs

6

Slotted

#4 - #14

35 in-lbs

1

0LD04042Z

LPBC02

310

3

1

5/16" Hex 350kcmil - #6

275 in-lbs

6

Slotted

#4 - #14

35 in-lbs

1

0LD04043Z

LPBC03

335

1

AL

1

5/16" Hex 400kcmil - #6

275 in-lbs

4

Slotted

#2 - #14 35-50 in-lbs 5

0LD35521Z

LPBC31

335

2

1

5/16" Hex 400kcmil - #6

275 in-lbs

4

Slotted

#2 - #14 35-50 in-lbs 5

0LD35522Z

LPBC32

380

3

1

3/8" Hex 500kcmil - #6

375 in-lbs

4 5/32" Hex #2 - #14 35-50 in-lbs 5

LFD35523Z

LPBC33

335

1

AL

1

5/16" Hex 400kcmil - #6

275 in-lbs

6

Slotted

#2 - #14 35-50 in-lbs 5

0LD35531Z

LPBC31

335

2

1

5/16" Hex 400kcmil - #6

275 in-lbs

6

Slotted

#2 - #14 35-50 in-lbs 5

0LD35532Z

LPBC32

380

3

1

3/8" Hex 500kcmil - #6

375 in-lbs

6 5/32" Hex #2 - #14 40-50 in-lbs 5

LFD35533Z

LPBC33

335

1

AL

1

Slotted 400kcmil - #6

275 in-lbs

8

Slotted

#2 - #14 35-50 in-lbs 6

0LD45601Z

LPBC41

335

2

1

Slotted 400kcmil - #6

275 in-lbs

8

Slotted

#2 - #14 35-50 in-lbs 6

0LD45602Z

LPBC42

335

3

1

Slotted 400kcmil - #6

275 in-lbs

8

Slotted

#2 - #14 35-50 in-lbs 6

0LD45603Z

LPBC43

350

1

AL

2

3/16" Hex

2/0 - #14

35-120 in-lbs

6

Slotted

#4 - #14

35 in-lbs

5

0LD35551Z

LPBC31

350

2

2 3w/16" Hex 2/0 - #14

35-120 in-lbs

6

Slotted

#4 - #14

35 in-lbs

5

0LD35552Z

LPBC32

350

3

2

3/16" Hex

2/0- #14

40-120 in-lbs

6

1/8" Hex #4 - #14

35 in-lbs

5

LFD35553Z

LPBC33

350

1

CU

2

Slotted

2/0 - #14

35-120 in-lbs

6

1/8" Hex #4 - #14

35 in-lbs

5

0LD39551Z

LPBC31

350

2

2

Slotted

2/0 - #14

35-120 in-lbs

6

1/8" Hex #4 - #14

35 in-lbs

5

0LD39552Z

LPBC32

350

3

2

Slotted

2/0 - #14

35-120 in-lbs

6

1/8" Hex #4 - #14

35 in-lbs

5

0LD39553Z

LPBC33

380

1

CU

1

Slotted 500kcmil - #6

375 in-lbs

6 5/32" Hex #2 - #14 35-50 in-lbs 5

0LD39531Z

LPBC31

380

2

1

Slotted 500kcmil - #6

375 in-lbs

6 5/32" Hex #2 - #14 35-50 in-lbs 5

0LD39532Z

LPBC32

380

3

1

Slotted 500kcmil - #6

375 in-lbs

6 5/32" Hex #2 - #14 35-50 in-lbs 5

0LD39533Z

LPBC33

380

1

AL

1

Slotted 500kcmil - #4

375 in-lbs

6

Slotted

#2 - #14 35-50 in-lbs 6

0LD45511Z

LPBC41

380

2

1

Slotted 500kcmil - #4

375 in-lbs

6

Slotted

#2 - #14 35-50 in-lbs 6

0LD45512Z

LPBC42

380

3

1

Slotted 500kcmil - #4

375 in-lbs

6

Slotted

#2 - #14 35-50 in-lbs 6

0LD45513Z

LPBC43

380

1

AL

1

3/8" Hex 500kcmil - #4

375 in-lbs

6 5/16" Hex 2/0 - #14 35-120 in-lbs 7

0LD55791Z

LPBC51

380

2

1

3/8" Hex 500kcmil - #4

375 in-lbs

6 5/16" Hex 2/0 - #14 35-120 in-lbs 7

0LD55792Z

LPBC52

380

3

1

3/8" Hex 500kcmil - #4

375 in-lbs

6 5/16" Hex 2/0 - #14 40-120 in-lbs 7

LFD55793Z

LPBC53

POWRGARD-Electrical-Product-Catalog-html.html
background image

133

littelfuse.com 

© 2018 Littelfuse POWR-GARD

®

 Products Catalog

Blocks and Holders

Fuse Bloc

ks and Holders

6

POWR-BLOKS

Distribution Block Selection Guide

AMP

PER  

POLE

POLES

CONNECTOR MATERIAL

LINE CONNECTION

LOAD CONNECTION

FIGURE

CATALOG/ 

ORDERING 

NUMBER

*PLASTIC 

COVER 

ORDERING 

NUMBER

CONNECTOR 

IMAGE

OPENINGS

 

PER POLE

LUG TYPE

WIRE  

RANGE

TORQUE  

RANGE

CONNECTOR 

IMAGE

OPENINGS PER POLE

LUG TYPE

WIRE  

RANGE

TORQUE  

RANGE

380

1

AL

1

3/8" Hex 500kcmil- #4

375 in-lbs

8 5/32" Hex

#2 - #14

35-50 in-lbs 7 0LD55941Z

LPBC51

380

2

1

3/8" Hex 500kcmil- #4

375 in-lbs

8 5/32" Hex

#2 - #14

35-50 in-lbs 7 0LD55942Z

LPBC52

380

3

1

3/8" Hex 500kcmil- #4

375 in-lbs

8 5/32" Hex

#2 - #14

35-50 in-lbs 7 0LD55943Z

LPBC53

380

1

AL

1

Slotted 500kcmil - #4

375 in-lbs

12

Slotted

#2 - #14

35-50 in-lbs 7 0LD55521Z

LPBC51

380

2

1

Slotted 500kcmil - #4

375 in-lbs

12

Slotted

#2 - #14

35-50 in-lbs 7 0LD55522Z

LPBC52

380

3

1

3/8" Hex 500kcmil - #4

375 in-lbs

12 5/32" Hex

#2 - #14

40-50 in-lbs 7 LFD55523Z

LPBC53

420

1

AL

1

1/2" Hex 600kcmil- #2

375 in-lbs

3 3/16" Hex

1/0 - #14

35-120 in-lbs 9 0LD35881Z 0LCH1331Z

6 5/32" Hex

#2 - #14

35-50 in-lbs

420

3

AL

1

1/2" Hex 600kcmil- #2

375 in-lbs

3 3/16" Hex

1/0 - #14

35-120 in-lbs 9 0LD35883Z 0LCH1333Z

6 5/32" Hex

#2 - #14

35-50 in-lbs

420

1

AL

1

1/2" Hex 600kcmil- #2

375 in-lbs

12 1/8" Hex

#4 - #14

35 in-lbs

9 0LD35951Z 0LCH1331Z

420

2

1

1/2" Hex 600kcmil- #2

375 in-lbs

12 1/8" Hex

#4 - #14

35 in-lbs

9 0LD35952Z 0LCH1332Z

510

1

AL

2

5/16" Hex 250kcmil - #6

275 in-lbs

12 1/8" Hex

#4 - #14

35 in-lbs

9 0LD35961Z 0LCH1331Z

510

2

2

5/16" Hex 250kcmil - #6

275 in-lbs

12 1/8" Hex

#4 - #14

35 in-lbs

9 0LD35962Z 0LCH1332Z

510

3

2

5/16" Hex 250kcmil - #6

275 in-lbs

12 1/8" Hex

#4 - #14

35 in-lbs

9 0LD35963Z 0LCH1333Z

760

1

AL

2

3/8" Hex 500kcmil - #6

375 in-lbs

8 5/16" Hex

2/0 - #14

35-120 in-lbs 7 0LD55861Z

LPBC51

760

2

2

3/8" Hex 500kcmil - #6

375 in-lbs

8 5/16" Hex

2/0 - #14

35-120 in-lbs 7 0LD55862Z

LPBC52

760

3

2

3/8" Hex 500kcmil - #4

375 in-lbs

8 3/16" Hex

2/0 - #14

40-120 in-lbs 7 LFD55863Z

LPBC53

760

1

CU

2

3/8" Hex 500kcmil- #4

375 in-lbs

8 3/16" Hex

2⁄0 - #14

35-120 in-lbs 7 0LD59861Z

LPBC51

760

2

2

3/8" Hex 500kcmil- #4

375 in-lbs

8 3/16" Hex

2⁄0 - #14

35-120 in-lbs 7 0LD59862Z

LPBC52

760

3

2

3/8" Hex 500kcmil- #4

375 in-lbs

8 3/16" Hex

2⁄0 - #14

35-120 in-lbs 7 0LD59863Z

LPBC53

760

1

AL

2

3/8" Hex 500kcmil- #6

375 in-lbs

12

Slotted

#4 - #14

35 in-lbs

7 0LD55921Z

LPBC51

760

2

2

3/8" Hex 500kcmil- #6

375 in-lbs

12

Slotted

#4 - #14

35 in-lbs

7 0LD55922Z

LPBC52

760

3

2

3/8" Hex 500kcmil- #4

375 in-lbs

12 1/8" Hex

#4 - #14

35 in-lbs

7 LFD55923Z

LPBC53

760

1

CU

2

3/8" Hex 500kcmil- #6

375 in-lbs

12

Slotted

#2 - #14

35-50 in-lbs 7 0LD59921Z

LPBC51

760

2

2

3/8" Hex 500kcmil- #6

375 in-lbs

12

Slotted

#2 - #14

35-50 in-lbs 7 0LD59922Z

LPBC52

760

3

2

3/8" Hex 500kcmil- #6

375 in-lbs

12

Slotted

#2 - #14

35-50 in-lbs 7 0LD59923Z

LPBC53

760

3

AL

2

1/2" Hex 500kcmil - #4

375 in-lbs

12 5/16" Hex

#2 - #14

35-50 in-lbs 7 0LD54083Z

LPBC53

840

3

AL

2

1/2" Hex 600kcmil- #2

375 in-lbs

4 5/16" Hex

3/0 - #6

120 in-lbs

7 0LD54113Z

LPBC53

4 5/16" Hex

#4 - #14

35 in-lbs

950

1

AL

2

9/16" Hex 750kcmil - 1/0 600 in-lbs

10 3/16" Hex

2/0 - #14

50-120 in-lbs 8 0LD57041Z 0LCH1351Z

950

3

AL

2

9/16" Hex 750kcmil - 1/0 600 in-lbs

10 3/16" Hex

2/0 - #14

50-120 in-lbs 8 0LD57043Z 0LCH1351Z

950

1

AL

2

9/16" Hex 750kcmil - 1/0 600 in-lbs

3 5/16" Hex 250kcmil  -  #6    275 in-lbs

8 0LD57051Z 0LCH1351Z

12 5/32" Hex

#2 - #14

40-50 in-lbs

950

3

AL

2

9/16" Hex 750kcmil - 1/0 600 in-lbs

3 5/16" Hex 250kcmil - #6 275 in-lbs

8 0LD57053Z 0LCH1351Z

12 5/32" Hex

#2 - #14

40-50 in-lbs

950

1

AL

2

9/16" Hex 750kcmil - 1/0 600 in-lbs

4

1/4" Hex

3/0 - #6

180 in-lbs

8 0LD57071Z 0LCH1351Z

12 5/32" Hex

#2 - #14

40-50 in-lbs

950

3

AL

2

9/16" Hex 750kcmil - 1/0 600 in-lbs

4

1/4" Hex

3/0 - #6

180 in-lbs

8 0LD57073Z 0LCH1351Z

12 5/32" Hex

#2 - #14

40-50 in-lbs

Note: AL = Aluminum / CU = Copper 

*Covers sold separately

POWRGARD-Electrical-Product-Catalog-html.html
background image

134

© 2018 Littelfuse POWR-GARD

®

 Products Catalog

littelfuse.com

Blocks and Holders

Fuse Bloc

ks and Holders

6

POWR-BLOKS

Splicer Block Selection Guide

AMP

PER  

POLE

POL

ES

CONN

EC

TO

R

MA

TE

RI

AL

LINE CONNECTION

LOAD CONNECTION

FI

GU

RE

CATALOG/ 

ORDERING 

NUMBER

*PLASTIC 

COVER 

ORDERING 

NUMBER

CONNECTOR 

IMAGE

OP

ENI

N

GS

 

PE

R P

OL

E

LUG TYPE

WIRE  

RANGE

TORQUE  

RANGE

CONNECTOR 

IMAGE

OP

ENI

N

GS

PE

R P

OL

E

LUG TYPE WIRE RANGE

TORQUE  

RANGE

115

1

AL

1

Slotted

#2 - #14

35-50 in-lbs

1

Slotted

#2 - #14

35-50 in-lbs 10

0LS13301Z

LPBC1441

115

2

1

Slotted

#2 - #14

35-50 in-lbs

1

Slotted

#2 - #14

35-50 in-lbs 10

0LS13302Z

LPBC1442

115

3

1 5/32" Hex

#2 - #14

40-50 in-lbs

1

5/32" Hex

#2 - #14

40-50 in-lbs 2

LFS13003Z

-

115

4

1

Slotted

#2 - #14

35-50 in-lbs

1

Slotted

#2 - #14

35-50 in-lbs 10  0LS13304Z

LPBC1444

115

1

AL

1

Slotted

#2 - #14

35-50 in-lbs

1

Slotted

#2 - #14

35-50 in-lbs 3

0LS25521Z

LPBC21

115

2

1

Slotted

#2 - #14

35-50 in-lbs

1

Slotted

#2 - #14

35-50 in-lbs 3

0LS25522Z

LPBC22

115

3

1

Slotted

#2 - #14

35-50 in-lbs

1

Slotted

#2 - #14

35-50 in-lbs 3

0LS25523Z

LPBC23

150

1

CU

1

3/16" Hex

1/0 - #14

35-120 in-lbs

1

3/16" Hex

1/0 - #14 35-120 in-lbs 3

0LS21211Z

LPBC21

150

2

1

3/16" Hex

1/0 - #14

35-120 in-lbs

1

3/16" Hex

1/0 - #14 35-120 in-lbs 3

0LS21212Z

LPBC22

150

3

1

3/16" Hex

1/0 - #14

35-120 in-lbs

1

3/16" Hex

1/0 - #14 35-120 in-lbs 3

0LS21213Z

LPBC23

175

1

AL

1

5/16" Hex

2/0 - #14

35-120 in-lbs

1

5/16" Hex

2/0 - #14 35-120 in-lbs 3

0LS25721Z

LPBC21

175

2

1

5/16" Hex

2/0 - #14

35-120 in-lbs

1

5/16" Hex

2/0 - #14 35-120 in-lbs 3

0LS25722Z

LPBC22

175

3

1

3/16" Hex

2/0 - #14

40-120 in-lbs

1

3/16" Hex

2/0 - #14 40-120 in-lbs 3

LFS25723Z

LPBC23

175

1

AL

1

5/16" Hex

2/0 - #14

35-120 in-lbs

1

5/16" Hex

2/0 - #14 35-120 in-lbs 4 0LS25721ZXDIN 0LCH1321Z

175

2

1

5/16" Hex

2/0 - #14

35-120 in-lbs

1

5/16" Hex

2/0 - #14 35-120 in-lbs 4 0LS25722ZXDIN 0LCH1322Z

175

3

1

5/16" Hex

2/0 - #14

35-120 in-lbs

1

5/16" Hex

2/0 - #14 35-120 in-lbs 4 0LS25723ZXDIN 0LCH1323Z

175 Adder

1

2/0 - #14

35-120 in-lbs

1

2/0 - #14 35-120 in-lbs 4 0LS2572AZXDIN

-

175

1

CU

1

5/16" Hex

2/0 - #14

35-120 in-lbs

1

5/16" Hex

2/0 - #14 35-120 in-lbs 4 0LS29721ZXDIN 0LCH1321Z

175

2

1

5/16" Hex

2/0 - #14

35-120 in-lbs

1

5/16" Hex

2/0 - #14 35-120 in-lbs 4 0LS29722ZXDIN 0LCH1322Z

175

3

1

5/16" Hex

2/0 - #14

35-120 in-lbs

1

5/16" Hex

2/0 - #14 35-120 in-lbs 4 0LS29723ZXDIN 0LCH1323Z

175 Adder

1

2/0 - #14

35-120 in-lbs

1

2/0 - #14 35-120 in-lbs 4 0LS2972AZXDIN

-

255

1

AL

1

5/16" Hex 250kcmil - #6 275 in-lbs

1

5/16" Hex 250kcmil - #6 275 in-lbs

5

0LS31231Z

LPBC31

255

2

1

5/16" Hex 250kcmil - #6 275 in-lbs

1

5/16" Hex 250kcmil - #6 275 in-lbs

5

0LS31232Z

LPBC32

255

3

1

5/16" Hex 250kcmil - #6 275 in-lbs

1

5/16" Hex 250kcmil - #6 275 in-lbs

5

0LS31233Z

LPBC33

255

1

CU

1

3/8" Hex 250kcmil - #6 375 in-lbs

1

3/8" Hex 250kcmil - #6 375 in-lbs

5

0LS31241Z

LPBC31

255

2

1

3/8" Hex 250kcmil - #6 375 in-lbs

1

3/8" Hex 250kcmil - #6 375 in-lbs

5

0LS31242Z

LPBC32

255

3

1

3/8" Hex 250kcmil - #6 375 in-lbs

1

3/8" Hex 250kcmil - #6 375 in-lbs

5

0LS31243Z

LPBC33

310

2

AL

1

5/16" Hex 350kcmil - #6 275 in-lbs

1

5/16" Hex 350kcmil - #6 275 in-lbs

1

0LS03032Z

LPBC02

310

3

1

5/16" Hex 350kcmil - #6 275 in-lbs

1

5/16" Hex 350kcmil - #6 275 in-lbs

1

0LS03033Z

LPBC03

310

1

AL

1

5/16" Hex 350kcmil - #6 275 in-lbs

1

5/16" Hex 350kcmil - #6 275 in-lbs

5

0LS31261Z

LPBC31

310

2

1

5/16" Hex 350kcmil - #6 275 in-lbs

1

5/16" Hex 350kcmil - #6 275 in-lbs

5

0LS31262Z

LPBC32

310

3

1

5/16" Hex 350kcmil - #6 275 in-lbs

1

5/16" Hex 350kcmil - #6 275 in-lbs

5

0LS31263Z

LPBC33

350

3

AL

2

5/16" Hex

2/0 - #14

35-120 in-lbs

2

5/16" Hex

2/0 - #14 35-120 in-lbs 9

0LS33053Z

0LCH1333Z

420

1

AL

1

1/2" Hex 600kcmil - #4 500 in-lbs

1

1/2" Hex 600kcmil - #4 500 in-lbs

6

0LS45571Z

LPBC41

420

2

1

1/2" Hex 600kcmil - #4 500 in-lbs

1

1/2" Hex 600kcmil - #4 500 in-lbs

6

0LS45572Z

LPBC42

420

3

1

1/2" Hex 600kcmil - #4 500 in-lbs

1

1/2" Hex 600kcmil - #4 500 in-lbs

6

0LS45573Z

LPBC43

510

3

AL

2

5/16" Hex 250kcmil - #6 275 in-lbs

2

5/16" Hex 250kcmil - #6 275 in-lbs

9

0LS33203Z

0LCH1333Z

620

1

AL

2

5/16" Hex 350kcmil - #4 275 in-lbs

2

5/16" Hex 350kcmil - #4 275 in-lbs

7

0LS51291Z

LPBC51

620

2

2

5/16" Hex 350kcmil - #4 275 in-lbs

2

5/16" Hex 350kcmil - #4 275 in-lbs

7

0LS51292Z

LPBC52

620

3

2

5/16" Hex 350kcmil - #4 275 in-lbs

2

5/16" Hex 350kcmil - #4 275 in-lbs

7

0LS51293Z

LPBC53

760

1

AL

2

3/8" Hex 500kcmil - #4 375 in-lbs

2

3/8" Hex 500kcmil - #4 375 in-lbs

7

0LS53011Z

LPBC51

760

2

2

3/8" Hex 500kcmil - #4 375 in-lbs

2

3/8" Hex 500kcmil - #4 375 in-lbs

7

0LS53012Z

LPBC52

760

3

2

3/8" Hex 500kcmil - #4 375 in-lbs

2

3/8" Hex 500kcmil - #4 375 in-lbs

7

0LS53013Z

LPBC53

Note: AL = Aluminum / CU = Copper 

Note: *Covers sold separately

POWRGARD-Electrical-Product-Catalog-html.html
background image

135

littelfuse.com 

© 2018 Littelfuse POWR-GARD

®

 Products Catalog

Blocks and Holders

Fuse Bloc

ks and Holders

6

POWR-BLOKS   

Distribution Block and Splicer Block Outline Drawings

Figure 1

Dimensions Inches (mm)

2-pole

3-pole

Figure 2

Figure 3

2-pole

3-pole

1-pole

3-pole

POWRGARD-Electrical-Product-Catalog-html.html
background image

136

© 2018 Littelfuse POWR-GARD

®

 Products Catalog

littelfuse.com

Blocks and Holders

Fuse Bloc

ks and Holders

6

POWR-BLOKS   

Distribution Block and Splicer Block Outline Drawings

Dimensions Inches (mm)

Figure 5

2-pole

3-pole

1-pole

Figure 6

2-pole

3-pole

1-pole

Figure 4

1-pole

2-pole

3-pole

Adder

POWRGARD-Electrical-Product-Catalog-html.html
background image

137

littelfuse.com 

© 2018 Littelfuse POWR-GARD

®

 Products Catalog

Blocks and Holders

Fuse Bloc

ks and Holders

6

POWR-BLOKS   

Distribution Block and Splicer Block Outline Drawings

Dimensions Inches (mm)

Figure 8

3-pole

1-pole

Figure 9

2-pole

3-pole

1-pole

Figure 7

2-pole

3-pole

1-pole

POWRGARD-Electrical-Product-Catalog-html.html
background image

138

© 2018 Littelfuse POWR-GARD

®

 Products Catalog

littelfuse.com

Blocks and Holders

Fuse Bloc

ks and Holders

6

POWR-BLOKS   

Distribution Block and Splicer Block Outline Drawings

Dimensions Inches (mm)

CHICAGO, ILLINOIS  60631

3RD ANGLE 

PROJECTION

A1

OL-for datasheet

Littelfuse

®

REVISION

DRWG NO.

TITLE

C

DRW

DATE

GRAMS/PIECE

FINISH GOOD WT

MYORK

12/7/2017

MATL SPEC

FINISH

UNLESS OTHERWISE SPECIFIED, DIMENSIONS ARE IN MILLIMETERS, DIMENSIONS IN

BRACKETS [  ] ARE INCHES DIMENSIONING AND DO NOT INCLUDE PLATING. TOLERANCING

TO BE INTERPRETED IN ACCORDANCE WITH ANSI Y14.5M-1994

 

DENOTES CRITICAL CHARACTERISTICS.

DENOTES CPK DIMENSIONS, -MINIMUM CPK VALUE
DENOTES A CHARACTERISTIC THAT PROVIDES AN INDICATION

OF PROCESS PERFORMANCE. PROCEDURE FOR MEASUREMENT

AND TRACKING TO BE DEFINED IN

LITTELFUSE INSPECTION INSTRUCTIONS.
DENOTES CP DIMENSIONS, -MINIMUM CP VALUE

MUST BE WITHIN THE DIMENSIONAL LIMITATIONS

SHOWN ON DRAWING AND INITIALLY LOCATED TO

ALLOW FOR MAXIMUM TOOL LIFE.

CPK

CP

SHEET 1 OF 1 

SCALE

0LD1440 & 0LS1330 Series for datasheet

NTS

REVISION

REV

DATE

DESCRIPTION

A1

12/7/17

CREATED FOR DATASHEET UPDATE   MRY

7.11

[0.28]

35.98

[1.42]

5.03

[0.20]

58.12

[2.29]

49.07

[1.93]

R.10 X .06

[2.6 X .15]

THRU TYP.

21.46

[0.85]

14.20

[0.56]

16.13

[0.64]

37.59

[1.48]

48.39

[1.91]

69.85

[2.75]

10.73

[0.42]

10.73

[0.42]

10.73

[0.42]

41.20

[1.62]

15.21

[0.60]

17.78

[0.70]

1-pole

2-pole

4-pole

2-pole

4-pole

1-pole

Figure 10

POWRGARD-Electrical-Product-Catalog-html.html
background image

139

littelfuse.com 

© 2018 Littelfuse POWR-GARD

®

 Products Catalog

Blocks and Holders

Fuse Bloc

ks and Holders

6

GDB SERIES TOUCH-SAFE POWR-BLOKS   

Global Distribution Blocks

Features/Benefits

• 

Global part meeting UL standards

• 

Space saving design

• 

Integrated touch-safe cover to increase safety

• 

IP20 protection rating

• 

Mounts to DIN rail or panels

• 

Reliable brass connections for excellent continuity  
in a smaller design

Specifications

Voltage Rating

 

UL: 600 VAC/VDC 

Ampere Rating

 

80 – 335 A

Material

 Thermoplastic

Connector

 

GDBxxxx: Brass

 

GDBAxxxx: Aluminum (Tin Plated)

Flammability Rating

 

UL94 V-0

Approvals

 

UL Recognized (File: E309688, E171395) 

 

UL Listed (File: E482231)

 

CSA Certified (File: 700111)

Operating Temperature

 

-40°C to +90°C

Storage Temperature

 

-40°C to +100°C

Relative Humidity

 

50% @ 40°C, 90% @ 20°C

Environmental

 

RoHS compliant

Description 

POWR-BLOKS Global Distribution Blocks add safety and 
mounting versatility to our distribution block solutions. The 
Global Distribution Blocks are approved to UL standards. 
The Global Distribution Blocks are IP20 finger safe to reduce 
the risk of contact and eliminate the need for block or panel 
covers. Installation is quick and easy, all blocks can be 
mounted on DIN rail or to the panel.

Electrical Specifications

CATALOG/ 

ORDERING 

NUMBER

POLES

AMPS

WIRE RANGE

OVERCURRENT PROTECTION  

FUSE REQUIRED

SCCR IN 

RMS  

SYM 

AMPS

AGENCY 

APPROVALS

LINE 

CONNECTION

LOAD CONNECTION

LINE OPENINGS 

PER POLE

OPENINGS 

PER POLE

LOAD CLASS J 

(JTD_ID)

Class T 

(JLLN, 

JLLS)

Class RK1

(LLNRK, 

LLSRK, KLNR, 

KLSR)

Class RK5

(FLNR, FLSR, 

IDSR)

CLASS G

(SLC)

CLASS CC

(CCMR, 

KLDR, 

KLKR)

UR

cU

Ru

s

UL

CSA

GDB60801Z 1 80

1

#8 - #4

6

#8 - #4

80

-

-

-

-

-

100,000

#10 - #14

-

-

-

-

-

GDB61151Z 1 115 1

#8 - #2

6

#14 - #4

125

-

-

-

-

-

100,000

#10 - #6

-

-

-

-

-

GDB61153Z 3 115 1

#8 - #2

6

#14 - #4

125

-

-

-

-

-

100,000

GDBAD211Z 1 115 1

#14 - #2

1

#14 - #2

175

225

100

60

60

30

100,000

• •

GDBAD241Z 1 115 1

#10 - #2

4

#14 - #10

125

200

100

30

60

30

65,000

• •

GDB61601Z 1 160 1

#8 - 2/0

6

#14 - #4

175

-

-

-

-

-

100,000

GDB61753Z 3 175 1

#8 - 2/0

6

#14 - #4

175

-

-

-

-

-

100,000

GDBAD421Z 1 200 1

#8 - 3/0

1

#8 - 3/0

225

225

200

60

60

30

100,000

• •

GDBAP421Z 1 200 1

#8 - 3/0

1

#8 - 3/0

225

225

200

60

60

30

100,000

• •

GDBAD451Z 1 200 1

#8 - 3/0

4

#8 - #2

225

225

200

60

60

30

100,000

• •

#8 - 3/0

#14 - #8

100

110

100

30

60

GDBAP451Z 1 200 1

#8 - 3/0

4

#8 - #2

225

225

200

60

60

30

100,000

• •

#8 - 3/0

#14 - #8

100

110

100

30

60

GDB63101Z 1 310 1

3/0 - 350 

kcmil

11

#14 - #2

350

100,000

#14 - #6

-

-

-

-

-

#14 - #8

GDBAD741Z 1 335 1

#6 - 400 

kcmil

8

#14 - #2

-

-

-

-

-

-

10,000

#14 - 3/0

Web Resources

For additional information visit

 Littelfuse.com/gdb

POWRGARD-Electrical-Product-Catalog-html.html
background image

140

© 2018 Littelfuse POWR-GARD

®

 Products Catalog

littelfuse.com

Blocks and Holders

Fuse Bloc

ks and Holders

6

GDB SERIES TOUCH-SAFE POWR-BLOKS   

Global Distribution Blocks

Mechanical Specification

CATALOG/ 

ORDERING 

NUMBER

POLES

AMP 

RATING 

PER POLE

(UL)

LINE CONNECTION

LOAD CONNECTION

OPENINGS

 

PER POLE

OPENING 

DIAMETER

SCREW  

TYPE

WIRE 

RANGE

TORQUE

 LB-IN (NM)

OPENINGS

 

PER POLE

OPENING 

DIAMETER

SCREW 

TYPE

WIRE 

RANGE

TORQUE

 LB-IN (NM)

GDB60801Z

1

80

1

0.28 in 

(7.0 mm)

Slotted

#8 – #4 

(Cu)

13.5 (1.5)

6

2x 0.28 in

(2x 7.0 mm)

Slotted

#8 - #4 

(Cu)

13.5 (1.5)

4x 0.18 in

(4x 4.5 mm)

#10 - #14 

(Cu)

7.2 (0.8)

GDB61151Z

1

115

2

0.39 in 

(10.0 mm)

Hex 4 mm

#8 – #2 

(Cu)

31 (3.5)

6

0.28 in 

(7.0 mm)

Slotted

#14 – #4 

(Cu)

17.5 (2)

#10 – #6 

(Cu)

GDB61153Z

3

115

1

0.39 in

(10.0 mm)

Hex 4mm #8 - #2 (Cu)

31 (3.5)

6

0.25 in

(6.5 mm)

Hex 3mm #14 - #4 

(Cu)

17.5 (2)

GDBAD211Z

1

115

1

0.323 in

(8.2 mm)

Hex 4 mm

#14 - #2 

(Cu/Al)

35 (4.0) #14 - #10

40 (4.5) #8

45 (5.1) #6 - #4

50 (5.6) #3 - #2

1

0.323 in

(8.2 mm)

Hex 4 mm #14 - #2 

(Cu/Al)

35 (4.0) #14 - #10

40 (4.5) #8

45 (5.1) #6 - #4

50 (5.6) #3 - #2

GDBAD241Z

1

115

1

0.312 in

(7.9 mm)

Hex 4 mm

#14 - #2 

(Cu/Al)

35 (4.0) #14 - #10

40 (4.)5 #8

45 (5.1) #6 - #4

50 (5.6) #3 - #2

4

0.159 in

(4.0 mm)

Hex 2 mm #14 - #10 

(Cu/Al)

7 (0.8)

GDB61601Z

1

160

1

0.49 in  

(12.5 mm)

Hex 5mm

#8 - 2/0 

(Cu)

35.5 (4)

6

0.28 in

( 7.0 mm)

Slotted

#14 - #4 

(Cu)

17.5 (2.0)

GDB61753Z

3

175

1

0.47 in

(12.0 mm)

Hex 5mm

#8 - 2/0 

(Cu)

35.5 (4)

6

0.25 in

( 6.5 mm)

Hex 3mm #14 - #4 

(Cu)

17.5 (2.0)

GDBAD421Z

1

200

1

0.531 in

(13.5 mm)

Hex 6mm

#14 - 3/0 

(Cu/Al)

50 (5.6) #14 - #10

180 (20.3) #8 - 3/0

1

0.531 in

(13.5 mm)

Hex 6mm #14 - 3/0 

(Cu/Al)

50 (5.6) #14 - #10

180 (20.3) #8 - 3/0

GDBAP421Z

1

200

1

0.531 in

(13.5 mm)

Hex 6mm

#14 - 3/0 

(Cu/Al)

50 (5.6) #14 - #10

180 (20.3) #8 - 3/0

1

0.531 in

(13.5 mm)

Hex 6mm #14 - 3/0 

(Cu/Al)

50 (5.6) #14 - #10

180 (20.3) #8 - 3/0

GDBAD451Z

1

200

1

0.531 in

(13.5 mm)

Hex 6mm

#14 - 3/0 

(Cu/Al)

50 (5.6) #14 - #10

180 (20.3) #8 - 3/0

4

0.313 in

(7.9mm)

Hex 5mm #14 - #2 

(Cu/Al)

40 (4.5) #14 - #10

50 (5.6) #8 - #2

GDBAP451Z

1

200

1

0.531 in

(13.5 mm)

Hex 6mm

#14 - 3/0 

(Cu/Al)

50 (5.6) #14 - #10

180 (20.3) #8 - 3/0

4

0.313 in

(7.9mm)

Hex 5mm #14 - #2 

(Cu/Al)

40 (4.5) #14 - #10

50 (5.6) #8 - #2

GDB63101Z

1

310

1

0.75 in

(19.0 mm)

Hex 8mm

3/0 - 350 

kcmil (Cu)

230 (26.0)

11

2x 0.35 in

(2x 9.0mm)

Slotted

#14 - #2 

(Cu)

31 (3.5)

5x 0.25 in

(5x 6.5mm)

#14 - #6 

(Cu)

18 (2.0)

4x 0.21 in

(4x 5.3mm)

#14 - #8 

(Cu)

GDBAD741Z

1

335

1

0.516 in

(13.1 mm)

Hex 

8mm & 6mm

#14 - 400 

kcmil  

(Cu/Al)

40 (4.5)#14 - #8 

80 (9.0) #6 - #2

8

0.375 in

(9.5 mm)

Hex 5mm #14 - #2 

(Cu/Al)

40 (4.5) #14 - #8

120 (13.6) #1 - #3/0 

275 (31.10 #6 - #1/0 

375 (42.4) 2/0 - 400 

kcmil

80 (9.0) #6 - #2

POWRGARD-Electrical-Product-Catalog-html.html
background image

141

littelfuse.com 

© 2018 Littelfuse POWR-GARD

®

 Products Catalog

Blocks and Holders

Fuse Bloc

ks and Holders

6

GDB SERIES TOUCH-SAFE POWR-BLOKS   

Global Distribution Blocks

4x Ø 0.18

(4x Ø 4.5)

3x Ø 0.24

(3x Ø 6)

Ø 0.22

(Ø 5.5)

0.08

(2)

0.75

(19)

2.58

(65.5)

1.06

(27)

0.20

(5)

0.16

(4)

0.24

(6)

0.26

(6.5)

0.39

(10)

1.22

(31.1)

1.84

(46.8)

0.11

(2.7)

1.38

(35)

0.69

(17.5)

0.75

(19)

0.20

(5.0)

Ø 0.22

(Ø 5.5)

1.80

(45.8)

0.24

(6.0)

0.26

(6.5)

1.06

(27)

0.20

(5.0)

0.16

(4.0)

2.9

(74)

0.53

(13.5)

1.67

(42.3)

1.38

(35)

0.69

(17.5)

0.05

(1.3)

0.39

(10)

Ø 0.22

(Ø 5.5)

GDB60801Z

GDB61151Z

Dimensions Inches (mm)

0.98

(25)

3.62

(92)

3.16

(80.3)

1.38

(35)

0.08

(2.0)

2.0

(50)

1.4

(35)

0.24

(6.0)

GDB61601Z

POWRGARD-Electrical-Product-Catalog-html.html
background image

142

© 2018 Littelfuse POWR-GARD

®

 Products Catalog

littelfuse.com

Blocks and Holders

Fuse Bloc

ks and Holders

6

GDB SERIES TOUCH-SAFE POWR-BLOKS   

Global Distribution Blocks

1.50

(38)

2.80

(71)

3.14

(80)

0.54

(13.8)

1.69

(43)

2.07

(52.5)

0.20

(5.2)

2.07

(52.5)

2.28

(58)

0.20

(5.2)

0.43

(11.2)

GDB61153Z

GDB61753Z

Dimensions Inches (mm)

1.75

(44.5)

1.93

(49)

0.85

(21.5)

0.09

(2.3)

3.74

(95)

3.34

(84.8)

0.69

(17.5)

0.98

(25)

0.09

(2.2)

1.38

(35)

GDB63101Z

POWRGARD-Electrical-Product-Catalog-html.html
background image

143

littelfuse.com 

© 2018 Littelfuse POWR-GARD

®

 Products Catalog

Blocks and Holders

Fuse Bloc

ks and Holders

6

GDB SERIES TOUCH-SAFE POWR-BLOKS   

Global Distribution Blocks

GDBAD211Z

GDBAD241Z

Dimensions Millimeters (in)

POWRGARD-Electrical-Product-Catalog-html.html
background image

144

© 2018 Littelfuse POWR-GARD

®

 Products Catalog

littelfuse.com

Blocks and Holders

Fuse Bloc

ks and Holders

6

GDB SERIES TOUCH-SAFE POWR-BLOKS   

Global Distribution Blocks

GDBAD421Z

Dimensions Millimeters (in)

POWRGARD-Electrical-Product-Catalog-html.html
background image

145

littelfuse.com 

© 2018 Littelfuse POWR-GARD

®

 Products Catalog

Blocks and Holders

Fuse Bloc

ks and Holders

6

GDB SERIES TOUCH-SAFE POWR-BLOKS   

Global Distribution Blocks

GDBAP421Z

Dimensions Millimeters (in)

POWRGARD-Electrical-Product-Catalog-html.html
background image

146

© 2018 Littelfuse POWR-GARD

®

 Products Catalog

littelfuse.com

Blocks and Holders

Fuse Bloc

ks and Holders

6

GDB SERIES TOUCH-SAFE POWR-BLOKS   

Global Distribution Blocks

Dimensions Millimeters (in)

GDBAD451Z

POWRGARD-Electrical-Product-Catalog-html.html
background image

147

littelfuse.com 

© 2018 Littelfuse POWR-GARD

®

 Products Catalog

Blocks and Holders

Fuse Bloc

ks and Holders

6

GDB SERIES TOUCH-SAFE POWR-BLOKS   

Global Distribution Blocks

GDBAP451Z

Dimensions Millimeters (in)

POWRGARD-Electrical-Product-Catalog-html.html
background image

148

© 2018 Littelfuse POWR-GARD

®

 Products Catalog

littelfuse.com

Blocks and Holders

Fuse Bloc

ks and Holders

6

GDB SERIES TOUCH-SAFE POWR-BLOKS   

Global Distribution Blocks

GDBAD741Z

Dimensions Millimeters (in)

POWRGARD-Electrical-Product-Catalog-html.html
background image

149

littelfuse.com 

© 2018 Littelfuse POWR-GARD

®

 Products Catalog

Blocks and Holders

Fuse Bloc

ks and Holders

6

Specifications

Voltage Rating

 

500 Vac, 125 Vdc

Ampere Rating

 

15 A

Fuse Type

 

1

4

” x 1

1

4

Fuse Clips

 

Tin-plated brass

Wire

 

Black 18 AWG, 150˚ C Stranded

Molded Body

 

Single piece thermoplastic

Flammability Rating

 

UL94 V-0

Approvals

 

UL Recognized (File: E14721)

Environmental

 

RoHS complaint, Lead (Pb) free

Storage Temperature

 

-40˚ C to 80˚ C

Operating Temperature

 

-55˚ C to 125˚ C

Ordering Information

Web Resources

For more information, visit: 

littelfuse.com/150322

CATALOG NUMBER ORDERING NUMBER

STANDARD PACK

150322

01500322H

100 PIECES

Dimensions mm (inches)

Recommended Fuses

3AG (312, 313 Series) ....................................................... 34 
3AB (314, 326, 505 Series) ............................................... 33

Description

The 150322 is a 500 Vac/125 Vdc rated inline fuse 
holder ideal for applications where supplemental 
protection is needed, such as lighting ballasts and 
power supplies. 8-inch pre-stripped wire leads and 
fuse clips come preassembled for quick installation. 

Features/Benefits

•  Single piece body minimizes component count
•  High voltage rating accommodates many  

power applications

•  Wire leads are pre-attached to fuse clips for  

quick assembly

•  Single piece molded body
•  UL Recognized

Twist-Lock  

155 Series

  

 

In-Line Mount 
32 V 3AG, SFE

Heavy-Duty Bayonet 

155 Series

    

In-Line Mount 
32 V 3AG

Special Type  

150 Series

    

In-Line Mount 
250 V 2AG, 5x20mm

Additional In-Line Glass Fuse Holders

Dimensions Inches

IN-LINE GLASS FUSE HOLDERS   

150322

POWRGARD-Electrical-Product-Catalog-html.html
background image

150

© 2018 Littelfuse POWR-GARD

®

 Products Catalog

littelfuse.com

Blocks and Holders

Fuse Bloc

ks and Holders

6

TO

LOAD

TO

SOURCE

ELECTRICAL TAPE

TO

LOAD

TO

SOURCE

ELECTRICAL TAPE

Description 

Recently redesigned, the Littelfuse 600 VAC/VDC in-line 
watertight fuse holders allow maximum protection for high 
humidity and corrosive environments. The fuse holders are 
designed to be touch-safe and flexible for use in a variety 
of applications. See the list below for the redesigned part 
numbers. 

Applications

•  Street lighting and parking lot lighting
•  Sports lighting and various outdoor illuminated signs
•  Boat electrical circuits, tractors/yard equipment and  

general outdoor circuit protection (such as traffic  

signals, alley lighting and electric wheelchairs)

Specifications

Voltage rating

 

600 VAC/VDC

Ampere rating

 

up to 30 A

Interrupting rating

  200 kA rms symmetrical (with Class CC fuses)

Approvals

 

LEB/LEX series

 UL Recognized Miscellaneous

 

Fuse holder per UL UL 4248 (File: E14721)

 

CSA Certified per C22.2, No. 39 (File: LR7316)

 

LEC/LEY series

  UL Listed Class CC Branch Circuit 

 

Fuse holder per UL 512 (File: E14721)

 

CSA Certified per C22.2, No. 39 (File: LR7316)

Features/Benefits

•  Design increases safety by individual device 

disconnection for easy servicing, eliminating shock risk

•  Increases efficiency by preventing faulted ballast from 

severely damaging fixture or device

•  Watertight seal
•  Variety of terminations available for flexible design
•  Insulating boots available for harsh environments

Recommended Fuses

LEB/LEX series:

  

Accepts all Littelfuse Midget and Class CC series fuses 
CCMR ............................................................................... 27
KLDR, KLKR ...................................................................... 28
BLF, BLN, FLM, FLQ, KLK, KLKD ..................................... 30

LEC/LEY series:

  

Accepts only Littelfuse Class CC fuses
CCMR ............................................................................... 27
KLDR, KLKR ...................................................................... 28

Web Resources

Download CAD drawings, dimensions and other technical 
information:

  

littelfuse.com/in-line

IMPROVED

Look for these part numbers featuring our 

improved design

•  Better surface area for ergonomic comfort, improved grip  

and better torque

•  More pronounced seating – automatically seats as user  

begins twisting

•  Chamfered edges for additional installation comfort

BASE PART 

NUMBER

PREVIOUS ORDERING 

NUMBER

NEW ORDERING 

NUMBER

LEB-AA

0LEB00AAX

0LEB00AAXK

LEB-AA-S

0LEB0AASX

0LEB0AASXK

LEB-AB

0LEB00ABX

0LEB00ABXK

LEB-AYC-S

0LEBAYCSX

0LEBAYCSXK

LEB-BB

0LEB00BBX

0LEB00BBXK

LEB-JJ

0LEB00JJX

0LEB00JJXK

LEB-JJ-S

0LEB0JJSX

0LEB0JJSXK

LEB/LEX

LEC/LEY

IN-LINE WATERTIGHT FUSE HOLDERS

POWRGARD-Electrical-Product-Catalog-html.html
background image

151

littelfuse.com 

© 2018 Littelfuse POWR-GARD

®

 Products Catalog

Blocks and Holders

Fuse Bloc

ks and Holders

6

IN-LINE WATERTIGHT FUSE HOLDERS

Recommended  Crimping Tools

The following crimping tools or equivalents may be used  
on either the non-breakaway or breakaway watertight  
in-line fuse holders.

TERMINAL SIZE

T&B PART NUMBER

BURNDY PART 

NUMBER

A

WT161M

B

WT161M

MR4C

C

M5-GREY

Hypress Y34A

D

M5-BROWN

Hypress Y34A

4.5"

10.3"

( ASSEMBLED LENGTH )

5.4"

( ASSEMBLED LENGTH )

4.5"

9.3"

( ASSEMBLED LENGTH )

WPB1 BOOT

(OPTIONAL)

WPB1 BOOT

(OPTIONAL)

INSULATING BOOT

(STANDARD)

INSULATING BOOT

(STANDARD)

4.2"

4.5"

9.3"

( ASSEMBLED LENGTH )

10.3"

( ASSEMBLED LENGTH )

5.3"

( ASSEMBLED LENGTH )

Dimensions Inches

1-Pole

1-Pole Breakaway

2-Pole

2-Pole Breakaway

A & B Crimp Terminal

C & D Crimp Terminal

J Terminal

Y Terminal

Insulating Boots

•  Molded from engineering-grade thermoplastics which 

provide high resistance to corrosive environments

•  Standard with all breakaway style fuse holders
•  For watertight protection of non-breakaway Y-pole 

termination, order one WPB1 and one WPB3 boot

ORDERING NUMBER

TERMINAL TYPE

WPB1

A, B, C, D, J

WPB3

Y

SERIES

DESCRIPTION

LEB

One-pole in-line fuse holder for Midget and Class CC fuses

LEC

One-pole in-line fuse holder for Class CC fuses

LET

One-pole in-line fuse holder with  

permanently installed solid neutral

LEX

Two-pole in-line fuse holder for Midget and Class CC fuses

LEY

Two-pole in-line fuse holder for Class CC fuses

Ordering Information

To order Littelfuse in-line fuse holders by part number,  

refer to the charts on the next page.

LEB - AA - S

Littelfuse Series 

Load Side/Terminal Size

Breakaway Feature 
Line Side/Terminal Size

POWRGARD-Electrical-Product-Catalog-html.html
background image

152

© 2018 Littelfuse POWR-GARD

®

 Products Catalog

littelfuse.com

Blocks and Holders

Fuse Bloc

ks and Holders

6

IN-LINE WATERTIGHT FUSE HOLDERS

SINGLE POLE

DOUBLE POLE

LOAD TERMINAL SELECTION

LINE TERMINAL SELECTION

STANDARD 

PART 

NUMBER

BREAKAWAY 

PART 

NUMBER

STANDARD 

PART  

NUMBER

BREAKAWAY 

PART  

NUMBER

TERMINAL 

TYPE

LOAD 

TERMINAL 

WIRE SIZE 

RANGE

NUMBER 

OF WIRES 

PER 

TERMINAL

SOLID

WIRE

STRANDED 

 WIRE

TERMINAL 

TYPE

LINE 

TERMINAL 

WIRE SIZE 

RANGE

NUMBER 

OF WIRES 

PER 

TERMINAL

SOLID

WIRE

STRANDED 

 WIRE

LEB-AA-K

LEC-AA

LEB-AA-SK

LEC-AA-S

LEX-AA

LEY-AA

LEX-AA-S

LEY-AA-S

Copper 

Crimp

#12 to #8

#12

1

2

Copper 

Crimp

#12 to #8

#12

1

2

LEB-AB-K 

LEC-AB

LEB-AB-S 

LEC-AB-S

LEX-AB 

LEY-AB

LEX-AB-S 

LEY-AB-S

Copper 

Crimp

#12 to #8

#12

1

2

Copper 

Crimp

#10

#6

#4

2

1

1

LEB-AC

LEC-AC

LEX-AC

LEY-AC

Copper 

Crimp

#12 to #8

#12

1

2

Copper 

Crimp

#8

#4

2

1

LEB-AD

LEC-AD

LEX-AD

LEY-AD

Copper 

Crimp

#12 to #8

#12

1

2

Copper 

Crimp

#6

#2

2

1

LEB-AJ

LEC-AJ

LEB-AJ- S

LEC-AJ-S

Copper 

Crimp

#12 to #8

#12

1

2

Copper 

Set-Screw

#12 to #8

#10 to #2

1

1

LEB-AYC

LEC-AYC

LEB-AYC-SK

LEC-AYC-S

LEX-AYC

LEY-AYC

LEX-AYC-S

LEY-AYC-S

Copper 

Crimp

#12 to #8

#12

1

2

"Y" Type 

Copper 

Set-Screw

#12 to #8

#10 to #2

1

1

LEB-BA 

LEC-BA

LEB-BA-S 

LEC-BA-S

LEX-BA 

LEY-BA

LEX-BA-S 

LEY-BA-S

Copper 

Crimp

#10

#6

#4

2

1

1

Copper 

Crimp

#12 to #8

#12

1

2

LEB-BB-K 

LEC-BB

LEB-BB-S 

LEC-BB-S

LEX-BB 

LEY-BB

LEX-BB-S 

LEY-BB-S

Copper 

Crimp

#10

#6

#4

2

1

1

Copper 

Crimp

#10

#6

#4

2

1

1

LEB-BC 

LEC-BC

— 

LEX-BC 

LEY-BC

— 

Copper 

Crimp

#10

#6

#4

2

1

1

Copper 

Crimp

#8

#4

2

1

LEB-BD 

LEC-BD

— 

LEX-BD 

LEY-BD

— 

Copper 

Crimp

#10

#6

#4

2

1

1

Copper 

Crimp

#6

#2

2

1

LEB-BJ 

LEC-BJ

LEB-BJ-S 

LEC-BJ-S

— 

— 

Copper 

Crimp

#10

#6

#4

2

1

1

Copper 

Set-Screw

#12 to #8

#10 - #2

1

1

LEB-BYC 

LEC-BYC

LEB-BYC-S 

LEC-BYC-S

LEX-BYC 

LEY-BYC

LEX-BYC-S 

LEY-BYC-S

Copper 

Crimp

#10

#6

#4

2

1

1

"Y" Type 

Copper 

Set-Screw

#12 to #8

#10 - #2

1

1

LEB-CA 

LEC-CA

— 

LEX-CA 

LEY-CA

— 

Copper 

Crimp

#8

#4

2

1

Copper 

Crimp

#12 to #8

#12

1

2

LEB-CB 

LEC-CB

— 

LEX-CB 

LEY-CB

— 

Copper 

Crimp

#8

#4

2

1

Copper 

Crimp

#10

#6

#4

2

1

1

LEB-CC 

LEC-CC

— 

LEX-CC 

LEY-CC

— 

Copper 

Crimp

#8

#4

2

1

Copper 

Crimp

#8

#4

2

1

LEB-CD 

LEC-CD

— 

LEX-CD 

LEY-CD

— 

Copper 

Crimp

#8

#4

2

1

Copper 

Crimp

#6

#2

2

1

LEB-CJ 

LEC-CJ

— 

LEX-CJ 

LEY-CJ

— 

Copper 

Crimp

#8

#4

2

1

Copper 

Set-Screw

#12 to #8

#10 - #2

1

1

LEB-CYC 

LEC-CYC

— 

LEX-CYC 

LEY-CYC

— 

Copper 

Crimp

#8

#4

2

1

"Y" Type 

Copper 

Set-Screw

#12 to #8

#10 to #2

1

1

LEB-DA 

LEC-DA

— 

LEX-DA 

LEY-DA

— 

Copper 

Crimp

#6

#2

2

1

Copper 

Crimp

#12 to #8

#12

1

2

LEB-DB 

LEC-DB

— 

LEX-DB 

LEY-DB

— 

Copper 

Crimp

#6

#2

2

1

Copper 

Crimp

#10

#6

#4

2

1

1

LEB-DC 

LEC-DC

— 

LEX-DC 

LEY-DC

— 

Copper 

Crimp

#6

#2

2

1

Copper 

Crimp

#8

#4

2

1

LEB-DD 

LEC-DD

— 

LEX-DD 

LEY-DD

— 

Copper 

Crimp

#6

#2

2

1

Copper 

Crimp

#6

#2

2

1

LEB-DJ 

LEC-DJ

— 

LEX-DJ 

LEY-DJ

— 

Copper 

Crimp

#6

#2

2

1

Copper 

Set-Screw

#12 to #8

#10 - #8

2

1

LEB-DYC 

LEC-DYC

— 

LEX-DYC 

LEY-DYC

— 

Copper 

Crimp

#6

#2

2

1

"Y" Type 

Copper 

Set-Screw

#12 to #8

#10 to #8

1

1

LEB-JJ-K 

LEC-JJ

LEB-JJ-SK  

LEC-JJ-S

LEX-JJ 

LEY-JJ

LEX-JJ-S 

LEY-JJ-S

Copper 

Set-Screw

#12 to #8 

#10 to #2

1

1

Copper 

Set-Screw

#12 to #8

#10 to #2

1

1

LEB-JYC 

LEC-JYC

LEB-JYC-S 

LEC-JYC-S

— 

— 

Copper 

Set-Screw

#12 to #8 

#10 to #2

1

1

"Y" Type 

Copper 

Set-Screw

#12 to #8 

#10 to #2

1

1

Ordering Information 

(1-Pole LEB/LEC and 2-Pole LEX/LEY for Class CC and Midget Fuses)

POWRGARD-Electrical-Product-Catalog-html.html
background image

153

littelfuse.com 

© 2018 Littelfuse POWR-GARD

®

 Products Catalog

Blocks and Holders

Fuse Bloc

ks and Holders

6

IN-LINE WATERTIGHT FUSE HOLDERS     

STANDARD 

PART 

NUMBER

BREAKAWAY 

PART  

NUMBER

FUSE  

TYPE

LOAD TERMINAL SELECTION

LINE TERMINAL SELECTION

TERMINAL 

TYPE

LOAD 

TERMINAL 

WIRE SIZE 

RANGE

NUMBER 

OF WIRES 

PER 

TERMINAL

SOLID 

WIRE

STRANDED

 

WIRE

TERMINAL 

TYPE

LINE  

TERMINAL 

WIRE SIZE   

RANGE

NUMBER 

OF WIRES 

PER 

TERMINAL

SOLID 

WIRE

STRANDED

 

WIRE

 

LET-AA

LET-AA-S

Solid 

Neutral

Copper 

Crimp

#12 to #8

#12

1

2

Copper 

Crimp

#12 to #8

#12

1

2

LET-AB

LET-AB-S

Solid 

Neutral

Copper 

Crimp

#12 to #8

#12

1

2

Copper 

Crimp

#10

#6

#4

2

1

1

LET-AYC

LET-AYC-S

Solid 

Neutral

Copper 

Crimp

#12 to #8

#12

1

2

“Y” Type 

Copper 

Set-Screw

#12 to #8

#10 to #2

1

1

LET-BA

LET-BA-S

Solid 

Neutral

Copper 

Crimp

#10

#6

#4

2

1

1

Copper 

Crimp

#12 to #8

#12

1

2

LET-BB

LET-BB-S

Solid 

Neutral

Copper 

Crimp 

#10

#6

#4

2

1

1

Copper 

Crimp

#10

#6

#4

2

1
1

LET-BYC

LET-BYC-S

Solid 

Neutral

Copper 

Crimp

#10

#6

#4

2

1

1

“Y” Type 

Copper  

Set-Screw

#12 to #8

#10 to #2

1

1

LET-JJ

LET-JJ-S

Solid 

Neutral

Copper 

Set-Screw

#12 to #8

#10 to #2

1

1

Copper  

Set-Screw

#12 to #8

#10 to #2

1

1

LET-JYC

LET-JYC-S

Solid 

Neutral

Copper 

Set-Screw

#12 to #8

#10 to #2

1

1

 •

“Y” Type 

Copper  

Set-Screw

#12 to #8

#10 to #2

1

1

Ordering Information 

(Terminals)

TERMINAL DESIGNATION

TERMINAL DESCRIPTION

NUMBER OF WIRES  

PER TERMINAL

WIRE RANGE

SOLID 

WIRE

STRANDED 

WIRE

A

Copper Crimp

1

#12-#8

2

#12

B

Copper Crimp

2

#10

1

#6

1

#4

C

Copper Crimp

2

#8

1

#4

D

Copper Crimp

2

#6

1

#2

J

Copper Set-Screw

1

#12-#8

1

#10-#2

Y (2 terminals)

“Y” Style Copper Set-Screw

1

#12-#8

1

#10-#2

Ordering Information 

(Solid Neutral LET Fuse Holders)

POWRGARD-Electrical-Product-Catalog-html.html
background image

154

© 2018 Littelfuse POWR-GARD

®

 Products Catalog

littelfuse.com

Blocks and Holders

Fuse Bloc

ks and Holders

6

IN-LINE WATERTIGHT FUSE HOLDERS   

Two-Pole Breakaway Holder

Description

New Littelfuse LEXT-YY-S and LEX-YYC-S series breakaway 
fuse holders meet state and federal highway commission 
safety standards requiring fuse holders to readily disconnect 
from power in case of a pole knockdown.

The breakaway feature consists of a receptacle permanently 
attached to the power line and a fuse holder with matching 
terminals. If a knockdown occurs, the parts separate, leaving 
the energized conductor recessed and unexposed.

Applications

•  Street lighting
•  Marinas
•  Travel trailer parks
•  Physically strained fuse holders applications

Features/Benefits

•   LEXT-YY version has a permanently installed “neutral”  

slug to prevent the neutral from accidentally being fused 

•   LEX-YYC version allows for fusing of line-to-line loads or 

other applications requiring two fuses to disconnect  
under strain

•  Fiberglass polymer body resists damage from impact
•   Four “Y” type set-screw terminals accommodate a wide 

range of solid and stranded copper conductors

•  O-ring and terminal boots form watertight seal,  

preventing leakage

Specifications

Part numbers

 

 LEXT-YY-S  (Solid neutral) 

LEX-YYC-S

Voltage Rating

 

 600  Vac/Vdc 

Ampere Rating

 

 30  A

Interrupting Rating

 

 200 kA with Class CC Fuses

Y Terminals 

 

Tin Plated Copper w/ set screws

Wire Size

 

1 solid #12 to #8 or  

 

1 stranded #10 to #2

Approvals 

 

UL Recognized (File: E14721)

  

 

CSA Certified (File: LR7316)

Recommended Fuses

Accepts all Littelfuse Midget and Class CC series fuses 
CCMR ............................................................................... 27
KLDR, KLKR ...................................................................... 28
BLF, BLN, FLM, FLQ, KLK, KLKD ..................................... 30

Four WPB3 insulating boots come standard with the 
LEXT-YY-S and LEX-YY-C-S fuse holders. Molded from 
non-conductive engineering grade thermoplastic to deliver 
a watertight seal in corrosive environments, they can be 
trimmed to the specific conductor size insuring a snug fit.

Web Resources

Additional technical information:  

littelfuse.com/in-line

ORDERING 

NUMBER

FUSE  

TYPE

LOAD TERMINAL SELECTION

LINE TERMINAL SELECTION

TERMINAL 

TYPE

LOAD  

TERMINAL 

WIRE SIZE 

RANGE

NUMBER OF 

WIRES PER 

TERMINAL

SOLID  

WIRE

STRANDED 

 

WIRE

TERMINAL 

TYPE

LINE  

TERMINAL 

WIRE SIZE 

RANGE

NUMBER OF 

WIRES PER 

TERMINAL

SOLID  

WIRE

STRANDED 

WIRE

LEXTYYS   LEXT0YYSX

Midget  

Class CC

“Y” type  

Copper  

Set-Screw

#12 to #8

1

— 

“Y” type  

Copper  

Set-Screw

#12 to #8

#10 to #2 

1

#10 to #2

1

1

LEXYYCS

0LEXYYCSX

Midget   

Class CC

“Y” type  

Copper  

Set-Screw

#12 to #8

#10 to #2 

1

 —

“Y” type  

Copper  

Set-Screw

#12 to #8

#10 to #2 

1

1

1

Ordering Information

POWRGARD-Electrical-Product-Catalog-html.html
background image

155

littelfuse.com 

© 2018 Littelfuse POWR-GARD

®

 Products Catalog

Blocks and Holders

Fuse Bloc

ks and Holders

6

IN-LINE WATERTIGHT FUSE HOLDERS   

Two-Pole Breakaway Holder

9

/

16

"

( ASSEMBLED LENGTH )

11 

1

/

4

"

( ASSEMBLED LENGTH )

1

/

8

"

( ASSEMBLED LENGTH )

9

/

16

"

( ASSEMBLED LENGTH )

11 

1

/

4

"

( ASSEMBLED LENGTH )

1

/

8

"

( ASSEMBLED LENGTH )

PERMANENT

NEUTRAL SLUG

LEXT-YY-S

LEX-YY-C-S

Dimensions Inches

POWRGARD-Electrical-Product-Catalog-html.html
background image

156

© 2018 Littelfuse POWR-GARD

®

 Products Catalog

littelfuse.com

LCP Fused Selective Coordination Panel ..........................................157

LPS Series POWR-Switch (Shunt Trip Disconnect) .........................159

PRE-ENGINEERED SOLUTIONS

Table of Contents

Section Overview

POWR-GARD’s Pre-Engineered Solutions include  
custom-built electrical panels designed specifically  
to meet NEC

®

 requirements, as well as fused and  

non-fused disconnect switches.

POWRGARD-Electrical-Product-Catalog-html.html
background image

157

littelfuse.com 

© 2018 Littelfuse POWR-GARD

®

 Products Catalog

Pr

e-Engineer

ed Solutions

7

Pre-Engineered Solutions

LCP FUSED COORDINATION PANEL

Selective Coordination Panel

Features/Benefits

•  Meets NEC

®

 requirements

•  Class CC and J fuse holders have built-in  

open-circuit indication

•  Fast-acting UL Listed fuses protect against short circuits 
•  Feed through/sub feed lugs and 84-circuit  

configuration available

•  Ground and neutral bars
•  Copper bus standard

Advanced Design Options

•  MLO, Main Circuit Breaker, or Main Fused Pullout device
•  Fused Class T branch circuit pullout
•  Spare fuse cabinet accessory (holds six spare fuses)
•  SPD overvoltage protection 
•  Any NEMA enclosure required
•  High amperage sub-fed branch breakers (J60A) 

Specifications

Voltage Ratings

 

120/208, 120/240, 277/480 VAC

Main Bus Rating

 

100 A - 400 A Standard

Conductor Terminals

  6 AWG - 300 kcmil

UL Listed 

 

UL 67 Panel boards and UL 50 Enclosures

SCCR

  

100 kA Max*

 

* The following current-limiting fuses must be used directly upstream for 100kA SCCR.

1. 120/208 Volt Panels – LLNRK 100 A max, JTD_ID 200 A max, or JLLN 200 A max

2. 120/240 Volt Panels – LLSRK_ID 200 A max, JTD_ID 200 A max, or JLLS 200 A max

3. 277/480 Volt Panels – LLSRK_ID 200 A max, JTD_ID 200 A max, or JLLS 200 A max

Web Resources

For more information, visit: 

littelfuse.com/lcp

Description

The Littelfuse

®

 Coordination Panel provides a simple,  

time-saving solution for circuits that require selective 
coordination. This UL Listed product saves time and money,  
and increases safety by minimizing system downtime.

Applications

•  Elevators 
•  Hospitals
•  Hotel and Entertainment Industry
•  Amusement Parks and Stadiums 

Code Requirements

Systems required by the NEC

® 

to be selectively  

coordinated include:
•  Health Care Essential Electrical Systems (NEC 517.26)
•  Elevators (NEC 620.62)
•  Emergency Systems (NEC 700.32 in 2017) 

(NEC 700.28 in 2014)

•  Legally Required Standby Systems (NEC

  

701.18)

•  Critical Operations Power Systems (NEC 708.54) 

† Fuses quoted separately to meet panel specifications. Coordination for breakers >60 A depends on upstream and 

downstream devices. More specialized configurations are also available. Contact factory for more information.

Note: The Littelfuse LPS and LCP products are custom  

designed products that fall outside standard specifications. 

Customizable Options (select one from each column)

NUMBER  

OF 

CIRCUITS

VOLTAGE

MAIN DEVICES

NEUTRAL 

RATING

PANEL 

MOUNTING

PANEL  

DOOR

FUSE 

HOLDERS

BRANCH CIRCUIT 

PROTECTION 

DEVICES  

(1-3 POLE)

PANEL 

FEED

OPTIONAL LUGS

STANDARD

ENCLOSURE 

RATING

2 - 42

120/208 V 3P, 4 W 
120/240 V 1P, 3 W 
277/480 V 3P, 4 W

125, 225, 400 or 

600 A MLO

Up to 600 A MCB 

or Main Fuse 

Pullout

100% 
200%

Surface 

Flush

Standard 

Door-in-door

30 A Class CC 

60 A Class J 

>100A Class T

10 A- 60 A fused  

circuit breaker 

 

70 A-200 A 

fused pullouts 

 

Sub-fed circuit  

breakers >60 A 

(not fused)

Top 

Bottom

None 

Sub-Fed  

(MLO panels) 

Feed-Through 

NEMA 1 

NEMA 3R 
NEMA 4X 
NEMA 12

POWRGARD-Electrical-Product-Catalog-html.html
background image

158

© 2018 Littelfuse POWR-GARD

®

 Products Catalog

littelfuse.com

Pre-Engineered Solutions

Pr

e-Engineer

ed Solutions

7

LCP FUSED COORDINATION PANEL   

Selective Coordination Panel

Inner Line

GND Bus

Neutral Detail

Neutral Detail

(6 AWG - 300 kcmil) Cu/Al

Incoming Main Lugs

Cutler Hammer

GHB (480 V) or BAB (208 V)

Circuit Breakers

(or Pullouts)

LPSC001ID POWR-Safe

Dead front Class CC 600 VAC

Fuseholder for use with Littelfuse

CCMR, KLKR or KLDR Class CC fuses 

or POWR-Safe LPSJ holders for use 

the Class J fuses. (Fuses not included)

LPSC001ID POWR-Safe

Dead front Class CC 600 VAC

Fuseholder for use with Littelfuse

CCMR, KLKR or KLDR Class CC fuses 

or POWR-Safe LPSJ holders for use 

the Class J fuses. (Fuses not included)

Front Trim

Type 1 (NEMA) Enclosure

Front View with Front Removed

Hinged Door with 

Catch and Lock

Dimensions in mm [inches]

Dimensions in mm [inches]

GND Bus

Inner Line

(6 AWG - 300 kcmil) Cu/Al
Incoming Main Lugs

Cutler Hammer

GHB (480 V) or BAB (208 V)

Circuit Breakers

(or Pullouts)

Front Trim

Type 1 (NEMA) Enclosure

Front View with Front Removed

Hinged Door with 

Catch and Lock

[6.00]

152.4

[6.00]

152.4

[28.00]

711.2

[28.00]

711.2

[36.00]

914.4

[24.00]

609.6

[16.50]

419.1

[28.00]

711.2

[42.00]

1066.8

[30.00]

762

[16.50]

419.1

[9.69]

246.06

[8.94]

227.01

[28.00]

711.2

[9.69]

246.06

[8.94]

227.01

Dimensions mm (inches)

Standard Coordination Panel Board (up to 30 circuits)

Standard Coordination Panel Board (31-42 circuits)

Inner Line

GND Bus

Neutral Detail

Neutral Detail

(6 AWG - 300 kcmil) Cu/Al

Incoming Main Lugs

Cutler Hammer

GHB (480 V) or BAB (208 V)

Circuit Breakers

(or Pullouts)

LPSC001ID POWR-Safe

Dead front Class CC 600 VAC

Fuseholder for use with Littelfuse

CCMR, KLKR or KLDR Class CC fuses 

or POWR-Safe LPSJ holders for use 

the Class J fuses. (Fuses not included)

LPSC001ID POWR-Safe

Dead front Class CC 600 VAC

Fuseholder for use with Littelfuse

CCMR, KLKR or KLDR Class CC fuses 

or POWR-Safe LPSJ holders for use 

the Class J fuses. (Fuses not included)

Front Trim

Type 1 (NEMA) Enclosure

Front View with Front Removed

Hinged Door with 

Catch and Lock

Dimensions in mm [inches]

Dimensions in mm [inches]

GND Bus

Inner Line

(6 AWG - 300 kcmil) Cu/Al
Incoming Main Lugs

Cutler Hammer

GHB (480 V) or BAB (208 V)

Circuit Breakers

(or Pullouts)

Front Trim

Type 1 (NEMA) Enclosure

Front View with Front Removed

Hinged Door with 

Catch and Lock

[6.00]

152.4

[6.00]

152.4

[28.00]

711.2

[28.00]

711.2

[36.00]

914.4

[24.00]

609.6

[16.50]

419.1

[28.00]

711.2

[42.00]

1066.8

[30.00]

762

[16.50]

419.1

[9.69]

246.06

[8.94]

227.01

[28.00]

711.2

[9.69]

246.06

[8.94]

227.01

Note: The Littelfuse LCP Series products are custom designed 
products that fall outside standard specifications.

Dimensions may change depending on panel components. 
More specialized configurations are also available.  
Contact factory for more information.

POWRGARD-Electrical-Product-Catalog-html.html
background image

159

littelfuse.com 

© 2018 Littelfuse POWR-GARD

®

 Products Catalog

Pre-Engineered Solutions

Pr

e-Engineer

ed Solutions

7

LPS SERIES SHUNT TRIP DISCONNECT SWITCH

Description 

The Littelfuse

®

 LPS Series provides a simple and 

economical solution for applications that require selective 

coordination and shunt trip capabilities. 

Utilizes Class J time-delay fuses that are easily 

coordinated with other system overcurrent devices. 

The shunt trip capability allows the LPS Series to meet 

the ANSI/ASME standard that requires power to be 

automatically disconnected before water is turned on by 

the fire safety system.

Applications

•  Elevator circuits 
•  Data processing rooms
•  Building emergency systems

Web Resources

Download technical information: 

littelfuse.com/lps

Specifications 

(Disconnect Switch)

Supply Voltage Rating*

 

208 V, 240 V, 480 V

Ampere Range

 

30 A, 60 A, 100 A, 200 A, 400 A

Enclosures

 

NEMA 1 (standard)

 

NEMA 3R, NEMA 4, NEMA 12 (optional)

Approvals

 

 UL Listed (File: E219511)

*Contact factory for 600 V options.

Specifications 

(Shunt Trip)

Voltage Rating

 

120 V, 60 Hz 

Max Inrush

 

4 A

Max On time

 

1.5 cycles

Momentary  Inrush

 

140 VA

Features/Benefits

•  Pre-engineered single unit, which makes procurement 

easier than systems with multiple components 

•  Reduces labor costs up to 66% and total installation 

costs by over 30%

•  Pre-installed UL Listed Class J fuse holder – unique  

Class J size eliminates the need for any rejection type 
fuse clips

•  Optional features offer flexibility for a variety of applications
•  Color coded control power terminal blocks
•  UL Listed package
•  Cu and AI wire rated
•  Pre-wired control circuits lower installation time
•   Lockable operating handle meets all code and safety 

requirements (accepts up to 3 locks)

•  Every unit is fully tested before delivery

Options

•  Control power transformer with fuses and blocks
•  Fire safety interface relay
•  Key to test switch
•  Pilot light ”On”
•  Isolated neutral lug
•   Mechanical interlock auxiliary contact for hydraulic 

elevators with automatic recall (5 amp 120 Vac rated)

•  Fire alarm voltage monitoring relay
•  Option to bypass alarm when performing maintenance 

(-AZ option)

•  XPress-Ship™ service offers 48 hours direct shipment 

service on select fully loaded LPS Series Shunt Trip 

Disconnect Switches

POWRGARD-Electrical-Product-Catalog-html.html
background image

160

© 2018 Littelfuse POWR-GARD

®

 Products Catalog

littelfuse.com

7

Pre-Engineered Solutions

LPS SERIES SHUNT TRIP DISCONNECT SWITCH

LITTELFUSE 

SWITCH 

CATALOG 

NUMBER

CONTROL 

POWER  

TRANSFORMER 

STD. 100VA WITH 

PRI & SEC FUSE 

(120 V SEC.)

FIRE SAFETY  

INTERFACE RELAY  

(3 PDT, 10 A, 120 V)

KEY TO  

TEST SWITCH

PILOT LIGHT 

“ON”

ISOLATED 

NEUTRAL  

LUG

MECHANICAL 

INTERLOCK AUX. 

CONTACT FOR  

HYDRAULIC 

ELEVATORS W/ 

AUTOMATIC RECALL 

(5 A ,120 VAC)

FIRE ALARM  

SHUNT TRIP 

VOLTAGE 

MONITORING  

RELAY 

OPTIONAL 

ENCLOSURES

AZ OPTION 

(BYPASS  

FIRE  

ALARM 

DURING

MAINT. 

TEST)

REQUIRED

REQUIRED

REQUIRED

OPTIONAL

OPTIONAL

OPTIONAL

REQUIRED

REQUIRED

OPTIONAL

OPTIONAL

BASE

 

CATALOG #

RATING

RATING

OPTION

 

CODE

RATING

OPTION

 

CODE

RATING

OPTION

 

CODE

RATING

OPTION

 

CODE

RATING

OPTION

 

CODE

RATING

OPTION

 

CODE

RATING

OPTION

 

CODE

RATING

OPTION

 

CODE

OPTION

 

CODE

LPS3* 30 A 208 V T20 24 VDC Coil R2 120 V

K Red

R 30–60 A N6 1 NO & 1 NC

A

1-Pole

F1

NEMA 3R

U

AZ

LPS6* 60 A 240 V T24 120 VAC Coil R1

Green

G

2 NO & 2 NC

B

3-Pole

F3

NEMA 4

Y

LPS1* 100 A 480 V T48

White W

100 A

N1

NEMA 12

Z

LPS2* 200 A

200 A

N2

LPS4* 400 A

400 A

N4

*Part Numbers: Any voltage can be paired with any amperage. Options can be any combination but the ratings must match the option code. Not all options are required. 
Contact factory for 600 V control power transformer option.

Note: When ordering - desired options must be listed in the order shown above. Typical options include Control Power Transformer, Fire Safety Interface Relay,  

Mechanical Interlock Auxiliary Contact and Fire Alarm Voltage Monitoring Relay.

 

Example Catalog Number from Desired Options

Dimensions of Enclosure

CATALOG  

SERIES

AMPERE  

RATING

NEMA 1  

DIMENSIONS

NEMA 3R  

DIMENSIONS

NEMA 4, 12  

DIMENSIONS

LUG SIZE

SHIPPING  

WEIGHT (LBS)

LPS3

30

24”H x 20”W x 9”D

24”H x 20”W x 8”D

24”H x 20”W x 10”D

#14 - #8 AL or CU

75

LPS6

60

24”H x 20”W x 9”D

24”H x 20”W x 8”D

24”H x 20”W x 10”D

#14 - #2 AL or CU

75

LPS1

100

24”H x 20”W x 9”D

24”H x 20”W x 8”D

24”H x 20”W x 10”D

#8 - 1/0 AL or CU

75

LPS2

200

30”H x 20”W x 9”D

30”H x 24”W x 8”D

30”H x 20”W x 10”D

#6 - 250kcmil AL or CU

85, 115*, 120**

LPS4

400

48”H x 36”W x 10”D

48”H x 36”W x 12”D

48”H x 36”W x 10”D

3/0 AL or CU

225 

* NEMA 3R
** NEMA 4 & NEMA 12

Note: Over-size enclosures used to accommodate control power transformer, interface relay and terminal blocks.

Ordering Information

Complete catalog numbers consist of switch catalog numbers and the desired options. See example below.

XPress-Ship

AMPERE 

RATING

VOLTAGE 

RATING

CATALOG NUMBER

XPress-Ship

 

ORDERING NUMBER

60 A

480 V

LPS6T48R1KGN6BF3-AZ

XPS6T48R1KGN6F3-AZ*

US Only

100 A

480 V

LPS1T48R1KGN1BF3-AZ 

XPS1T48R1KGN1F3-AZ*

Littelfuse XPress-Ship

 service offers 48 hours** direct-shipment 

service on select fully-loaded LPS Series Shunt Trip Disconnect 

Switches to meet your urgent system requirements on time.

XPress-Ship

 switches include three JTD_ID Series  

fuses rated at the device’s maximum ampacity.

100 A

480 V

LPS1T48R1KGN1BF3 

XPS1T48R1KGN1BF3 

200 A

208 V

LPS2T20R1KGN2BF3-AZ 

XPS2T20R1KGN2F3-AZ* 

200 A

480 V

LPS2T48R1KGN2BF3 

XPS2T48R1KGN2BF3 

*AZ option includes B & F3 options.

**XPress-Ship

 48 hour service requires ordering from XPress-Ship

 Ordering Numbers shown above and is subject to a maximum of any combination of three switches per customer order.  

XPress-Ship

 service offers 48 hour shipment from the factory through standard ground transportation. For expedited delivery, contact your local Littelfuse Representative.

LPS1  T20  R1  K  G  N1  B F3  U  –  AZ  = 

Littelfuse Catalog Number LPS1T20R1KGN1BF3U-AZ

POWRGARD-Electrical-Product-Catalog-html.html
background image

161

littelfuse.com 

© 2018 Littelfuse POWR-GARD

®

 Products Catalog

Pre-Engineered Solutions

Pr

e-Engineer

ed Solutions

7

Shunt-Trip Operation

The disconnecting means is a shunt-trip operated switch. The control power source for the shunt-trip operator is a 120 Vac 

supply originating in the Littelfuse LPS Series shunt trip disconnect switch. Current to the shunt-trip device is switched by an 

isolation relay, which is in turn controlled by the FACP (Fire Alarm Control Panel). 
The control signal may be either 24 Vdc from the FACP (option R2) or a “dry” contact closure in the FACP (option R1).  

In the case of a “dry” contact closure, the sensing voltage is 120 VAC originating in the Littelfuse LPS Series shunt trip 

disconnect switch.

CAUTION:  When using the “dry” contact closure, option 1, DO NOT supply 120 Vac from the FACP as equipment 

damage or personnel injury may occur. 

A key test option (option K) is available to test the shunt-trip circuit. 

Supervisory Indication

Additionally, an optional separate relay can be specified to monitor the 120 Vac control power source in the Littelfuse 

POWR-Switch LPS Series disconnect. This relay (option FR) is used to provide supervisory indication of “Control Power 

Available” as required by NFPA 72 Section 6.15.4.4.

All Littelfuse LPS Series shunt trip disconnect switches are UL Listed and designed for safe access by qualified personnel. 

When maintenance or shutdown service is required, no energized parts are exposed inside the enclosure when the 

disconnect switch is manually turned to the OFF position. For proper maintenance safety precautions, always turn off 

incoming power to the Littelfuse LPS Series shunt trip disconnect switch when possible. When servicing any live electrical 

equipment, always wear appropriate personal protective equipment.

Fuse Table

POWR-SWITCH VOLTAGE/

TRANSFORMER TYPE

PRIMARY FUSES (2)

SECONDARY FUSE (1)

FUSE TYPE

FUSE RATING (AMPS)

FUSE TYPE

FUSE RATING (AMPS)

208/120 Vac

KLDR001

1

FLM1.12

1-1/8

240/120 Vac

 KLDR500

1/2

FLM1.12

1-1/8

480/120 Vac

KLDR400

4/10

FLM1.12

1-1/8

600/120 Vac

KLDR250

1/4

FLM1.12

1-1/8

Power Wiring Torque  Specifications

CHARACTERISTICS

LPS3

LPS6

LPS1

LPS2

LPS4

Amps

30

60

100

200

400

AWG

10

6

3

3/0

(2) 3/0

Molded Case Switch (MCS) Mfr.

ABB

ABB

ABB

ABB

ABB

MCS Catalog No.

TS3H150DBBS4

TS3H150DBBS4

TS3H150DBBS4

TS3H225DQQS4

T5H400DWS4

MCS Lug Type

K4TB

K4TB

K4TB

K4TD

KT5400-3

MCS Lug Torque (in-lbs)

50 in-lb

*

50 in-lb

*

50 in-lb

*

200 in-lb

*

275 in-lb

*

Fuse Block Mfr.

LITTELFUSE

LITTELFUSE

LITTELFUSE

LITTELFUSE

LITTELFUSE

Fuse Block Catalog No.

LFJ60030-3

LFJ60060-3

LFJ60100-3

LFJ60200-3

LFJ60400-3

Fuse Lug Torque (in-lbs)

25 in-lb

45 in-lb

120 in-lb

275 in-lb

275 in-lb

Neutral Lug Mfr.

LITTELFUSE

LITTELFUSE

LITTELFUSE

LITTELFUSE

LITTELFUSE

Neutral Lug Catalog No.

LS21211

LS21211

LS21211

LS31231

LS455712

Neutral Lug Torque (in-lbs)

35 in-lb

45-120 in-lb

120 in-lb

275 in-lb

500 in-lb

Ground Lug Mfr.

PANDUIT

PANDUIT

PANDUIT

PANDUIT

PANDUIT

Ground Lug Catalog No.

LAMA 1/0-14-Q

LAMA 1/0-14-Q

LAMA 1/0-14-Q

LAMA 250-56-Q

LAMA 350-38-Q

Ground Lug Torque

25 in-lb

45 in-lb

120 in-lb

275 in-lb

275 in-lb

Note: Torque specs apply only to wire compression screws. Other requirements may exist for attachment of lugs and accessories to these devices. See manufacturer data.

*Per ABB.com 
† Littelfuse Device nameplate data. 
‡ Panduit, “Torque Chart for Aluminum Mechanical Connectors”.

LPS SERIES SHUNT TRIP DISCONNECT SWITCH

POWRGARD-Electrical-Product-Catalog-html.html
background image

162

© 2018 Littelfuse POWR-GARD

®

 Products Catalog

littelfuse.com

Section Overview

System overvoltage is a growing concern in the electrical industry. 
Component miniaturization has resulted in increased sensitivity 
to many devices. The majority of these devices are unable to 
handle high currents that result from Electrostatic Discharge (ESD) 
and other voltage transients. Littelfuse

®

 offers a broad range of 

overvoltage protection to safeguard against these conditions.

Industrial Varistor Products ....................................................... 163

LVSP Series Surge Suppression Fuses .................................... 165

BVSP Series Surge Protection Device ...................................... 166

SUPPRESSION PRODUCTS

Table of Contents

POWRGARD-Electrical-Product-Catalog-html.html
background image

163

littelfuse.com 

© 2018 Littelfuse POWR-GARD

®

 Products Catalog

Suppr

ession Pr

oducts

8

Suppression Products

OVERVOLTAGE SUPPRESSION PRODUCTS

Varistors, Surge Fuses and Varistor Assemblies

What Are Transients?

Transients are short duration surges of electrical energy that 
result from the sudden release of previously stored energy.  
In terms of electrical and electronic circuits, this energy can  
be released through intentional, controlled switching action,  
or induced into a circuit from external sources. If the 
voltage magnitude of the transient is large enough, circuit 
component damage or malfunction of the circuit may result.

Transient Voltage Scenarios

The switching of inductive loads generates high energy 
transients that increase in magnitude with increasingly 
heavy loads. When the inductive load is switched off, the 
collapsing magnetic field is converted into electrical energy, 
which takes the form of a double exponential transient. 
Depending on the source, these transients can be as large 
as hundreds of volts and hundreds of amps with duration 
times of 400 milliseconds.

Typical sources of inductive transients are:
•  Generators 

•  Motors

•  Relays  

•  Transformers

These examples are extremely common in electrical and 
electronic systems. Because the sizes of the loads vary 
according to the application, the wave shape, duration,  
peak current, and peak voltage are all variables which  
exist in real world transients. Once these variables  
can be approximated, a suitable suppressor technology  
can be selected.

Overvoltage Applications

•  Industrial, High Energy AC Products such as Solenoids,  

Motor Drives and Robotics 

•  Telecommunications Products
•  UPS, AC Panels, Power Supplies, Circuit Breakers  

(TVSS Products)

•  Portable and Automotive Electronic Equipment

Lightning  Induced Transients

Transients induced by lightning are not the result of a direct 
strike. When a lightning strike occurs, the event creates 
a magnetic field which can induce transients of large 
magnitude in nearby electrical cables.

Technological Solutions for  

Transient Threats

Because of the various types of transients and applications, 
it is necessary to employ protection devices with different 
characteristics in different applications. Littelfuse offers the 
broadest range of circuit protection technologies.

Overvoltage Protection Portfolio Includes:

 

MOVs (Metal Oxide Varistors)

A ceramic technology that offers medium to very high 
energy ratings for a wide range of applications. Available in 
screw terminal, radial, square and axial leaded connections.

Discrete TVS Diode

This Silicon Avalanche Diode Technology is available in 
surface mount and axial leaded packages. It offers protection 
from medium to very high energy transients and can be 
used in wide range of applications.

Transient Sources and Magnitude

VOLTAGE

CURRENT

RISE-TIME DURATION

Lightning

25 kV

20 kA

10 µs

50 ms

Switching

600 V

500 A

50 µs

500 ms

EMP

300 kV

10 A

20 ns

1 ms

ESD

15 kV

30 A

1-5 ns

100 ns

POWRGARD-Electrical-Product-Catalog-html.html
background image

164

© 2018 Littelfuse POWR-GARD

®

 Products Catalog

littelfuse.com

Suppr

ession Pr

oducts

Suppression Products

8

OVERVOLTAGE SUPPRESSION PRODUCTS

Varistors, Surge Fuses and Varistor Assemblies

Industrial High Energy Terminal MOV

SERIES  

NAME

1

OPERATING 

AC VOLTAGE 

RANGE

OPERATING 

DC VOLTAGE 

RANGE

PEAK 

CURRENT 

RANGE

2

 (A) 

PEAK 

ENERGY 

RANGE

3

OPERATING 

TEMPERATURE 

RANGE

MOUNT/

FORM 

FACTOR

DISC SIZE

AGENCY

ROHS

LEAD FREE

UL

CSA

BA/BB

130-2800

175-3500

50,000 
70,000

450-10,000

-55 to +85°C

Screw /  

Clip 

Terminals

60 mm

DA/DB

130-750

175-970

40,000

270-1050

40 mm

• •

HA

130-750

175-970

25,000 
40,000

200-1050

Industrial 
Packaged 

Radial Leads

32, 40 mm

• •

TMOV34S

®

115-750

40,000

235-1050

34 mm

• •

HB34,  

HG34, HF34

130-750

175-970

40,000

270-1050

34 mm

• •

DHB34

250-2800

330-3500

20,000 
70,000

330-10,000

34 mm

CA

250-2800

330-3500

20,000 
70,000

330-10,000

Bare Disc

60 mm

High Power TVS Diodes

SERIES 

NAME

1

PACKAGE 

TYPE

REVERSE STANDOFF 

VOLTAGE (V

R

)

PEAK PULSE 

POWER RANGE 

1

 (P

PP

)

PEAK PULSE 

CURRENT

(I

PP  

8x20µs)

OPERATING 

TEMPERATURE

HALOGEN  

FREE

ROHS  

COMPLIANT

15KPA

P600

17-280

15,000 W

Not Applicable

-85° to +302° F 

(-55° to +175° C)

20KPA

P600

20.0-300

20,000 W

30KPA

P600

28.0-288

30,000 W

AK6

Radial Lead

58-430

NA

6,000 A

-67° to +347° F 

(-55° to +150° C)

AK10

Radial Lead

58-430

NA

10,000 A

Radial Leaded MOV

SERIES  

NAME

1

OPERATING 

AC VOLTAGE 

RANGE

OPERATING 

DC VOLTAGE 

RANGE

PEAK 

CURRENT 

RANGE

2

 (A) 

PEAK 

ENERGY 

RANGE

3

OPERATING 

TEMPERATURE

RANGE

MOUNT/

FORM 

FACTOR

DISC SIZE

AGENCY

ROHS

LEAD FREE

UL

CSA

VDE

CECC

TMOV

®

/iTMOV

®

115-750

6000-10,000

35-480

-55 to +85°C

Radial  

Leaded

14, 20, 34 mm • • • • •

TMOV

®

 

25S

115-750

20,000

170-670

25 mm

UltraMOV

TM

130-625

170-825

1750-10,000

12.5-720

7, 10, 14, 20, 

25 mm

• • • • •

UltraMOV

TM

 25S

115-750

150-970

22,000

230-890

25 mm

• • • • •

C-III

130-660

3500-9000

40-530

10, 14, 20 mm • • •

LA

130-1000

175-1200

1200-6500

11-360

7, 10, 14,  

20 mm

• • • • •

ZA

4-460

5.5-615

50-6500

0.1-52

5, 7, 10, 14, 

20 mm

• • •

1. Detailed information about most product series listed here can be found on littelfuse.com/varistor 

2. Not an applicable parameter for Crowbar devices 

3. Value shown in Joules

POWRGARD-Electrical-Product-Catalog-html.html
background image

165

littelfuse.com 

© 2018 Littelfuse POWR-GARD

®

 Products Catalog

Suppr

ession Pr

oducts

Suppression Products

8

LVSP SURGE SUPPRESSION FUSE

600 Vac  •  5-100 kA

Specifications

Voltage Rating

 

600 Vac

Interrupting Rating

 

200 kA

Ratings

 

5 – 100 kA 8 x 20 µs surge withstand

Approvals

 

UL Recognized (File: E71611)

Environmental

 

RoHs Compliant

Electrical Specifications

CATALOG

NUMBER

8 X 20 µS  

SURGE  

RATING

NOMINAL 

MELTING I

2

(A

2

S)

NOMINAL

CLEARING I

2

(A

2

S)

Ipeak@100 kA

60 HZ (A)

LVSP5

5,000

359

981

3,700

LVSP10

10,000

1,300

3,210

5,823

LVSP15

15,000

3,267

6,235

7,765

LVSP20

20,000

4,940

11,710

8,135

LVSP30

30,000

11,950

35,325

12,478

LVSP40

40,000

20,550

61,700

15,250

LVSP60

60,000

39,240

145,555

19,604

LVSP80

80,000

75,000

254,000

24,600

LVSP100

100,000

Contact Factory

Ordering Information

SURGE

  

RA

TING

CATALOG/ORDERING NUMBER

CARTRIDGE

LEADED

BOLT-IN

5

LVSP52 LVSP0005TX2 LVSP5R LVSP0005TXR

10 LVSP102 LVSP0010TX2 LVSP10R LVSP0010TXR

15 LVSP152 LVSP0015TX2 LVSP15R LVSP0015TXR

20 LVSP202 LVSP0020TX2 LVSP20R LVSP0020TXR

30 LVSP302 LVSP0030TX2

LVSP30

LVSP0030T

40 LVSP402 LVSP0040TX2

LVSP40

LVSP0040T

60 LVSP60-2 LVSP0060TX2

LVSP60

LVSP0060T

80 LVSP802 LVSP0080TX2

LVSP80

LVSP0080T

100

LVSP100-L LVSP0100VXL

Dimensions Inches (mm)

.328

(8.33)

1.5

(38.1)

.410

(10.41)

2.25

(57.15)

.812

(20.62)

.328

(8.33)

1.53

(38.86)

.410

(10.41)

Cartridge 5-20 A

Bolt-In 30-80 A

Cartridge 30-80 A

Bolt-In 100 A

Leaded 5-20 A

4.62

(117.35)

3.62

(91.95)

2.62

(66.55)

2.25

(57.15)

3.04

(77.21)

.816

(20.73)

Description 

The Littelfuse

®

 Varistor Protection (LVSP) Fuses are intended 

for the protection of TVSS products. The LVSP series has 
been designed to survive the 8 x 20 µs lightning surges 
described in various standards (UL 1449, IEC 61000-4-5 
and IEEE C62.41) without opening. This allows the TVSS to 
perform the necessary suppression. The LVSP is not rated 
for continuous current and the ratings are specific 8 x 20 µs 
surge capability. The LVSP series can be used to facilitate 
TVSS module compliance to UL 1449 in permanently 
connected applications (abnormal overvoltage, unlimited 
current conditions).

Features/Benefits

•  Very current limiting under AC short-circuit conditions
•  Available in multiple mounting configurations  

(cartridge, bolt-in, PC board mount)

•  Provides short circuit protection in TVSS systems and 

complements the Littelfuse line of overvoltage products 
(HA, HB34, TMOV

®

 and iTMOV

®

 varistors as well  

as the AK-10 series TVS diodes)

Applications

•  TVSS products
•  Surge arrestors

Recommended Fuse Blocks

LVSP (5-20)-2

  

L60030M (open block) ................................................... 107 
LPSM (dead front) ......................................................... 117

LVSP (30-80)-2

  

LFJ60030 (open block) ................................................... 91 
LFPSJ30 (dead front) ..................................................... 118

LVSP (100)

 

LFJ60100 (open block) .................................................... 91

Web Resources

Download other technical information:  

littelfuse.com/lvsp

POWRGARD-Electrical-Product-Catalog-html.html
background image

166

© 2018 Littelfuse POWR-GARD

®

 Products Catalog

littelfuse.com

Suppr

ession Pr

oducts

8

Suppression Products

BVSP SERIES SURGE PROTECTION DEVICE

600 Vac • 10 kA

Specifications

Voltage Rating

 

600 Vac

Interrupting Rating

 

200 kA

Ratings

 

10 kA 8 x 20 µs surge withstand

Ordering Information

SERIES

8 X 20 µS 

SURGE 

RATING (A)

PACKAGE 

QUANTITY

MOUNTING 

METHOD

CATALOG

NUMBER

ORDERING

NUMBER

BVSP

10,000

10

Ferrule

BVSP10-2

BVSP0010TX2

BVSP

10,000

10

PCB Tabs

BVSP10-R

BVSP0010TXR

Electrical Specifications

CATALOG

NUMBER

8 X 20 µS 

SURGE  

RATING (A)

NOMINAL 

MELTING I

2

(A

2

S)

NOMINAL

CLEARING I

2

(A

2

S)

Ipeak @ 200 kA

60 HZ (A)

BVSP10-2

10,000

1,580

9,960

8,160

BVSP10-R

10,000

1,580

9,960

8,160

Dimensions Inches (mm)

.328

(8.33)

1.5

(38.1)

.410

(10.41)

.328

(8.33)

1.53

(38.86)

.410

(10.41)

Ferrule Version

PCB Version

Description 

The Littelfuse

®

 BVSP surge protection device (SPD) is 

intended for the protection of transient voltage surge 
suppressions (TVSS) systems. The BVSP series has been 
designed to survive the 8 x 20 µs lightning surges described 
in various standards (UL 1449, IEC 61000-4-5 and IEEE 
C62.41) without opening. This allows the TVSS to perform 
the necessary suppression. The BVSP is not rated for 
continuous current and the ratings are specific 8 x 20 µs 
surge capability. The BVSP series can be used to facilitate 
TVSS module compliance to UL 1449 in permanently 
connected applications (abnormal overvoltage, unlimited 
current conditions). 

Features/Benefits

•  Very current limiting under AC short-circuit conditions
•  Available in ferrule and printed circuit board (PCB) 

configurations 

•  Provides short circuit protection in TVSS systems and 

complements the Littelfuse line of overvoltage products 
(HA, HB34, TMOV

®

 and iTMOV

®

 varistors as well  

as the AK-10 series TVS diodes)

Applications

•  TVSS products
•  Surge arrestors

Recommended Fuse Holders

 

L60030M (open block) ................................................... 107

LPSM (dead front) ......................................................... 117

POWRGARD-Electrical-Product-Catalog-html.html
background image

167

littelfuse.com 

© 2018 Littelfuse POWR-GARD

®

 Products Catalog

Fuse Reducers ................................................................................... 166

Box Cover Units ..................................................................................167

Fuse Replacement & Custom Kits ................................................... 168

Electronic Fuse Display & Spare Fuse Cabinet .................................169

MISCELLANEOUS PRODUCTS

Table of Contents

Section Overview

Miscellaneous Accessories include custom-built solutions designed  
specifically to meet code requirements, fuse reducers, box cover units 
and an assortment of useful fuse and holder accessories.

POWRGARD-Electrical-Product-Catalog-html.html
background image

168

© 2018 Littelfuse POWR-GARD

®

 Products Catalog

littelfuse.com

9

Miscellaneous Accessories

A

ccessor

ies

FUSE REDUCERS

¶ Fuse and reducer com bi na tion is slightly larger in diameter than 100 A Class J fuses. For 

specific  ap pli ca tions,  contact  factory.   
Class J reducers cannot be used in bolt-on applications.

Description

Littelfuse

®

 fuse reducers allow smaller size fuses to be 

installed into existing fuse clips to prevent overfusing.

Features/Benefits

•  Simple installation
•  Reduces inventory requirements
•  Silver brazed joints for maximum strength
•  UL Listed (File: E136855)
•  CSA Certified (File: LR92899)

Web Resources

Download technical information: 

 littelfuse.com/lruh

 

littelfuse.com/lrur 
littelfuse.com/lruj

Dimensions

Refer to the fuse section of this catalog for fuse dimensions

Recommended Fuses

Class H/K5 Fuse Reducers

NLN / NLS ...........................................................................20 

Class R Fuse Reducers

FLNR / FLSR ....................................................................... 17  
FLNR_ID / FLSR_ID ............................................................ 17 
IDSR ................................................................................... 16  
LLNRK / LLSRK ................................................................... 13  
LLSRK_ID ........................................................................... 13 
KLNR / KLSR ....................................................................... 15

Class J Fuse Reducers

JTD_ID / JTD ..............................................................................21  
JLS ..............................................................................................22

600 Volt

CATALOG / ORDERING NUMBER

FUSE CLIP

FUSE  

CASE SIZE

CLASS H/K5

CLASS R

CLASS J

LRU 663 

LRU 663 R

LRUJ63

60 A

30 A

LRU 216 

LRU 216 R

LRUJ13

100 A

30 A

LRU 616 

LRU 616 R

LRUJ16

100 A

60 A

LRU 626 

LRU 626 R

LRUJ26

200 A

60 A

LRU 2621 

LRU 2621 R

LRUJ21

200 A

100 A

LRU 2641 

LRU 2641 R

LRUJ41

400 A

100 A

LRU 2642 

LRU 2642 R

LRUJ42

400 A

200 A

LRU 2661 

LRU 2661 R

600 A

100 A

LRU 2662 

LRU 2662 R

600 A

200 A

LRU 2664 

LRU 2664 R

LRUJ64

600 A

400 A

†Only one reducer required.

Ordering Information

250 Volt

CATALOG / ORDERING NUMBER

FUSE  CLIP

FUSE  

CASE SIZE

CLASS H/K5

CLASS R

LRU 263

LRU 263 R

60 A

30 A

LRU 213

LRU 213 R

100 A

30 A

LRU 216 

LRU 216 R

100 A

60 A

LRU 226 

LRU 226 R

200 A

60 A

LRU 2621 

LRU 2621 R

200 A

100 A

LRU 2641 

LRU 2641 R

400 A

100 A

LRU 2642 

LRU 2642 R

400 A

200 A

LRU 2661 

LRU 2661 R

600 A

100 A

LRU 2662 

LRU 2662 R

600 A

200 A

LRU 2664 

LRU 2664 R*

600 A

400 A

*Only one reducer required.

POWRGARD-Electrical-Product-Catalog-html.html
background image

169

littelfuse.com 

© 2018 Littelfuse POWR-GARD

®

 Products Catalog

Miscellaneous Accessories

A

ccessor

ies

9

BOX COVER UNITS

Description

Provide eco nom i cal method of protecting small motors 
against overcurrent damage. 

Applications

•  Edison-Base plug fuses (TOO, TLO) 
•  Type S plug fuses (SOO, SLO) with adapters (SAO)

Specifications

Voltage Rating

 

125 V

Max Ampere Rating

  15 A

Approvals

 

UL Listed parts (Except LSSY-RL)

 

Web Resources

Sample requests, downloadable CAD drawings and other 
technical information: 

www.littelfuse.com/boxcover

FIGURE 

NUMBER

LITTELFUSE  

PART NUMBER

BOX COVER FEATURES

TO BE  

MOUNTED ON

EDISON BASE 

FUSE HOLDER

GROUNDING 

RECEPTACLE

SINGLE POLE 

SWITCH

TWO POLE 

SWITCH

PILOT  

LIGHT

1

LSOU

1

2-1⁄4" Handy Box

LSOW

1

2-3⁄4” Switch Box

LSOX

1

4" Octagon Box

LSOY

1

4" Square Box

2

LSRU*

1

1

2-1⁄4" Handy Box

LSRW

1

1

2-3⁄4” Switch Box

LSRY

1

1

4" Square Box

3

LSSU*

1

1

2-1⁄4" Handy Box

LSSW

1

1

2-3⁄4" Switch Box

LSSX

1

1

4" Octagon Box

LSSY*

1

1

4" Square Box

4

LSOY-B

2

4" Square Box

5

LSSY-L

1

1

1

4" Square Box

6

LSSY-RL

1

1

1

1

4" Square Box

7

LSCY

2

2

4" Square Box

8

LSKA

2

1 (250V)

4-11⁄16" Square Box

9

LSTY

2

1

4" Square Box

*UL Listed (File No. E308725)

POWRGARD-Electrical-Product-Catalog-html.html
background image

170

© 2018 Littelfuse POWR-GARD

®

 Products Catalog

littelfuse.com

9

Miscellaneous Accessories

A

ccessor

ies

FRCK SERIES FUSE REPLACEMENT & CUSTOM KITS

Description

Fuse Replacement and Custom Kits help reduce downtime 
by providing mobile storage and organization for replacement 
fuses. The FRCK Series provides a custom solution that can 
be filled with multiple fuse series that are more common or 
specific to your needs or application.

 

Features/Benefits

 

n

Custom sized compartments fit various fuse series

 

n

Large kit features a convenient handle for carrying

 

n

Kits are sold empty for complete customization

 

n

Each kit comes with a blank label on the inside cover 
so users can write in part numbers or use bar code 
labels to help with refills.

Web Resources

Additional information: 

littelfuse.com/kits

Ordering Information

KIT SIZE

DIMENSIONS

L X W X H (INCHES)

DESCRIPTION

CATALOG NUMBER

Large

16.00 x 12.00 x 10.00

Mobile organizer with 2 small and 3 medium drawers; 

Unique FRACK Label for Oil & Gas

FRCK-OG 

Large

16.00 x 12.00 x 10.00

Mobile organizer with 2 small and 3 medium drawers

FRCK-LG

Medium

14.00 x 9.13 x 2.00

14” organizer with adjustable dividers

FRCK-MD

Small

8.25 x 4.25 x 1.00

8” organizer with up to 6 compartments

FRCK-SM

FRCK-SM

FRCK-MD

FRCK-OG & FRCK-LG

POWRGARD-Electrical-Product-Catalog-html.html
background image

171

littelfuse.com 

© 2018 Littelfuse POWR-GARD

®

 Products Catalog

Miscellaneous Accessories

A

ccessor

ies

9

FUSE DISPLAYS AND CABINETS

3AB (CERAMIC)

NORMAL-BLO FUSES

3AB (CERAMIC)

SLO-BLO

®

 FUSES

QUAN TI TY

CATALOG 

NUMBER

QUAN TI TY

CATALOG

NUMBER

25

314  15A

25

326  8A

25

314  20A

20

326  10A

25

314  30A

Description

•  Steel cabinet with piano hinges that can be locked 

to prevent un au tho rized access. Weather stripped to 
reduce the ac cu mu la tion of dust, dirt and moisture 

•  Con ve nient inventory card located inside door.  

Measures 30" H × 24"  W × 12" D. Keyhole mounting 
holes 16" on center for easy installation

Ordering Information

TYPE

CATALOG NUMBER

ORDERING NUMBER

Spare Fuse Cabinet

LSFC

LSFC

Spare Keys

LKEY001

LKEY0001Z

Description

This wall-mountable or free-standing modular rack system 
prominently displays Littelfuse glass and automotive fuses. 
Additional sections can be quickly snapped on for a larger 
product selection. Each rack features a cross reference  
guide to help customers locate the proper replacement fuse.

Features/Benefits

•  Holds 720 (144 5-packs) of the most popular glass, 

ceramic, and automotive fuses

•  Designed to save space—measures 14" H × 9" W × 4" D 

Suitable for wall or counter mounting

•  Includes cross reference, product identification  

guide, and back-up card for easy reordering

•  Expandable with modular section that can hold  

240 fuses (48 5-packs) per section

Web Resources

Additional information:

 littelfuse.com/lsfc

Fully stocked rack includes the following parts

3AG (GLASS)

FAST ACTING FUSES

3AG (GLASS)

SLO-BLO

®

 FUSES

QUANTITY

CATALOG 

NUMBER

QUAN TI TY

CATALOG 

NUMBER

25

312  

1

2

A

25

313  

1

2

A

50

312  1A

25

313  

3

4

A

25

312  1 

1

2

A

25

313  1A

75

312  2A

25

313  1 

1

2

A

25

312  2 

1

2

A

50

313  2A

75

312  3A

25

313  2 

1

2

A

25

312  4A

25

313  3A

25

312  5A

25

313  4A

25

312  10A

25

313  5A

Electronic Fuse Display

Spare Fuse Cabinet

Ordering Information

TYPE

CATALOG NUMBER ORDERING NUMBER

Fully Stocked Display

094324PG

00940324ZXPG

Empty Display Rack

FDR001PG

0FDR0001ZXPG

Additional Sections

MRS001PG

0MRS0001ZXPG

POWRGARD-Electrical-Product-Catalog-html.html
background image

172

© 2018 Littelfuse POWR-GARD

®

 Products Catalog

littelfuse.com

Section Overview

This Technical Application Guide or ‘Fuseology’ section provides the 
information needed to select the correct types of Littelfuse POWR-GARD

®

 

fuses for most applications.  If there are any questions or if additional  
data is needed for a specific use, call the Littelfuse Technical Support  
and Engineering Service Group at 

1-800-TEC-FUSE

 (1-800-832-3873), 

email them at 

techline@littelfuse.com

 or visit us at 

littelfuse.com

.

Fuseology Fundamentals ............................................................173

Selection Considerations ............................................................ 174

Time-current Curves and Peak Let-through Charts .....................179

Selective Coordination ................................................................181

UL/CSA Fuse Classes and Applications ......................................184

Terms and Definitions .................................................................186

Motor Protection Tables ..............................................................193

Condensed Fuse Cross Reference .............................................196 

Alphanumeric Index of Catalog Numbers ...................................197

TECHNICAL APPLICATION GUIDE

Table of Contents

Technical Information

White papers, and a library  
of technical information is  
available online at  

littelfuse.com/technicalcenter

 

POWRGARD-Electrical-Product-Catalog-html.html
background image

173

littelfuse.com 

© 2018 Littelfuse POWR-GARD

®

 Products Catalog

Tec

hnical

10

Technical Application Guide

FUSEOLOGY FUNDAMENTALS  

I. OVERCURRENT PROTECTION 

FUNDAMENTALS 

(FUSES AND  HOW THEY WORK)
Introduction

An important part of developing quality overcurrent protection 
is an understanding of system needs and overcurrent 
protective device fundamentals. This section discusses these 
topics with special attention to the application of fuses. If you 
have additional questions, call our Technical Support Group at 
1-800-TEC-FUSE (1-800-832-3873). Definitions of terms used 
in this section are located towards the end of this Technical 
Application Guide.

Why Overcurrent Protection?

All electrical systems eventually experience overcurrents. 
Unless removed in time, even moderate overcurrents 
quickly overheat system components, damaging insulation, 
conductors, and equipment. Large overcurrents may melt 
conductors and vaporize insulation. Very high currents 
produce magnetic forces that bend and twist bus bars. 
These high currents can pull cables from their terminals and 
crack insulators and spacers. 

Too frequently, fires, explosions, poisonous fumes and 
panic accompany uncontrolled overcurrents. This not only 
damages electrical systems and equipment, but may cause 
injury or death to personnel nearby. 

To reduce these hazards, the National Electrical Code

®

 

(NEC

®

), OSHA regulations, and other applicable design and 

installation standards require overcurrent protection that will 
disconnect overloaded or faulted equipment.

Industry and governmental organizations have developed 
performance standards for overcurrent devices and testing 
procedures that show compliance with the standards and 
with the NEC. These organizations include: the American 
National Standards Institute (ANSI), National Electrical 
Manufacturers Association (NEMA), and the National 
Fire Protection Association (NFPA), all of which work in 
conjunction with Nationally Recognized Testing Laboratories 
(NRTL) such as Underwriters Laboratories (UL).

Electrical systems must meet applicable code requirements 
including those for overcurrent protection before electric 
utilities are allowed to provide electric power to a facility.

What is Quality Overcurrent Protection?

A system with quality overcurrent protection has the 
following characteristics:

1.  Meets all legal requirements, such as NEC

®

, OSHA, local 

codes, etc.

2.  Provides maximum safety for personnel, exceeding 

minimum code requirements as necessary.

3.  Minimizes overcurrent damage to property, equipment, 

and electrical systems.

4.  Provides coordinated protection. Only the protective 

device immediately on the line side of an overcurrent 
opens to protect the system and minimize unnecessary 
downtime.

5.  Is cost effective while providing reserve interrupting 

capacity for future growth. 

6.  Consists of equipment and components not subject to 

obsolescence and requiring only minimum maintenance 
that can be performed by regular maintenance personnel 
using readily available tools and equipment.

Overcurrent Types and Effects

An overcurrent is any current that exceeds the ampere rating of 
conductors, equipment, or devices under conditions of use. The 
term “overcurrent” includes both overloads and short-circuits.

Overloads

An overload is an overcurrent confined to normal current 
paths in which there is no insulation breakdown.

Sustained overloads are commonly caused by installing 
excessive equipment such as additional lighting fixtures 
or too many motors. Sustained overloads are also caused 
by overloading mechanical equipment and by equipment 
breakdown such as failed bearings. If not disconnected 
within established time limits, sustained overloads 
eventually overheat circuit components causing thermal 
damage to insulation and other system components.

Overcurrent protective devices must disconnect circuits and 
equipment experiencing continuous or sustained overloads 
before overheating occurs. Even moderate insulation 
overheating can seriously reduce the life of the components 
and/or equipment involved. For example, motors overloaded 
by just 15% may experience less than 50% of normal 
insulation life.

Temporary overloads occur frequently. Common causes 
include temporary equipment overloads such as a machine 
tool taking too deep of a cut, or simply the starting of an 
inductive load such as a motor. Since temporary overloads 
are by definition harmless, overcurrent protective devices 
should not open or clear the circuit. 

It is important to realize that fuses selected must have 
sufficient time-delay to allow motors to start and temporary 
overloads to subside. However, should the overcurrent 
continue, fuses must then open before system components 
are damaged. Littelfuse POWR-PRO

®

 and POWR-GARD

®

 

time-delay fuses are designed to meet these types of 
protective needs. In general, time-delay fuses hold 500% of 
the rated current for a minimum of ten seconds, yet will still 
open quickly on higher values of current. 

POWRGARD-Electrical-Product-Catalog-html.html
background image

174

© 2018 Littelfuse POWR-GARD

®

 Products Catalog

littelfuse.com

10

Technical Application Guide

Tec

hnical

Even though government-mandated high-efficiency motors 
and NEMA Design E motors have much higher locked rotor 
currents, POWR-PRO

®

 time-delay fuses such as the FLSR_

ID, LLSRK_ID, or IDSR series have sufficient time-delay to 
permit motors to start when the fuses are properly selected 
in accordance with the NEC

®

Short-Circuits

A short-circuit is an overcurrent flowing outside of its normal 
path. Types of short-circuits are generally divided into 
three categories:  bolted faults, arcing faults, and ground 
faults. Each type of short-circuit is defined in the Terms and 
Definitions section.

A short-circuit is caused by an insulation breakdown or 
faulty connection. During a circuit’s normal operation, the 
connected load determines current. When a short-circuit 
occurs, the current bypasses the normal load and takes a 
“shorter path,” hence the term ‘short-circuit’. Since there is 
no load impedance, the only factor limiting current flow is 
the total distribution system’s impedance from the utility’s 
generators to the point of fault.

A typical electrical system might have a normal load impedance 
of 10 ohms. But in a single-phase situation, the same system 
might have a load impedance of 0.005 ohms or less. In order 
to compare the two scenarios, it is best to apply Ohm’s Law (I 
= E/R for AC systems). A 480 volt single-phase circuit with the 
10 ohm load impedance would draw 48 amperes (480/10 = 48). 
If the same circuit has a 0.005 ohm system impedance when 
the load is shorted, the available fault current would increase 
significantly to 96,000 amperes (480/0.005 = 96,000). 

As stated, short-circuits are currents that flow outside 
of their normal path. Regardless of the magnitude of 
overcurrent, the excessive current must be removed quickly. 
If not removed promptly, the large currents associated 
with short-circuits may have three profound effects on an 
electrical system: heating, magnetic stress, and arcing.

Heating

 occurs in every part of an electrical system when 

current passes through the system. When overcurrents 
are large enough, heating is practically instantaneous. The 
energy in such overcurrents is measured in ampere-squared 
seconds (I

2

t). An overcurrent of 10,000 amperes that lasts for 

0.01 seconds has an I

2

t of 1,000,000 A

2

s. If the current could 

be reduced from 10,000 amperes to 1,000 amperes for the 
same period of time, the corresponding I

2

t would be reduced 

to 10,000 A

2

s, or just one percent of the original value. 

If the current in a conductor increases 10 times, the I

2

increases 100 times. A current of only 7,500 amperes 
can melt a #8 AWG copper wire in 0.1 second. Within 
eight milliseconds (0.008 seconds or one-half cycle), a 
current of 6,500 amperes can raise the temperature of #12 
AWG THHN thermoplastic insulated copper wire from its 
operating temperature of 75°C to its maximum short-circuit 

temperature of 150°C. Any currents larger than this may 
immediately vaporize organic insulations. Arcs at the point 
of fault or from mechanical switching such as automatic 
transfer switches or circuit breakers may ignite the vapors 
causing violent explosions and electrical flash.

Magnetic stress

 (or force) is a function of the peak current 

squared. Fault currents of 100,000 amperes can exert forces 
of more than 7,000 lb. per foot of bus bar. Stresses of this 
magnitude may damage insulation, pull conductors from 
terminals, and stress equipment terminals sufficiently such 
that significant damage occurs.

Arcing

 at the point of fault melts and vaporizes all of the 

conductors and components involved in the fault. The arcs 
often burn through raceways and equipment enclosures, 
showering the area with molten metal that quickly starts fires 
and/or injures any personnel in the area. Additional short-circuits 
are often created when vaporized material is deposited on 
insulators and other surfaces. Sustained arcing-faults vaporize 
organic insulation, and the vapors may explode or burn.

Whether the effects are heating, magnetic stress, and/or 
arcing, the potential damage to electrical systems can be 
significant as a result of short-circuits occurring. 

II. SELECTION CONSIDERATIONS

Selection Considerations for Fuses (600 volts and below)

Since overcurrent protection is crucial to reliable electrical 
system operation and safety, overcurrent device selection 
and application should be carefully considered. When 
selecting fuses, the following parameters or considerations 
need to be evaluated:

•  Current Rating
•  Voltage Rating
•  Interrupting Rating
•  Type of Protection and Fuse Characteristics
•  Current Limitation
•  Physical Size
•  Indication

Current Rating

The current rating of a fuse is the AC or DC current, 
expressed in amperes, which the fuse is capable of carrying 
continuously under specified conditions. Fuses selected 
for a circuit must have ampere ratings that meet NEC

®

 

requirements, namely those found in NEC

®

 Articles 240 and 

430. These NEC

®

 requirements establish maximum ratings 

and in some cases, minimum ratings. When selecting a 
fuse, it is generally recommended to select a current rating 
as close as possible to the system’s normal running current.

FUSEOLOGY FUNDAMENTALS

POWRGARD-Electrical-Product-Catalog-html.html
background image

175

littelfuse.com 

© 2018 Littelfuse POWR-GARD

®

 Products Catalog

Technical Application Guide

Tec

hnical

10

Voltage Rating

The voltage rating of a fuse is the maximum AC or DC 
voltage at which the fuse is designed to operate. Fuse 
voltage ratings must equal or exceed the circuit voltage 
where the fuses will be installed, and fuses used in DC 
circuits must be specifically rated for DC applications. In 
terms of voltage, fuses may be rated for AC only, DC only, or 
both AC and DC. However, exceeding the voltage ratings or 
using an AC only fuse in a DC circuit could result in violent 
destruction of the fuse. 

The standard 600 volt rated fuses discussed in this section 
may be applied at any voltage less than or equal to their 
rating. For example, a 600 volt fuse may be used in a 277 
volt or even a 32 volt system, but not any system exceeding 
600 volts.

NOTE: This does not apply to semiconductor fuses and medium 
voltage fuses. See the semiconductor and medium voltage fuse 
application information on littelfuse.com for voltage limitations 
of these fuses.

Interrupting Rating

The interrupting rating of a fuse is the highest available 
symmetrical rms alternating current that the fuse is required 
to safely interrupt at its rated voltage under standardized test 
conditions. A fuse must interrupt all overcurrents up to its 
interrupting rating without experiencing damage. Standard 
UL fuses are available with interrupting ratings of 10,000 A, 
50,000 A, 100,000 A, 200,000 A, and 300,000 A.

NEC

®

 Article 110.9 requires that all equipment intended 

to break current at fault levels have an interrupting rating 
sufficient for the system voltage and current available at 
the equipment’s line terminals. Refer to 

Figure 1

. It is vitally 

important to select fuses with interrupting ratings which 
equal or exceed the available fault current.

The recommendation to standardize on fuses with at least 
a 200,000 ampere interrupting rating (AIR) ensures that all 
fuses have an adequate interrupting rating while providing 
reserve interrupting capacity for future increases in available 
fault current.

300,000 AIR Fuses

Littelfuse POWR-PRO

®

 fuse series have a Littelfuse Self-

Certified interrupting rating of 300,000 amperes rms 
symmetrical. The 300,000 ampere testing was performed 
in a Nationally Recognized Testing Laboratory, and the tests 
were UL witnessed. UL has ruled that fuses with a UL 
interrupting rating greater than 200,000 amperes must be 
marked as “Special Purpose Fuses” and may not be labeled 
as UL Listed Class RK5, RK1, L, etc. 

Type of Protection and Fuse Characteristics

Time current characteristics determine how fast a fuse 
responds to overcurrents. All fuses have inverse time 
characteristics; that is, the fuse opening time decreases as 
the magnitude of overcurrent increases. When properly rated 
in accordance with NEC

®

 requirements, fuses provide both 

overload and short-circuit protection to system conductors 
and components. However, in some instances such as when 
fuses are used to backup circuit breakers or to provide motor 
branch circuit short-circuit and ground fault protection, fuses 
provide only short-circuit protection. A fuse’s response to 
overcurrents is divided into short-circuits and overloads.

Short-Circuits

A fuse’s short-circuit response is its opening time on higher-
value currents. For power fuses, higher-value currents are 
generally over 500-600% of the fuse’s current rating. As 
stated earlier, all fuses have inverse time characteristics: the 
higher the current, the faster the opening time. Since short-
circuits should be removed quickly, inverse time is especially 
important for short-circuit protection.

Overloads

While fuses must disconnect overloaded conductors and 
equipment before the conductors and components are 
seriously overheated, they should not disconnect harmless 
temporary overloads. To provide sufficient overload 
protection for system conductors, UL has established 
maximum fuse opening times at 135% and 200% of a 
fuse’s current rating. All UL Listed fuses for application in 
accordance with the National Electrical Code

®

 must meet 

these limits whether they are fast-acting or time-delay fuses.

As just stated, a fuse is designed to respond to two types 
of overcurrents – short circuits and overloads. As a result, 
selecting the proper fuse for a given application usually 
involves deciding whether to use a time-delay fuse or a 
fast-acting fuse. A more in-depth review of both possible 
scenarios is important at this time.

SELECTION CONSIDERATIONS

Main Switchboard

Available Fault 
Current = 125,000A

Available Fault 
Current = 85,000A

All fuses in main switchboard
must have an A.I.R. of at least
125,000A. Next higher standard 
rating is 200,000A.

Fuses in panel must have at 
least an 85,000 A.I.C. Next higher 
standard rating is 100,000A., but 
best choice is time-delay fuses 
with 200,000 A.I.R.

Figure 1 – Interrupting Rating Requirements per NEC

POWRGARD-Electrical-Product-Catalog-html.html
background image

176

© 2018 Littelfuse POWR-GARD

®

 Products Catalog

littelfuse.com

10

Technical Application Guide

Tec

hnical

Fast-Acting (Normal-Opening) Fuses

Fast-acting fuses (sometimes called “Normal-opening” 
fuses) have no intentional time-delay. Typical opening 
times at 500% of the fuse ampere rating range from 0.05 
second to approximately 2 seconds. Fast-Acting fuses 
are suitable for non-inductive loads such as incandescent 
lighting and general-purpose feeders, or branch circuits 
with little or no motor load. When protecting motors and 
other inductive loads, fast-acting fuses must be rated at 
200-300% of load currents to prevent nuisance opening on 
in-rush currents. Fuses with such increased ratings no longer 
furnish adequate protection from overloads and only provide 
short-circuit protection. Overload relays or other overload 
protection devices must be provided to properly protect 
conductors and equipment from overload conditions.

All fast-acting fuses provide fast short-circuit response 
within their interrupting rating. Some are considered current-
limiting, such as UL Class T and Class J. Others are non-
current-limiting, such as UL Class H.

Time-Delay (SLO-BLO

®

) Fuses

Most UL Class CC, CD, G, J, L, RK5 and RK1 fuses, plus 
some of the UL Listed Miscellaneous fuses are considered 
time-delay. If so, they are identified as such on the fuse 
label with the words “Time-Delay”, “T-D”, “D”, or some 
other suitable marking. Minimum time-delay varies with 
the fuse class, and to some degree with the fuse ampere 
rating. UL standards for POWR-GARD

®

 fuse series FLNR, 

FLNR_ID, FLSR, FLSR_ID, IDSR (UL Class RK5), LLNRK, 
LLSRK, LLSRK_ID (UL Class RK1), and JTD, JTD_ID (UL 
Class J) require these fuses to carry 500% rated current for a 
minimum of 10 seconds. Standards for CCMR and KLDR (UL 
Class CC and CD) and SLC (UL Class G) fuses require them 
to carry 200% rated current for a minimum of 12 seconds. 

Although there is no UL Classification for time-delay Class 
L fuses, it is still permissible for them to be marked “Time-
Delay.” The amount of time-delay is determined by the 
manufacturer. Littelfuse KLPC series and KLLU series fuses 
will hold 500% current for 10 seconds or more. 

In addition to providing time-delay for surges and short time 
overloads, time-delay fuses meet all UL requirements for 
sustained overload protection. On higher values of current, 
time-delay fuses are current-limiting; meaning they remove 
large overcurrents in less than one-half cycle (0.00833 
seconds). Time-delay fuses provide the best overall protection 
for both motor and general purpose circuits, and eliminate 
nuisance fuse opening and most situations of downtime.

Compared to fast-acting fuses, time-delay fuses can be 
selected with ratings much closer to a circuit’s operating 
current. For example, on most motor circuits Class RK5 and 
RK1 fuses can be rated at 125-150% of a motor’s full load 
current (FLA). This provides superior overload and short-

circuit protection, and often permits the use of smaller, 
less expensive disconnect switches. Time-delay fuses 
have gradually replaced most one-time (UL Class K5) and 
renewable (UL Class H) fuses. Today, more than 50% of all 
fuses sold by electrical distributors are time-delay fuses.

Dual Element Fuses

Littelfuse time-delay FLNR, FLNR_ID, FLSR, FLSR_ID, IDSR 
(UL Class RK5), and LLNRK, LLSRK, LLSRK_ID (UL Class RK1), 
and some JTD, JTD_ID (UL Class J) series fuses have true 
dual-element construction meaning the fuse has an internal 
construction consisting of separate short-circuit and overload 
sections or elements. Time-delay elements are used for 
overload protection, and separate fast acting fuse elements or 
links are used to provide current-limiting short-circuit protection.

Very Fast-Acting Fuses

This category of fuses exists for limited applications. The 
principle use of very fast acting fuses is to protect solid-
state electronic components, such as semiconductors. 
Fuse series designated as ‘High-Speed (Semiconductor) 
Fuses’ have special characteristics including quick overload 
response, very low I

2

t and I

peak

 currents, and peak transient 

voltages, that provide protection for components that cannot 
withstand line surges, low value overloads, or short-circuit 
currents. Very fast-acting fuses are designed for very fast 
response to overloads and short-circuits, and are very 
current-limiting.

Effect of Ambient Temperature on Fuses

The current carrying capacity of fuses is 110% of the fuse 
rating when installed in a standard UL test circuit and tested 
in open air at 25°C ambient. This allows for derating to 100% 
of rating in an enclosure at 40°C ambient. 

SELECTION CONSIDERATIONS

A

A

B

B

0

0

20

40

60

20

40

60

AMBIENT TEMPERATURE

PERCENT OF UPRA

TING

PERCENT OF DOWNRA

TING

KEY TO CHART:

Curve A - Slo-Blo

®

 Fuse

Curve B - Medium and Fast-Acting Fuses

FUSE RERATING CURVE

-60°C
-76°F

-40°C
-40°F

-20°C

-4°F

0°C

32°F

20°C
68°F

40°C

104°F

60°C

140°F

80°C

176°F

100°C
212°F

120°C
248°F

140°C
264°F

Figure 2 – Fuse Rerating Curve

POWRGARD-Electrical-Product-Catalog-html.html
background image

177

littelfuse.com 

© 2018 Littelfuse POWR-GARD

®

 Products Catalog

Technical Application Guide

Tec

hnical

10

Current Limitation

A current-limiting fuse is one that opens and clears a fault 
in less than 180 electrical degrees, or in other words, within 
the first half electrical cycle (0.00833 seconds). See the 
definition of Current-limiting Fuse and 

Figure 13

 in the Terms 

and Definitions section.

NEC

®

 Article 240.2 states that a current-limiting overcurrent 

protective device must reduce the peak let-through current to a 
value substantially less than the potential peak current that would 
have occurred if the fuse were not used in the circuit or were 
replaced with solid conductors of the same impedance. The total 
destructive heat energy (I

2

t) to the circuit and its components is 

greatly minimized as a result of using current-limiting fuses.

It is important to note that UL Class H ‘Renewable’ fuses 
designed decades ago are considered non-current limiting. Other 
than Midget fuses, almost all other fuse types used in today’s 
electrical systems and applications are considered current-
limiting per the above parameters. This selection consideration 
now involves determining the degree or level of current limitation 
required to properly protect a given device or system.

It is also important to point out that matching fuse holders 
and/or fuse blocks must reject non-current-limiting fuses and 
accept only current-limiting fuses of the stated UL Class.

Physical Size

While often overlooked, the physical size or overall 
dimensions of the fuse to be used in a given application is 
another important selection consideration to evaluate. There 
is a trend toward reduction of size in almost everything, and 
electrical equipment is no exception. Fuse size is actually 
determined by the size and dimensions of the fuse block or 
disconnect switch in which it is installed.   

While saving space may be an important factor when 
selecting the proper fuses, other considerations should not 
be overlooked. Some of these include:

•  Does the smallest fuse have the most desirable 

characteristics for the application?

•  Does the equipment in which the fuse will be installed 

provide adequate space for maintenance?

•  Do smaller fuses coordinate well with the system’s other 

overcurrent protection?

If looking at just physical dimensions, a 600 volt, 60 ampere, 
200,000 AIR, time-delay, dual-element UL Class CD fuse is smaller 
than a similarly rated UL Class J fuse, which is in turn, considerably 
smaller than a similarly rated UL Class RK1 or Class RK5 fuse. 
However, smaller-sized fuses can sometimes have less time-delay 
or more nuisance openings than their larger counterparts, so it is 
always important to consider all factors involved. 

Indication

The newest consideration for selecting the best fuse for a 
given application is indication. Many of the more commonly 
used UL fuse classes are now available in both indicating 
and non-indicating versions. Built-in, blown-fuse indication 
that quickly identifies which fuse or fuses within an electrical 
panel or system have blown can be found on the Littelfuse 
POWR-PRO

®

 LLSRK_ID Class RK1, FLNR_ID, FLSR_ID and 

IDSR Class RK5, and JTD_ID Class J fuse series.

The indicating feature on these fuses provides reduced 
downtime, increased safety, and reduced housekeeping or 
troubleshooting headaches and delays. Littelfuse Indicator

®

 

fuses will help lower the costs associated with downtime, 
provide longer fuse life by minimizing nuisance openings, 
increase system performance by minimizing equipment 
damage, and improve safety by minimizing accidents. 

III. GENERAL FUSING RECOMMENDATIONS

Based on the above selection considerations, the following 
is recommended:

Fuses with ampere ratings from 1/10 through 600 amperes

•  When available fault currents are less than 100,000 

amperes and when equipment does not require the more 
current-limiting characteristics of UL Class RK1 fuses, 
FLNR and FLSR_ID Series Class RK5 current-limiting fuses 
provide superior time-delay and cycling characteristics at a 
lower cost than RK1 fuses. If available fault currents exceed 
100,000 amperes, equipment may need the additional 
current-limitation capabilities of the LLNRK, LLSRK and 
LLSRK_ID series Class RK1 fuses.

•  Fast-acting JLLN and JLLS series Class T fuses possess 

space-saving features that make them especially suitable 
for protection of molded case circuit breakers, meter 
banks, and similar limited-space applications. 

•  Time-delay JTD_ID and JTD series Class J fuses are used 

in OEM motor control center applications as well as other 
MRO motor and transformer applications requiring space-
saving IEC Type 2 protection. 

•  Class CC and Class CD series fuses are used in control 

circuits and control panels where space is at a premium. 
The Littelfuse POWR-PRO CCMR series fuses are best 
used for protection of small motors, while the Littelfuse 
KLDR series fuses provide optimal protection for control 
power transformers and similar devices.

For questions about product applications, call our Technical 
Support Group at 800-TEC-FUSE.

SELECTION CONSIDERATIONS

POWRGARD-Electrical-Product-Catalog-html.html
background image

178

© 2018 Littelfuse POWR-GARD

®

 Products Catalog

littelfuse.com

10

Technical Application Guide

Tec

hnical

Fuses with ampere ratings from 601 through 6,000 amperes

For superior protection of most general-purpose and motor 
circuits, it is recommended to use the POWR-PRO

®

 KLPC 

series Class L fuses. The Class L fuses are the only time-
delay fuse series available in these higher ampere ratings.

Information on all the Littelfuse fuse series referenced above 
can be found on the UL/CSA Fuse Classes and Applications 
Charts found later in this Technical Application Guide. 

IV. SELECTION CONSIDERATIONS FOR 

FUSE HOLDERS

Equally important to the selection of the proper fuse is the 
correct selection of the proper fuse holder or fuse block for 
a given application. Fuse holders are available using most 
of the same Selection Considerations outlined above for UL 
fuse classes. Considerations for fuse holders include:

•  Current Rating
•  Voltage Rating
•  Interrupting Rating
•  Physical Size
•  Indication

Additional selection considerations for fuse holders and fuse 
blocks include:

•  Number of poles
•  Mounting configuration
•  Connector type

Number of Poles

The number of poles for each set of fuses is determined by 
the characteristics of the circuit. Most fuse block series are 
available in 1, 2, or 3 pole configurations, although some are 
also available with four or more poles. The option to gang 
individual fuse blocks into longer strips will be determined 
by the available space and type of wire being used.

Mounting Configuration

Depending on the fuse block design, another selection 
consideration to evaluate is how the fuse block is mounted 
or inserted into the panel. Historically, fuse blocks simply 
screwed into the back of the panel, but many newer designs 
have now added (or replaced the screw-in design with) a DIN 
rail mounting capability. The DIN rail mounting feature allows 
the blocks to be quickly installed and removed from the rails.

Connector Type

For Littelfuse fuse blocks, a choice of three connector types 
or wire terminations is available:

•  Screw – for use with spade lugs or ring terminals.
•  Screw with Pressure Plate – for use with solid or 

stranded wire without terminal and recommended for 
applications where vibration will be a factor.

•  Box Lug – the most durable of the three options and 

used with all types of solid wire and Class B and Class C 
stranded wire.

There are a few additional aspects to keep in mind when 
selecting the fuse holder or fuse block needed for a given 
application. UL Class H blocks accept Class H, Class K5, and 
Class R fuses. Similarly, Midget-style fuse blocks accept 
both Midget and UL Class CC fuses.

Both UL Class R and Class CC fuse holders contain a 
rejection feature which prevents the insertion of a different 
Class or type of fuse. The physical size and dimensions of 
UL Class J and Class T fuses accomplish the same thing in 
preventing the insertion of a different Class of fuse as well. 

V. CIRCUIT PROTECTION CHECKLIST

To select the proper overcurrent protective device for an 
electrical system, circuit and system designers should ask 
themselves the following questions before a system is 
designed:

•  What is the normal or average current expected?
•  What is the maximum continuous (three hours or more) 

current expected?

•  What inrush or temporary surge currents can be 

expected?

•  Are the overcurrent protective devices able to distinguish 

between expected inrush and surge currents, and open 
under sustained overloads and fault conditions?

•  What kind of environmental extremes are possible? Dust, 

humidity, temperature extremes and other factors need 
to be considered.

•  What is the maximum available fault current the 

protective device may have to interrupt?

•  Is the overcurrent protective device rated for the system 

voltage?

•  Will the overcurrent protective device provide the safest 

and most reliable protection for the specific equipment?

•  Under short-circuit conditions, will the overcurrent 

protective device minimize the possibility of a fire or 
explosion?

•  Does the overcurrent protective device meet all the 

applicable safety standards and installation requirements?

Answers to these questions and other criteria will help to 
determine the type overcurrent protection device to use for 
optimum safety, reliability and performance.

SELECTION CONSIDERATIONS

POWRGARD-Electrical-Product-Catalog-html.html
background image

179

littelfuse.com 

© 2018 Littelfuse POWR-GARD

®

 Products Catalog

Technical Application Guide

Tec

hnical

10

The performance capabilities of various fuses are graphically 
represented by two different types of fuse characteristic 
curves: time-current curves and peak let-through charts. 
These curves and charts define the operating characteristics 
of a given fuse, and assist system designers and engineers 
in selecting the proper fuse to protect equipment and 
electrical systems. 

Understanding Time-current  Curves

Time-current curves provide a graphical representation 
or plot of a fuse’s average melting (opening) time at any 
current. Time-current curves for Littelfuse POWR-GARD

®

 

fuses can be found online at  

littelfuse.com/technicalcenter

.

In order to make the curves more readable, the performance 
information is presented on log-log paper. The overcurrent 
values appear across the bottom and increase in magnitude 
from left to right. Average melting times appear on the 
left-hand side of the curve and increase in magnitude from 
bottom to top. The ampere ratings of the individual fuses 
for a given series are listed at the top and increase in rating 
from left to right. 

Figure 4

 shows the average melting time 

curves for a typical time-delay fuse series. 

As discussed earlier in the Fuseology Fundamentals 
section, time-delay, fast-acting, and very fast-acting fuses 
all respond differently based on the overcurrents occurring 
in the systems each is protecting. To illustrate the basic 
differences between each type of fuse, 

Figure 5

 compares 

the average melting times for 100 and 600 amp ratings 

of three fuse types: Littelfuse dual-element, time-delay 
LLSRK series class RK1 fuses (green); Littelfuse normal 
opening NLS series class K5 fuses (red); and Littelfuse very 
fast acting L60S series semiconductor fuses (blue). 

To better illustrate this point, 

Table 3

 also compares the 

opening times for each of these fuses. 

Peak Let-through Charts

Peak let-through charts illustrate the maximum instantaneous 
current through the fuse during the total clearing time. This 
represents the current limiting ability of a fuse.

Fuses that are current-limiting open severe short-circuits 
within the first half-cycle (180 electrical degrees or 0.00833 
seconds) after the fault occurs. Current-limiting fuses also 
reduce the peak current of the available fault current to a 
value less than would occur without the fuse. This reduction 
is shown in 

Figure 6

.

A fuse’s current-limiting effects are shown graphically on 
Peak Let-through charts such as the one shown in 

Figure 7

The values across the chart’s bottom represent the available 

FUSE CHARACTERISTIC CURVES AND CHARTS

1000

800

600
400

300
200

100

80

60
40

30
20

10

8

6
4

3
2

1

.8

.6
.4

.3
.2

.1

.08

.06
.04

.03
.02

.01

200

300 400

600 800 1000

2000 3000 4000 6000 8000 10000

20000

30000 40000 60000 80000 100000

10

20

30 40 60 80 100

15 A

30 A

60 A

100 A

200 A

400 A 600 A

TIME IN SECONDS

CURRENT IN AMPERES

1000

800

600
400

300
200

100

80

60
40

30
20

10

8

6
4

3
2

1

.8

.6
.4

.3
.2

.1

.08

.06
.04

.03
.02

.01

200

300 400

600 800 1000

2000

3000 4000

6000 8000 10000

20000

30000 40000

60000 80000 100000

10

20

30 40

60 80 100

100 AMP

600 AMP

GREEN = TIME-DELAY FUSE

RED   = NORMAL OPENING FUSE

BLUE  = VERY-FAST ACTING FUSE

TIME IN SECONDS

CURRENT IN AMPERES

AMPERE 

RATING

FUSE TYPE

OPENING TIME IN SECONDS

500% RATING 800% RATING 1200% RATING

100

TIME-DELAY

12 secs.

0.9 secs.

0.14 secs.

NORMAL OPENING

2 secs.

0.7 secs.

0.3 secs.

VERY FAST-ACTING

1.3 secs.

0.02 secs.

>0.01 secs.

600

TIME-DELAY

14 secs.

0.7 secs.

0.045 secs.

NORMAL OPENING

10 secs.

3 secs.

1.1 secs.

VERY FAST-ACTING

2 secs.

0.05 secs.

>0.01 secs.

Figure 4 – Average Melting Time Curves for Typical Time-Delay 
Fuse Series

Figure 5 – Comparison of Average Melting Times for 
Three  Fuse Types

Table 3 – Comparative Opening Times for Time-Delay, Fast-
Acting, and Very Fast-Acting Fuses

POWRGARD-Electrical-Product-Catalog-html.html
background image

180

© 2018 Littelfuse POWR-GARD

®

 Products Catalog

littelfuse.com

10

Technical Application Guide

Tec

hnical

(also referred to as potential or prospective) rms symmetrical 
fault current. The values on the chart’s left side represent 
the instantaneous available peak current and the peak let-
through current for various fuse ratings.

To better explain the function of these charts, let’s run 
through an example. Start by entering the chart on the 
bottom at 100,000 rms symmetrical amperes and read 
upwards to the A-B line. From this point, read horizontally 
to the left and read the instantaneous peak let-thru current 
of 230,000 amperes. In a circuit with a typical 15% short-
circuit power factor, the instantaneous peak of the available 
current is approximately 2.3 times the rms symmetrical 
value. This occurs since the A-B line on the chart has a 
2.3:1 slope.

The diagonal curves that branch off the A-B line illustrate the 
current-limiting effects of different fuse ampere ratings for 
a given fuse series. To continue the example from above, 
enter the chart in 

Figure 7

 on the bottom at 100,000 rms 

symmetrical amperes and read upwards to the intersection 
of the 200 ampere fuse curve. Now read from this point 
horizontally to the left and read a peak let-through current of 
approximately 20,000 amperes. 

What this tells us is that the 200 ampere fuse has reduced 
the peak current during the fault from 230,000 amperes to 
20,000 amperes. In other words, this is the current-limiting 
effect of the 200 ampere fuse. 20,000 amperes is less than 
one-tenth of the available current. This is important because 
the magnetic force created by current flow is a function of 
the peak current squared. If the peak let-through current of 
a current-limiting fuse is one-tenth of the available peak, the 
magnetic force is reduced to less than 1/100 of what would 
occur without the fuse.

Using the Peak Let-through Charts 

(“Up-Over-and-Down”)

Peak Let-through Charts for Littelfuse POWR-GARD

®

 fuses 

can be found online at

 littelfuse.com/technicalcenter

These charts are useful in determining whether a given fuse 
can properly protect a specific piece of equipment. 

For example, given an available fault-current of 100,000 
rms symmetrical amperes, determine whether 600 amp 
250 volt time-delay Class RK1 fuses can sufficiently protect 
equipment that has a 22,000 amp short-circuit rating. Refer 
to 

Figure 8

.

Start by locating the 100,000 A available fault-current on the 
bottom of the chart (Point A) and follow this value upwards 
to the intersection with the 600 amp fuse curve (Point B). 
Next, follow this point horizontally to the left to intersect 
with the A-B line (Point C). Finally, read down to the bottom 
of the chart (Point D) to read a value of approximately 18,000 
amps. 

Can the fuse selected properly protect the equipment for 
this application? Yes, the POWR-PRO

®

 LLNRK 600 ampere 

RK1 current-limiting fuses have reduced the 100,000 
amperes available current to an apparent or equivalent 
18,000 amps. When protected by 600 amp LLNRK RK1 
fuses, equipment with short-circuit ratings of 22,000 amps 
may be safely connected to a system having 100,000 
available rms symmetrical amperes. 

This method, sometimes referred to as the “Up-Over-and-
Down” method, may be used to:

1.  Provide back-up short-circuit protection to large air 

power circuit breakers.

2.  Enable non-interrupting equipment such as bus duct to be 

FUSE CHARACTERISTIC CURVES AND CHARTS

Current

Time

Peak current which would

occur without current limitation

Peak Let-Thru Current

Figure 14

100

1000000

200000

300000

400000

600000

800000

100000

20000

30000

40000

60000

80000

10000

2000

3000

4000

6000

8000

1000

200

300

400

600

800

100

200

300 400

600 800 1000

2000

3000 4000

6000 8000 10000

20000

30000 40000

60000 80000 100000

200000

FUSE

AMPERE

RATING

600

400
200
100

60
30

A

B

AVAILABLE FAULT CURRENT

SYMMETRICAL R.M.S. AMPERES

PEAK LET

-THRU IN AMPERES

Figure 7 – Peak Let-through Charts

Figure 6 – Current limiting effect of fuses

POWRGARD-Electrical-Product-Catalog-html.html
background image

181

littelfuse.com 

© 2018 Littelfuse POWR-GARD

®

 Products Catalog

Technical Application Guide

Tec

hnical

10

installed in systems with available short-circuit currents 
greater than their short circuit (withstand) ratings.

However, this method may not be used to select fuses for 
backup protection of molded case or intermediate frame 
circuit breakers. National Electrical Code

®

 (NEC

®

) Article 

240.86 requires Series Ratings. Refer to the NEC

®

 for more 

information. 

UL Listed fuse-to-circuit breaker series ratings are now 
available from most national load center and panelboard 
manufacturers. Listings are shown in their product digests, 
catalogs, and online. Many local builders have also obtained 
fuse-to-circuit breaker series ratings. For additional 
information contact the Littelfuse Technical Support Group at 
1-800-TEC-FUSE (1-800-832-3873).

Short-Circuit Current Rating (SCCR)

Since 2005, the NEC

®

 has required Industrial Control Panels 

to be labeled with their SCCR. These labels allow users 
and inspectors to compare the SCCR of the equipment 
to the available fault current in order to avoid potential 
hazards in facilities. 

Selective Coordination

A “coordinated” or “selective” system is a system whose 
overcurrent protective devices have been carefully chosen and 
their time-current characteristics coordinated. 

Only the overcurrent device immediately on the line side of an 
overcurrent will open for any overload or short-circuit condition. 

To further clarify, refer to the Terms and Definitions section 
for the definition of Selective Coordination and 

Figure 15

 for a 

graphical example.

Since the advent of electrical and electronic equipment, 
businesses have become entirely dependent on the 
continuous availability of electric energy. Loss of power 
halts all production and order processing, yet expenses 
continue to increase. Even many UPS systems become 
unintentionally non-selective causing power loss to 
computers and other critical equipment. Non-selectivity may 
defeat otherwise well-engineered UPS systems. 

In a selective system, none of this occurs. Overloads and 
faults are disconnected by the overcurrent protective device 
immediately on the line side of the problem. The amount of 
equipment removed from service is minimized, the faulted 
or overloaded circuit is easier to locate, and a minimum 
amount of time is required to restore full service. 

For these and many other reasons, selectivity is the 
standard by which many systems are judged and designed.

Fuse Selectivity

To get a better sense of how to ensure that fuses are 
selectively coordinated within an electrical system, refer 
to 

Figure 4

 shown earlier in this Technical Application 

Guide. This figure shows typical average melting time-
current curves for one class of fuses. Note that the curves 
are roughly parallel to each other and that for a given 
overcurrent, the smaller fuse ratings respond quicker than 
the larger ratings. The heat energy required to open a fuse 
is separated into melting I

2

t and arcing I

2

t (see definition of 

Ampere-Squared-Seconds). The sum of these is the total 
clearing I

2

t. 

For a system to be considered coordinated, the smaller 
fuse total clearing I

2

t must be less than the larger fuse 

melting I

2

t. In other words, if the downstream (branch) 

fuse opens the circuit before the overcurrent affects 
the upstream (feeder) fuse element, the system will be 
considered selective. This can be determined by analyzing 
curves displaying melting and total clearing I

2

t, or from 

minimum melting and maximum clearing time-current 
curves.

But the simplest method of coordinating low voltage power 
fuses is by using a Fuse Coordination Table such as the 
one shown in 

Table 4

. This table is only applicable for the 

Littelfuse POWR-PRO

®

 and POWR-GARD

®

 fuse series listed. 

Tables such as this greatly reduce design time. For example, 
the coordination table shows that POWR-PRO KLPC Class 
L fuses coordinate at a two-to-one ratio with other Class L 
fuses, with POWR-PRO LLNRK / LLSRK / LLSRK_ID series 

FUSE CHARACTERISTICS CURVES AND CHARTS

100

1000000

200000

300000

400000

600000

800000

100000

20000

30000

40000

60000

80000

10000

2000

3000

4000

6000

8000

1000

200

300

400

600

800

100

200

300 400

600 800 1000

2000

3000 4000

6000 8000 10000

20000

30000 40000

60000 80000 100000

200000

FUSE
AMPERE
RATING

600
400
200
100

60
30

A

B

D

A

B

C

AVAILABLE FAULT CURRENT

SYMMETRICAL R.M.S. AMPERES

PEAK LET

-THRU IN AMPERES

Figure 8 – Peak Let-through Chart for POWR-PRO

®

 LLNRK Class 

RK1 Dual-Element Fuses Using the Up-Over-and-Down Method

POWRGARD-Electrical-Product-Catalog-html.html
background image

182

© 2018 Littelfuse POWR-GARD

®

 Products Catalog

littelfuse.com

10

Technical Application Guide

Tec

hnical

Class RK1 fuses, and POWR-PRO JTD / JTD_ID series Class 
J fuses.

In the system shown in 

Figure 9

, the 3000 amp Class L 

main fuses are at least twice the ratings of the 1500, 1200, 
and 1000 amp Class L feeder fuses. Using the 2:1 ratio 
just referenced above, it is determined that these fuses 
will coordinate. The Coordination Table also shows that the 
LLSRK_ID series time-delay RK1 feeder and branch circuit 
fuses coordinate at a two-to-one ratio with the Class L 
feeder fuses, so the entire system in 

Figure 9

 would be 

considered 100% coordinated.

Circuit Breaker Coordination

As a result of the numerous types of circuit breakers 
and circuit breaker trip units available in today’s market, 
developing a coordinated circuit breaker system or 
coordinating circuit breakers with fuses is beyond the scope 
of this Technical Application Guide. For further questions, 
contact the Littelfuse Technical Support Group.

NEC

®

 Requirements for Selective 

Coordination

Component Short-Circuit Protecting Ability

As shown in 

Figure 10

, the NEC

®

 requires equipment 

protection to be coordinated with overcurrent protective 
devices and the available fault current in order to prevent 
extensive damage to the equipment. Essentially, this 
means that electrical equipment must be capable of 
withstanding heavy overcurrents without damage or be 

properly protected by overcurrent protective devices that 
will limit damage.

When a severe fault occurs in an unprotected circuit, current 
immediately increases to a very high value. This is the 
available or prospective fault current. Some fuses respond 
so quickly to the increasing current that they interrupt 
current within the first half-cycle - or before the current even 
reaches its first peak. This is illustrated in 

Figure 6

 found 

earlier in the Technical Application Guide. Such fuses are 
termed “current-limiting fuses.” 

Current-limiting fuses stop damaging current faster than 
any other protective device, and greatly reduce or totally 
prevent component damage from high fault currents. This 
performance capability helps users meet the NEC

®

 Article 

110.10 requirements listed in 

Figure 10

.

Pre-Engineered Solutions

Applicable code requirements also continue to expand with 
each new edition of the National Electrical Code

®

. As of the 

2014 edition of the NEC

®

, the following requirements need 

to be met – and can be, utilizing Littelfuse POWR-GARD

®

 

Pre-Engineered Solutions:

•  NEC 517.26 – Healthcare Essential Electrical Systems
•  NEC 620.82 – Elevators
•  NEC 700.32 – Emergency Systems
•  NEC 701.27 – Legally Required Standby Systems
•  NEC 708.54 – Critical Operations Power Systems 

SELECTIVE COORDINATION

LINE-SIDE FUSES

LOAD-SIDE FUSES

AMPERE

RANGE

UL CLASS

LITTELFUSE  

CATALOG 

NUMBER

TIME-DELAY FUSES

AMPERE RANGE, UL CLASS AND CATALOG NO.

FAST-ACTING FUSES

AMPERE RANGE, UL CLASS AND CATALOG NO.

601-6000

601-4000

30-600

30-600

30-600

0-30

30-600

30-1200

30-600

1-60

L

L

RK1

J

RK5

CC

RK1

T

J

G

KLPC

LDC

KLLU

LLNRK

LLSRK_ID

JTD_ID

JTD

FLNR_ID

FLSR_ID

IDSR

CCMR

KLNR

KLSR

JLLN

JLLS

JLS

SLC

601-6000

L

KLPC

2:1

2:1

2:1

2:1

4:1

2:1

2:1

2:1

2:1

N/A

601-4000

L

KLLU

2:1

2:1

2:1

2:1

4:1

2:1

2:1

2:1

2:1

N/A

601-2000

L

LDC

2:1

2:1

2:1

2:1

4:1

2:1

2:1

2:1

2:1

N/A

30-600

RK1

LLNRK

N/A

N/A

2:1

2:1

8:1

2:1

3:1

3:1

3:1

4:1

30-600

RK1

LLSRK_ID

N/A

N/A

2:1

2:1

8:1

2:1

3:1

3:1

3:1

4:1

30-600

J

JTD_ID

N/A

N/A

2:1

2:1

8:1

2:1

3:1

3:1

3:1

4:1

30-600

RK5

IDSR

N/A

N/A

1.5:1

1.5:1

2:1

2:1

1.5:1

1.5:1

1.5:1

1.5:1

30-600

RK5

FLNR_ID

N/A

N/A

1.5:1

1.5:1

2:1

2:1

1.5:1

1.5:1

1.5:1

1.5:1

30-600

RK5

FLSR_ID

N/A

N/A

1.5:1

1.5:1

2:1

2:1

1.5:1

1.5:1

1.5:1

1.5:1

30-600

RK1

KLNR

N/A

N/A

3:1

3:1

8:1

N/A

3:1

3:1

3:1

4:1

30-600

RK1

KLSR

N/A

N/A

3:1

3:1

8:1

N/A

3:1

3:1

3:1

4:1

30-1200

T

JLLN

N/A

N/A

3:1

3:1

8:1

N/A

3:1

3:1

3:1

4:1

30-1200

T

JLLS

N/A

N/A

3:1

3:1

8:1

N/A

3:1

3:1

3:1

4:1

30-600

J

JLS

N/A

N/A

3:1

3:1

8:1

N/A

3:1

3:1

3:1

4:1

1-60

G

SLC

N/A

N/A

3:1

3:1

4:1

N/A

2:1

2:1

2:1

2:1

Table 4 – Fuse Coordination Table. Selecting the Correct Fuse Ampere Ratio to Maintain Selectively Coordinated Systems.  
(Ratios are expressed as Line-Side Fuse to Load-Side Fuse.)

POWRGARD-Electrical-Product-Catalog-html.html
background image

183

littelfuse.com 

© 2018 Littelfuse POWR-GARD

®

 Products Catalog

Technical Application Guide

Tec

hnical

10

The Littelfuse product line of Pre-Engineered Solutions 
includes:

•  LPS Series POWR-Switch (single elevator shunt-trip 

disconnect switch)

•  LCP Selective Coordination Panel

These products continue to gain in popularity because they 
meet NEC

®

 requirements and offer simple, economical 

solutions for a variety of applications.

Visit 

littelfuse.com/lcp

 for more information on Littelfuse 

Pre-Engineered Solution products and corresponding 
selective coordination requirements.

SELECTIVE COORDINATION

KLPC

3000

KLPC

1500

KLPC

1200

KLPC

1000

LLSRK

200

LLSRK

200

LLSRK

400

LLSRK

400

Figure 9 – Example of Selectively Coordinated Fused System

NATIONAL ELECTRICAL CODE

®

ARTICLE 110 – Requirements for Electrical Installations

I. General
110.3. Examination, Identification, Installation, and Use of Equipment.

(A)

 

Examination

. In judging equipment, considerations such as the following shall be evaluated:

(5)

  Heating effects under normal conditions of use and also under abnormal conditions likely to arise in service.

(6)

  Arcing effects. 

(B)

 

Installation and Use

. Listed or labeled equipment shall be used or installed in accordance with any instructions included in the listing 

or labeling. 

110.9 Interrupting Rating.

 Equipment intended to interrupt current at fault levels shall have an interrupting rating at nominal circuit 

voltage sufficient for the current that is available at the line terminals of the equipment. 
Equipment intended to interrupt current at other than fault levels shall have an interrupting rating at nominal circuit voltage sufficient for 
the current that must be interrupted. 

110.10 Circuit Impedance, Short-Circuit Current Ratings, and Other Characteristics. 

The overcurrent protective devices, the 

total impedance, the equipment short-circuit current ratings, and other characteristics of the circuit to be protected shall be selected and 
coordinated to permit the circuit protective devices used to clear a fault to do so without extensive damage to the electrical equipment of 
the circuit. This fault shall be assumed to be either between two or more of the circuit conductors or between any circuit conductor and 
the equipment grounding conductor(s) permitted in 250.118. Listed equipment applied in accordance with their listing shall be considered 
to meet the requirements of this section.

ARTICLE 240 – Overcurrent Protection

240.1 Scope.

 Parts I through VII of this article provide the general requirements for overcurrent protection and overcurrent protective 

devices not more than 1000 volts, nominal. Part VIII covers overcurrent protection for those portions of supervised industrial installations 
operating at voltages of not more than 1000 volts, nominal. Part IX covers overcurrent protection over 1000 volts, nominal.
 

Informational Note: Overcurrent protection for conductors and equipment is provided to open the circuit if the current reaches a value 

that will cause an excessive or dangerous temperature in conductors or con ductor insulation. See also Articles 110.9 for requirements for 
interrupting ratings and 110.10 for require ments for protection against fault currents.

(Reproduced by permission of NFPA per 2014 Edition of NEC)

Figure 10 – National Electrical Code Requires Effective Overcurrent Protection

POWRGARD-Electrical-Product-Catalog-html.html
background image

184

© 2018 Littelfuse POWR-GARD

®

 Products Catalog

littelfuse.com

10

Technical Application Guide

Tec

hnical

UL/CSA FUSE CLASSES AND APPLICATIONS

CLASS L

STANDARDS:    

UL Standard 248-10, 

        CSA 

Standard 

C22.2, 

No. 

106, 

classified 

as 

HRCI-L

VOLTAGE RATING:

  

 

600 volts, AC and/or DC

CURRENT RATINGS:

   

601-6000 amps 

        KLPC 

also 

available 

200-600A; 

LDC 

also 

available 

150-600A

INTERRUPTING RATING: 

AC: 200,000 amps rms symmetrical 

        DC: 

50,000, 

100,000, 

or 

200,000 

amps

Not interchangeable with any other UL fuse class. 

Time delay: Class L fuses may be marked “Time-Delay” although UL does not 

investigate time-delay characteristics of Class L fuses. 

KLPC & KLLU:   

 

 

10 seconds at 500% current rating 

LDC: 

      4 

seconds 

at 

500% 

current 

rating

LF SERIES:   

KLPC, KLLU, LDC

PAGE:   

8

CLASS R

STANDARDS:    

UL Standard 248-12, 

        CSA 

Standard 

C22.2, 

No. 

106, 

classified 

as 

HRCI-R

VOLTAGE RATINGS:

   

250 and 600 volts, AC; 125 and 300 volts DC

CURRENT RATINGS:

   

0-600 amps

INTERRUPTING RATING: 

200,000 amps rms symmetrical

TWO 

CLASSES: 

   

RK1 and RK5 

Time delay is optional for Class R fuses. 

Time Delay fuses are required to hold 500% current rating for a minimum of ten seconds. 

Same dimensions as UL Class H fuses, terminals modified to provide rejection feature. 

Fits UL Class R fuse holders which reject non Class R fuses. 

Physically interchangeable with UL Class H, NEMA Class H, and UL Classes K1 & 

K5 when equipment has Class H fuse holders.

CLASS K

STANDARDS:    

UL Standard 248-9; No CSA Standard

VOLTAGE RATINGS:

   

250 and 600 volts, AC

CURRENT RATING:

   

0-600 amps

INTERRUPTING RATINGS: 

Three permitted: 50,000, 100,000, and 200,000 amps  

        rms 

symmetrical 

Time delay is optional for Class K fuses. 

Time Delay fuses are required to hold 500% current rating for a minimum of ten seconds. 

Same Dimensions and Physically interchangeable with UL Class H fuse holders. 

Class K fuses are not permitted to be labeled Current Limiting because there is no rejec-

tion feature as required by NEC

®

 Article 240-60(B).

CLASS J

STANDARDS:    

UL Standard 248-8, 

        CSA 

Standard 

C22.2, 

No. 

106, 

classified 

as 

HRCI-J

VOLTAGE RATING:

 

  600 

volts, 

AC

CURRENT RATINGS:

   

0-600 amps

INTERRUPTING RATING: 

200,000 amps rms symmetrical

Not interchangeable with any other UL fuse class. 

Time delay optional: Minimum of 10 seconds at 500% current rating.

LF SERIES:   

Time Delay: JTD_ID, JTD 

Fast Acting: JLS

PAGE:   

21

CLASS G

STANDARDS:    

UL Standard 248-5 

 

 

 

 

 

 

 

 

CSA Standard C22.2, No. 106, classified as HRCI Misc.

VOLTAGE RATING:

 

  480 

volts, 

AC

CURRENT RATINGS:

   

0-60 amps

INTERRUPTING RATING: 

100,000 amps rms symmetrical

Not interchangeable with any other UL fuse class. 

Time delay optional: Minimum of 12 seconds at 200% current rating.

LF SERIES: 

SLC

PAGE:   

26

CLASS RK1

High degree of current limitation. 

Provides IEC Type 2 (no damage) 

protection for motor starters and 

control components. Time Delay 

optional, LLSRK_ID Series provides 

visual indication of blown fuse.

LF SERIES:   

Time Delay: LLNRK,  

LLSRK, LLSRK_ID 

Fast Acting: KLNR, KLSR

PAGE:   

13

CLASS RK5

Moderate degree of current limita-

tion, adequate for most applica-

tions. Time delay optional. 

FLNR_ID, FLSR_ID and IDSR series 

provides visual indication of blown 

fuse.

LF SERIES:   

FLNR, FLNR_ID,  

FLSR, FLSR_ID, and IDSR

PAGE:   

16

CLASS K5

Same prescribed degree of current 

limitation as RK5 fuses when 

tested at 50,000 or 100,000 amps 

rms symmetrical.

LF SERIES:   

NLN, NLS

PAGE:   

20

CLASS T

STANDARDS:    

UL Standard 248-15 

        CSA 

Standard 

C22.2, 

No. 

106, 

classified 

as 

HRCI-T

VOLTAGE RATINGS:

   

300 and 600 volts AC, 125 and 300 volts DC

CURRENT RATINGS:

   

0-1200 amps 

 

 

 

 

 

 

 

 

900 to 1200 amps UL Recognized for 600V version

INTERRUPTING RATING: 

200,000 amps rms symmetrical

Fast-Acting fuses. High degree of current limitation.

Very small fuses; space-saving and non-interchangeable with any other UL fuse class.

LF SERIES: 

JLLN, JLLS

PAGE:   

24

CLASS CC/CD

STANDARDS:    

UL Standard 248-4, 

 

 

 

 

 

 

 

 

CSA Standard C22.2, No. 106, classified as HRCI Misc.

VOLTAGE RATING:

 

  600 

volts, 

AC

CURRENT RATINGS:

   

UL Class CC: 0-30 amps 

        UL 

Class 

CD: 

35-60 

amps

INTERRUPTING RATINGS: 

200,000 amps rms symmetrical 

Time delay optional: Minimum of 12 seconds at 200% current rating.

LF SERIES: 

Time Delay: CCMR (motors), KLDR (transformers) 

    Fast 

Acting: 

KLKR

PAGE:   

27

CLASS K1

Same prescribed degree of current 

limitation as RK1 fuses when 

tested at 50,000 or 100,000 amps 

rms symmetrical.

LF SERIES: 

Time Delay: LLNRK,  

    LLSRK 

    Fast 

Acting: 

KLNR, 

    KLSR

PAGE:   

13

Overcurrent and short-circuit protection of power and lighting feeders and branch circuits

Current Limiting

Fuses which meet the requirements for current limiting fuses are required to be labeled “Current Limiting”. Fuse labels must 
include: UL/CSA fuse class, manufacturer’s name or trademark, current rating, AC and/or DC voltage rating, and AC and/or DC 
interrupting rating. “Time Delay”, “D”, “TD” or equivalent may also be included on the label when the fuse complies with the 
time delay requirements of its class.

POWRGARD-Electrical-Product-Catalog-html.html
background image

185

littelfuse.com 

© 2018 Littelfuse POWR-GARD

®

 Products Catalog

Technical Application Guide

Tec

hnical

10

UL/CSA FUSE CLASSES AND APPLICATIONS 

FUSES FOR SUPPLEMENTARY OVERCURRENT PROTECTION

STANDARDS:  

UL Standard 248-14; CSA Standard C22.2, 

      No. 

59-1. 

Three 

Classifications 

covered:

NOTE:    

Fuses may be rated for AC and/or DC when suitable for 

      such 

use.

(1) 

MICRO FUSES

 

 

Voltage ratings:   

UL, 125 volts; CSA, 0-250 volts 

 

Current ratings:   

UL, 0-10 amps; CSA, 0-60 amps 

 

Interrupting rating:  50 amps rms symmetrical

(2) 

MINIATURE FUSES

 (CSA classifies these as Supplemental Fuses) 

 

Voltage ratings:   

UL, 125 or 250 volts; CSA, 0-600 volts 

 

Current ratings:   

UL, 0-30 amps; CSA, 0-60 amps 

 

Interrupting rating:  10,000 amps rms symmetrical

(3) 

MISCELLANEOUS CARTRIDGE FUSES

 (CSA classifies these as

 

Supplemental Fuses)

 

Voltage ratings:   

UL, 125-1000 volts; CSA, 0-100 volts

 

Current ratings:   

UL, 0-30 amps; CSA 0-60 amps

 

Interrupting ratings: 10,000, 50,000, or 100,000 amps rms symmetrical

Time delay (Optional); Minimum delay at 200% fuse rating:

 

5 seconds for fuses rated 3 amps or less

 

12 seconds for fuses rated more than 3 amps

LF SERIES: 

BLF, BLN, BLS, FLA, FLM, FLQ, FLU, KLK, KLQ KLKD, SPF  

NOTE: Littelfuse electronic fuses are also covered by these standards; see 

electronic section of this catalog, or littelfuse.com for complete listing.

PAGE:   

30

SPECIAL PURPOSE FUSES

There are no UL Standards covering this category of fuses. These fuses have  

special characteristics designed to protect special types of electrical or electronic 

equipment such as diodes, SCR, transistors, thyristors, capacitors, integrally fused 

circuit breakers, parallel cable runs, etc. 

Fuses may be UL Recognized for use as a component in UL Listed equipment.  

UL Recognized fuses are tested for characteristics such as published interrupting 

capacity. They are also covered by UL re-examination service.

Non-renewable 

VOLTAGE RATINGS:

   

 

up to 1000 volts AC and/or DC

AMPERE RATINGS:

   

 

up to 6000 amperes

INTERRUPTING RATINGS: 

up to 200,000 amperes

Many of these fuses are extremely current limiting. When considering application of 

these fuses, or if you have special requirements, contact Littelfuse Technical Support 

Group for assistance.

LF SERIES: 

KLC, L15S, L25S, L50QS, L50S, L60S, L70QS, L70S, JLLS 900 amp 

through 1200 amp

PAGES:   

70

CLASS H

STANDARDS: 

UL Standard 248-6 

 

 CSA Standard C22.2, No. 59.1 

Also known as NEMA Class H, and sometimes 

referred to as “NEC” or “Code” fuses

VOLTAGE RATINGS:

 

250 and 600 volts, AC

AMPERE RATINGS:

 

0-600 amps

INTERRUPTING RATINGS: 

10,000 amps rms symmetrical

Two types: one-time and renewable

Physically interchangeable with UL Classes K1 & K5;

Fits UL Class H fuse holders which will also accept K1, K5, RK5, and RK1 fuses.

Manufacturers are upgrading Class H One-time fuses to Class K5 per UL Standard 

248-9D, See Class K fuses.

ONE-TIME FUSES

(NON-RENEWABLE)

Time delay:  Optional

Time-delay fuses must hold 500% 

current rating for a minimum of ten 

seconds.

LF SERIES: 

NLKP

PAGE:   

20

RENEWABLE FUSES

Only Class H fuses may be renew-

able. While time delay is optional, 

no renewable fuses meet require-

ments for time delay.

Some renewable fuses have a mod-

erate amount of time delay, referred 

to as “time lag” to differentiate 

from true time delay.

LF SERIES: 

Discontinued - Please 

cross to RK5 or RK1 class fuses

PLUG FUSES

STANDARDS: 

UL Standard 248-11, 

 

CSA Standard C22.2, No. 59.1

VOLTAGE RATINGS: 

125 volts AC only

AMPERE RATINGS:

 

0-30 amps

INTERRUPTING RATINGS: 

 

10,000 amps rms symmetrical. Interrupting 

rating need not be marked on fuse.

Two types: Edison-base and Type S

 EDISON-BASE

: Base is same as standard light bulb. All amp ratings interchange

 

able. NEC

®

 permits Edison-base plug fuses to be used only as replacements for 

 

existing fuses, and only when there is no evidence of tampering or overfusing.

 

TYPE S

: Not interchangeable with Edison-base fuses unless non-removable Type 

 

S fuse adapter is installed in Edison-base fuse socket. To prevent overfusing,

 

adapters have three ampere ratings: 10-15, 16-20, and 21-30 amps.

Time delay: Fuses may be time delay, if so, they are required to hold 200% of rating 

for 12 seconds minimum.

NOTE: Plug fuses may be used where there is not more than 125 volts between 

conductors or more than 150 volts from any conductor to ground. This permits their 

use in 120/240 volts grounded, single-phase circuits.

LF SERIES: 

Edison-base: TOO, TLO 

    Type 

S: 

SOO, 

SLO

    Type 

Adapters: 

SAO

PAGE:   

65

Non-Current Limiting

Overcurrent and short-circuit protection of power and lighting feeders and branch circuits

Additional Resources and POWR-GARD

®

 Products

Littelfuse is continually developing new technical resources 
and products that meeting evolving industry standards.  
For the latest information, visit:

littelfuse.com

POWRGARD-Electrical-Product-Catalog-html.html
background image

186

© 2018 Littelfuse POWR-GARD

®

 Products Catalog

littelfuse.com

10

Technical Application Guide

Tec

hnical

Adjustable Alarm Level

 – A setting on a protection relay at 

which an LED or an output contact operates to activate a visual 
or audible alarm.

Adjustable Time  Delay

 – A setting on a protection relay that 

determines the time between the fault detection and relay 
operation.

AIC or A.I.C.

 – See Interrupting Capacity.

AIR or A.I.R.

 – See Interrupting Rating.

Alarm Relay Contact

 – The output of the relay that acts as a 

switch and is connected to a visual or audible alarm.

Ambient Temperature

 – The air temperature surrounding a 

device. For fuses or circuit breakers in an enclosure, the air 
temperature within the enclosure.

Ampacity

 – The current in amperes that a conductor can carry 

continuously under the conditions of use without exceeding 
its temperature rating. It is sometimes informally applied to 
switches or other devices which are more properly referred to 
by their ampere rating.

Ampere Rating

 – The current rating, in amperes, that is marked 

on fuses, circuit breakers, or other equipment.

Ampere-Squared-Seconds (I

2

t)

 – A means of describing the 

thermal energy generated by current flow. When a fuse is 
interrupting a current within its current-limiting range, the term 
is usually expressed as melting, arcing, or total clearing I

2

t.

•  Melting I

2

t is the heat energy passed by a fuse after an 

overcurrent occurs and until the fuse link melts. It equals 
the rms current squared multiplied by the melting time in 
seconds. For times less than 0.004 seconds, melting I

2

approaches a constant value for a given fuse.

•  Arcing I

2

t is the heat energy passed by a fuse during its 

arcing time. It is equal to the rms arcing current squared (see 
definition below), multiplied by arcing time.

•  Clearing I

2

t (also Total Clearing I

2

t) is the ampere-squared 

seconds (I

2

t) through an overcurrent device from the 

inception of the overcurrent until the current is completely 
interrupted. Clearing I

2

t is the sum of the Melting I

2

t plus the 

Arcing I

2

t.

Analog Output

 – A 0–1 mA, 4–20 mA or 0–5 Vdc signal from 

a protection relay used to pass information to a device or 
controller.

Arc-Blast

 – A pressure wave created by the heating, melting, 

vaporization, and expansion of conducting material and 
surrounding gases or air. 

Arc-Flash

 – The sudden release of heat energy and intense 

light at the point of an arc. Can be considered a short-circuit 
through the air, usually created by accidental contact between 
live conductors.

Arc Gap

 – The distance between energized conductors or 

between energized conductors and ground. Shorter arc gaps 
result in less energy being expended in the arc, while longer 
gaps reduce arc current. For 600 volts and below, arc gaps of 
1.25 inches (32 mm) typically produce the maximum incident 
energy. 

Arc Rating

 – A rating assigned to material(s) that relates to the 

maximum incident energy the material can resist before break 
open of the material or onset of a second-degree burn. The arc 
rating is typically shown in cal/cm².

Arcing Current

 (See

 Figure 11

) – The current that flows through 

the fuse after the fuse link has melted and until the circuit is 
interrupted.

Figure 11 – Arcing and melting currents plus arcing, melting and clearing 
times 

Arcing I

2

t

 – See Ampere-Squared-Seconds (I

2

t).

Arcing Fault

 – A short-circuit that arcs at the point of fault. The 

arc impedance (resistance) tends to reduce the short-circuit 
current. Arcing faults may turn into bolted faults by welding of 
the faulted components. Arcing faults may be phase-to-phase 
or phase-to-ground.

Arcing Time

 (See 

Figure 11

) – The time between the melting 

of a fuse link or parting of circuit breaker contacts, until the 
overcurrent is interrupted.

Arc Voltage

 (See 

Figure 12

) – Arc voltage is a transient voltage 

that occurs across an overcurrent protection device during 
the arcing time. It is usually expressed as peak instantaneous 
voltage (V

peak

 or E

peak

), or on rare occasion as rms voltage.

Asymmetrical Current

 – See Symmetrical Current.

Available Short-Circuit Current (also Available or 
Prospective Fault Current)

 – The maximum rms Symmetrical 

Current that would flow at a given point in a system under 
bolted-fault conditions. Short-circuit current is maximum during 
the first half-cycle after the fault occurs. See definitions of 
Bolted Fault and Symmetrical Current.

TERMS AND DEFINITIONS

Current

Time

Peak Let-Thru Current

Peak current which would 

occur without current limitation

Arcing Energy  (I

2

t)

Melting Energy  (I

2

t)

Melting 

Time

Arcing

Time

Arcing

Current

Melting 

Current

POWRGARD-Electrical-Product-Catalog-html.html
background image

187

littelfuse.com 

© 2018 Littelfuse POWR-GARD

®

 Products Catalog

Technical Application Guide

Tec

hnical

10

Blade Fuse

 – See Knife Blade Fuse.

Body 

– The part of a fuse enclosing the fuse elements and 

supporting the contacts. Body is also referred to as cartridge, 
tube, or case.

Bolted Fault

 – A short-circuit that has no electrical resistance 

at the point of the fault. It results from a firm mechanical 
connection between two conductors, or a conductor and 
ground. Bolted faults are characterized by a lack of arcing. 
Examples of bolted faults are a heavy wrench lying across two 
bare bus bars, or a crossed-phase condition due to incorrect 
wiring

Boundaries of Approach

 – Protection boundaries established 

to protect personnel from shock and Arc-Flash hazards.

Calorie

 – The amount of heat needed to raise the temperature 

of one gram of water by one degree Celsius.1 cal/cm² is 
equivalent to the exposure on the tip of a finger by a cigarette 
lighter for one second.

Cartridge Fuse

 – A fuse that contains a current-responsive 

element inside a tubular fuse body with cylindrical ferrules (end 
caps).

Case Size (also Cartridge Size)

 – The maximum allowable 

ampere rating of a cartridge fuse having defined dimensions 
and shape. For example, case sizes for UL Listed Class H, K, J, 
RK1, and RK5 are 30, 60, 100, 200, 400, and 600 amperes. The 
physical dimensions vary with fuse class, voltage, and ampere 
rating. UL Standards establish the dimensions for each UL 
Fuse Class. This catalog’s product section contains case size 
dimensions for all Littelfuse POWR-GARD

®

 fuses.

Clearing I

2

t

 – See Ampere-Square-Seconds (I

2

t).

Clearing Time

 (see 

Figure 11

) – The time between the initiation 

of an overcurrent condition to the point at which the overcurrent 
is interrupted. Clearing Time is the sum of Melting Time and 
Arcing Time.

Conformal Coating

 – Coating used to protect circuit boards 

from pollutants, corrosion, and mildew.

Contacts (Fuse)

 – The external metal parts of the fuse used to 

complete the circuit. These consist of ferrules, caps, blades or 
terminals, as shown in this catalog.

Coordination or Coordinated System

 – See Selective 

Coordination.

Continuous Load

 – An electrical load where the maximum 

current is expected to continue for three hours or more.

CT Loop

 – The electrical circuit between a current transformer 

and a protection relay or monitoring device.

Current-Based Protection

 – Protection parameters (trip-levels/

data collection etc.) derived from current levels in a circuit.

Current-limiting Fuse

 (See 

Figure 13

) – A fuse which, when 

interrupting currents within its current-limiting range, reduces 
the current in the faulted circuit to a magnitude substantially 
less than that obtainable in the same circuit if the device was 
replaced with a solid conductor having comparable impedance. 
To be labeled “current limiting,” a fuse must mate with a 
fuse block or fuse holder that has either a rejection feature or 
dimensions that will reject non-current-limiting fuses.

Figure 13 – Current-limiting Fuse 

Current-limiting Range

 - For an individual overcurrent 

protective device, the current-limiting range begins at the 
lowest value of rms symmetrical current at which the device 
becomes current-limiting (the threshold current) and extends 
to the maximum interrupting capacity of the device. See 
definitions of Threshold Current and Interrupting Capacity.

Current Rating

 – See Ampere Rating.

Current Transformer  (CT)

 – A transformer that produces a 

current in its secondary circuit in a known proportion to current 
in its primary circuit.

Data Logging

 – Collecting and storing information in a 

format that can be reviewed for trending, troubleshooting and 
reporting.

DFT (Discrete Fourier Transform) Harmonic Filter

 – An 

algorithm used to measure the fundamental component of 
current and voltage and reject harmonics. This allows lower trip 
settings and eliminates nuisance trips due to harmonics.

TERMS AND DEFINITIONS

   INSTANTANEOUS ARC VOLTAGE

183% OF CYCLEPEAK

RESTORED VOLTAGE

Figure 2

PEAK

Current

Time

Fault occurs

Arc is extinguished

Current before fault

Fuse opens and 

clears short circuit 

in less than ½ cycle

Current which would

flow if not interrupted

Figure 12 – Transient overvoltage during arcing time

POWRGARD-Electrical-Product-Catalog-html.html
background image

188

© 2018 Littelfuse POWR-GARD

®

 Products Catalog

littelfuse.com

10

Technical Application Guide

Tec

hnical

Distance to Arc

 – Refers to the distance from the receiving 

surface to the arc center. The value used for most calculations is 
typically 18 inches. 

Dual-Element Fuse

 – A fuse with internal construction 

consisting of a separate time-delay overload element(s) that 
interrupts overcurrents up to approximately 500%-600% of 
its nominal rating, plus separate fuse links that quickly open 
higher value currents. All dual-element fuses have time delay, 
but, since there are other methods of achieving time delay, 
not all time-delay fuses have dual-element construction. 
See Time-Delay Fuse.

EFCT (Earth Fault Current Transformer)

 – A current 

transformer engineered to accurately detect low level 
ground-fault current.

Electrical Hazard Analysis

 – A study performed to identify the 

potential electrical hazards to which personnel may be exposed. 
The analysis should address both shock and Arc-Flash hazards. 

Electrically Safe Work Condition

 – Condition where the 

equipment and or circuit components have been disconnected 
from electrical energy sources, locked/tagged out, and tested to 
verify all sources of power are removed. 

Element

 – A fuse’s internal current-carrying components that 

melt and interrupt the current when subjected to an overcurrent 
of sufficient duration or value. Also called fuse link.

Fail-Safe Mode (also known as Under Voltage or UV)

 – 

Output relay is energized during normal (not tripped) operation. 
If the protection relay loses supply voltage, the system will trip 
or alarm.

Fast-Acting Fuse

 – May also be termed Normal-opening fuse, 

this is a fuse that has no intentional or built-in time delay. Actual 
opening time is determined by the fuse class, the overcurrent, 
and other conditions. Fast-acting is indicated on the fuse label 
by “Fast-Acting”, “F-A”, “F”, or other suitable marking.

Fault

 – Same as Short-Circuit and used interchangeably.

Fault Current

 – The current that flows when a phase conductor 

is faulted to another phase or ground.

Feeder Protection

 – Overcurrent or overvoltage devices 

installed on a feeder circuit to supplement, compliment or 
replace downstream protective devices.

Filler

 – A material, such as granular quartz, used to fill a section 

or sections of a fuse and aid in arc quenching.

Filter

 – An algorithm used to measure the fundamental 

component of current and voltage and reject harmonics. This 
allows lower trip settings and eliminates nuisance trips due to 
harmonics.

Flash Hazard Analysis

 – A study that analyzes potential 

exposure to Arc-Flash hazards. The outcome of the study 
establishes Incident Energy levels, Hazard Risk Categories, 

Flash Protection Boundaries, and required PPE. It also helps 
define safe work practices. 

Flash Protection Boundary

 – A protection boundary 

established to protect personnel from Arc-Flash hazards. 
The Flash Protection Boundary is the distance at which 
an unprotected worker can receive a second-degree 
burn to bare skin.

Fuse

 – An overcurrent protective device consisting of one 

or more current carrying elements enclosed in a body fitted 
with contacts, so that the fuse may be readily inserted into or 
removed from an electrical circuit. The elements are heated by 
the current passing through them, thus interrupting current flow 
by melting during specified overcurrent conditions.

Ground Continuity Monitor

 - A protection relay that 

continuously monitors a ground conductor and trips if this 
conductor opens or shorts to the ground-check conductor.

Ground-Fault

 – Unintentional contact between a phase 

conductor and ground or equipment frame. The words 
“ground” and “earth” are used interchangeably when it comes 
to electrical applications.

Ground-Fault Current

 – The current that returns to the supply 

neutral through the ground-fault and the ground-return path.

Ground-Fault Protection

 – A system that protects 

equipment from damaging ground-fault current by operating a 
disconnecting means to open all ungrounded conductors of a 
faulted circuit. This protection is at current levels less than those 
required to operate a supply circuit overcurrent device.

Ground-Fault Relay

 – A protection relay designed to detect 

a phase-to-ground-fault on a system and trip when current 
exceeds the pickup setting for greater than the trip time setting.

Hazard Risk Category

 – A classification of risks (from 0 to 

4) defined by NFPA 70E

®

. Each category requires PPE and is 

related to incident energy levels. 

High-Resistance Grounding

 – Achieved when a neutral-

ground resistor (NGR) is used to limit the current to a low level. 
Typically high-resistance grounding is 25 A and lower. See Low-
Resistance Grounding.

I

2

t

 – See Ampere-Squared-Seconds (I

2

t).

IEEE Device Numbers

 – The devices in switching equipment 

are referred to by numbers, according to the functions they 
perform. These numbers are based on a system which has 
been adopted as standard for automatic switchgear by IEEE. 
This system is used on connection diagrams, in instruction 
books and in specifications.

IEC Type 2 Protection

 – Fused protection for control 

components that prevents damage to these components under 
short-circuit conditions.  See definition of No Damage.

TERMS AND DEFINITIONS

POWRGARD-Electrical-Product-Catalog-html.html
background image

189

littelfuse.com 

© 2018 Littelfuse POWR-GARD

®

 Products Catalog

Technical Application Guide

Tec

hnical

10

Incident Energy

 – The amount of thermal energy impressed on 

a surface generated during an electrical arc at a certain distance 
from the arc. Typically measured in cal/cm

2

.

Instantaneous Peak Current (I

p

 or I

peak

)

 – The maximum 

instantaneous current value developed during the first 
half-cycle (180 electrical degrees) after fault inception. The 
peak current determines magnetic stress within the circuit. 
See Symmetrical Current.

Insulation Monitoring

 – Monitoring the resistance from phase 

to ground to detect insulation breakdown on a system.

Interrupting Capacity (AIC)

 – The highest available 

symmetrical rms alternating current (for DC fuses the highest 
direct current) at which the protective device has been tested, 
and which it has interrupted safely under standardized test 
conditions. The device must interrupt all available overcurrents 
up to its interrupting capacity. Also commonly called interrupting 
rating. See Interrupting Rating below.

Interrupting Rating (IR, I.R., AIR or A.I.R.)

 – The highest RMS 

symmetrical current, at specified test conditions, which the 
device is rated to interrupt. The difference between interrupting 
capacity and interrupting rating is in the test circuits used to 
establish the ratings.

Inverse-time Characteristics

 – A term describing protective 

devices whose opening time decreases with increasing current.

IR or I.R. (also AIR or A.I.R.)

 – See Interrupting Rating above.

Kiloamperes (kA)

 – 1,000 amperes.

Knife Blade Fuse

 – Cylindrical or square body fuses with flat 

blade terminals extending from the fuse body. Knife blades may 
be designed for insertion into mating fuse clips and/or  
to be bolted in place. Knife blade terminals may include a 
rejection feature that mates with a similar feature on a fuse 
block of the same class.

Leakage Current

 – Very low level ground-fault current, typically 

measured in milliamperes (mA, thousandths of amperes).

Limited Approach Boundary

 – An approach boundary 

to protect personnel from shock. A boundary distance is 
established from an energized part based on system voltage. To 
enter this boundary, unqualified persons must be accompanied 
with a qualified person and use the proper PPE.

Low-Resistance Grounding

 – A Resistance Grounded System 

that allows high currents to flow during a ground-fault. Typically 
100A and higher is considered Low-Resistance grounding. See 
High-Resistance Grounding.

Melting Current

 (see 

Figure 11

) – The current that flows 

through the fuse from the initiation of an overcurrent condition 
to the instant arcing begins inside the fuse.

Melting I

2

t

 – See Ampere-Squared-Seconds (I

2

t).

Melting Time

 (see 

Figure 11

) – The time span from the initiation 

of an overcurrent condition to the instant arcing begins inside 
the fuse.

Motor Protection

 – Overload protection designed to protect 

the windings of a motor from high current levels. Modern 
motor protection relays add many additional features, including 
metering, data logging and communications.

NEC

 – In general, the National Electrical Code

®

 (NEC

®

). 

Specifically, as referenced herein, NEC refers to NFPA 
Standard 70, 

National Electrical Code

, National Fire Protection 

Association, Quincy, MA 02269. 

Sections of the NEC reprinted herein, and/or quotations 
there from, are done so with permission. The quoted and 
reprinted sections are not the official position of the National 
Fire Protection Association which is represented only by the 
Standard in its entirety. Readers are cautioned that not all 
authorities have adopted the most recent edition of the NEC; 
many are still using earlier editions.

Neutral Grounding Resistor (NGR)

 – A current-limiting 

resistor connecting the power-system neutral to ground.

No Damage

 – A term describing the requirement that a system 

component be in essentially the same condition after the 
occurrence of a short-circuit as prior to the short-circuit.

Non-renewable Fuse

 – A fuse that must be replaced 

after it has opened due to an overcurrent. It cannot be 
restored to service.

Normal-opening Fuse

 – See Fast-Acting Fuse.

Nuisance Trip

 – An undesired change in relay output due to 

misinterpreted readings.

One-time Fuse

 – Technically, any non-renewable fuse. However, 

the term usually refers to UL Class H fuses and to fast acting 
UL Class K5 fuses. Such fuses are not current-limiting and do 
not have a rejection feature. One-time fuses are also referred to 
as “Code” fuses.

Open CT Hazard

 – An open-circuited CT secondary 

can develop a dangerously high voltage when the 
primary is energized.

Overcurrent

 – Any current larger than the equipment, 

conductor, or devices are rated to carry under 
specified conditions.

Overload

 – An overcurrent that is confined to the normal 

current path (e.g., not a short-circuit), which if allowed 
to persist, will cause damage to equipment and/or 
wiring. Additional information regarding fuse applications 
for overload protection can be found earlier in this 
Technical Application Guide.

TERMS AND DEFINITIONS

POWRGARD-Electrical-Product-Catalog-html.html
background image

190

© 2018 Littelfuse POWR-GARD

®

 Products Catalog

littelfuse.com

10

Technical Application Guide

Tec

hnical

Peak Let-through Current

 (See 

Figure 14

) – The maximum 

instantaneous current that passes through an overcurrent 
protective device during its total clearing time when the 
available current is within its current-limiting range.

Figure 14 – Peak Let-through Current

Phase Current

 – The current present in a phase conductor.

Phase Voltage

 – The voltage measured between a phase 

conductor and ground.

Power Factor (X/R)

 – As used in overcurrent protection, 

power factor is the relationship between the inductive 
reactance (X) and the resistance (R) in the system during a 
fault. Under normal conditions a system may be operating at 
a 0.85 power factor (85%). When a fault occurs, much of the 
system resistance is shorted out and the power factor may 
drop to 25% or less. This may cause the current to become 
asymmetrical. See definition of Symmetrical Current.  The 
UL test circuits used to test fuses with interrupting ratings 
exceeding 10,000 amperes are required to have a power factor 
of 20% or less. Since the power factor of test circuits tends to 
vary during test procedures, actual test circuits are usually set 
to a 15% power factor. The resulting asymmetrical current has 
an rms value of 1.33 times the available symmetrical rms. The 
instantaneous peak current of the first peak after the fault is 
2.309 times the available symmetrical rms.

PPE

 – An acronym for Personal Protective Equipment. It can 

include clothing, tools, and equipment.

Primary Rating (for CTs)

 – The current rating of the primary 

side of a current transformer. The first number in the ratio 500:5 
is the primary rating. Under ideal conditions 500 A of primary 
current flow through the CT will produce 5 A of current out the 
secondary terminals.

Prohibited Approach Boundary

 – An approach boundary 

to protect personnel from shock. Work in this boundary 
is considered the same as making direct contact with an 
energized part. Only qualified persons are allowed to enter this 
boundary and they must use the proper PPE. 

Prospective Current

 – See Available Short-Circuit Current.

Protection Boundaries

 – Boundaries established to protect 

personnel from electrical hazards.

Pulsing

 – Modulating the ground-fault current on a resistance 

grounded system using a contactor to short out part of the NGR 
elements (or to open one of two NGRs connected in parallel). 
Another version of pulsing is imposing a higher frequency signal 
on power lines and using a wand detector to locate the point of 
fault on a conductor.

QPL (Qualified Products List)

 – A list of approved fuses and 

holders that meet various Military specifications.

Qualified Person

 – A person who is trained, knowledgeable, 

and has demonstrated skills on the construction and operation 
of the equipment, and can recognize and avoid electrical 
hazards that may be encountered.

Rating

 – A designated limit of operating characteristics based 

on definite conditions such as current rating, voltage rating and 
interrupting rating.

Rectifier Fuse

 – See High-Speed Semiconductor Fuses.

Rejection Feature

 – The physical characteristic(s) of a fuse 

block or fuse holder that prevents the insertion of a fuse unless 
it has the proper mating characteristics. This may be achieved 
through the use of slots, grooves, projections, or the actual 
physical dimensions of the fuse. This feature prevents the 
substitution of fuses of a Class or size other than the Class 
and size intended.

Relay

 – An electrical switch that opens and closes a 

contact (or contacts) under the control of another circuit. 
Typically an electromagnet.

Renewable Element (also Renewable Link)

 – A renewable 

fuse current-carrying component that is replaced to restore 
the fuse to a functional condition after the link opens due to an 
overcurrent condition.

Renewable Fuse

 – A fuse that may be readily restored to 

service by replacing the renewable element after operation.

Resistance-Grounded System

 – An electrical system in 

which the transformer or generator neutral is connected to 
ground through a current-limiting resistor. See Solidly Grounded 
System, Ungrounded System.

Restricted Approach Boundary

 – An approach boundary 

to protect personnel from shock. A boundary distance is 
established from an energized part based on system voltage. 
Only qualified persons are allowed in the boundary and they 
must use the proper PPE. 

Selective Coordination

 (See 

Figure 15

) – In a selectively 

coordinated system, only the protective device immediately 
on the line side of an overcurrent opens. Upstream protective 
devices remain closed. All other equipment remains in service, 
which simplifies the identification and location of overloaded 

TERMS AND DEFINITIONS

Current

Time

Peak current which would

occur without current limitation

Peak Let-Thru Current

POWRGARD-Electrical-Product-Catalog-html.html
background image

191

littelfuse.com 

© 2018 Littelfuse POWR-GARD

®

 Products Catalog

Technical Application Guide

Tec

hnical

10

equipment or short-circuits. For additional information, refer  
to the Selective Coordination pages of this Technical  
Application Guide.

Figure 15 – Selective Coordination Example

Semiconductor Fuse

 – (Also known as High-Speed Fuses) 

A fuse specifically designed to protect semiconductors such 
as silicon rectifiers, silicon-controlled rectifiers, thyristors, 
transistors, and similar components.

Sensitive Ground-Fault Protection

 – Protection designed 

to accurately detect extremely low ground-fault current levels 
without nuisance tripping.

Shock

 – A trauma subjected to the body by electrical current. 

When personnel come in contact with energized conductors, 
it can result in current flowing through their body often causing 
serious injury or death.

Short-Circuit

 (See 

Figure 16

) – A current flowing outside its 

normal path, caused by a breakdown of insulation or by faulty 
equipment connections. In a short-circuit, current bypasses the 
normal load. Current is determined by the system impedance 
(AC resistance) rather than the load impedance. Short-circuit 
currents may vary from fractions of an ampere to 200,000 
amperes or more.

Short-Circuit Current Rating (SCCR)

 – The prospective 

symmetrical fault current at a nominal voltage to which an 
apparatus or system is able to be connected without sustaining 
damage exceeding defined acceptance criteria.

Short-Circuit Rating

 – The maximum RMS symmetrical short-

circuit current at which a given piece of equipment has been 
tested under specified conditions, and which, at the end of the 
test is in essentially the same condition as prior to the test. 
Short-circuit ratings (also called withstand ratings) apply to 
equipment that will be subjected to fault currents, but which 
are not required to interrupt them. This includes switches, 
busway (bus duct), switchgear and switchboard structures, 
motor control centers and transformers. 

Most short-circuit ratings are based on tests which last three 
complete electrical cycles (0.05 seconds). However, if the 
equipment is protected during the test by fuses or by a circuit 
breaker with instantaneous trips, the test duration is the time 
required for the overcurrent protective device to open  
the circuit. 

When protected as such during testing, the equipment 
instructions and labels must indicate that the equipment 
shall be protected by a given fuse class and rating or by a 
specific make, type, and rating of circuit breaker.  Circuit 
breakers equipped with short-delay trip elements instead of 
instantaneous trip elements have withstand (short-circuit) 
ratings in addition to their interrupting rating. The breaker must 
be able to withstand the available fault current during the time 
that opening is delayed.

Solidly Grounded System

 – An electrical system in which 

the neutral point of a wye connected supply transformer is 
connected directly to ground.

Symmetrical Current

 – The terms “Symmetrical Current” 

and “Asymmetrical Current” describe an AC wave symmetry 
around the zero axis. The current is symmetrical when the 
peak currents above and below the zero axis are equal in value, 
as shown in 

Figure 17 (next page)

. If the peak currents are 

not equal, as shown in 

Figure 18

, the current is considered 

asymmetrical. The degree of asymmetry during a fault is 
determined by the change in power factor (X/R) and the point in 
the voltage wave when the fault occurs. See definition of Power 
Factor. In general, lower short-circuit power factors increase the 
degree of asymmetry.

TERMS AND DEFINITIONS

In a selective system:

For a fault at "X" only fuse "C" will open.
For a fault at "Y" only fuse "F" will open.

X

B

C

D

E

A

F

G

H

J

Y

CURRENT FLOW

GEN.

LO

AD

Accidental
connection
creates fault

GEN.

LO

AD

In a "normal" circuit, 
current is determined by 
load IMPEDANCE

(Heavy lines indicate 
increased current)

In a short-circuit, current is limited 
only by impedance of fault path. 
Current may increase to many times 
load current.

Figure 16 – Current Flow in Normal and Short Circuit Situations

POWRGARD-Electrical-Product-Catalog-html.html
background image

192

© 2018 Littelfuse POWR-GARD

®

 Products Catalog

littelfuse.com

10

Technical Application Guide

Tec

hnical

Figure 17 – Symmetrical Current

Figure 18 – Asymmetrical Current

Threshold Current

 – The minimum current for a given fuse 

size and type at which the fuse becomes current-limiting. It is 
the lowest value of available rms symmetrical current that will 
cause the device to begin opening within the first 1/4 cycle (90 
electrical degrees) and completely clear the circuit within 1/2 
cycle (180 electrical degrees). The approximate threshold current 
can be determined from the fuse’s peak let-through charts.  
(See 

Figure 19.

)

Threshold Ratio

 – Consists of the threshold current divided 

by the ampere rating of a specific type or class of overcurrent 
device. A fuse with a threshold ratio of 15 becomes current-
limiting at 15 times its current rating.

Time-Delay Fuse

 – Fuses designed with an intentional, built-in 

delay in opening. When compared to fast-opening fuses, time-
delay fuses have an increased opening time for overcurrents 
between approximately 200% and 600% of the fuse’s current 
rating. Time-delay is indicated on the fuse label by “Time-Delay”, 
“T-D”, “D”, or other suitable marking. Time-delay in the overload 
range (200%-600% of the fuse rating) permits the fuse to 
withstand system switching surges, motor starting currents, and 
other harmless temporary overcurrents.

UL Standards require time-delay Class H, K, RK1, RK5, and J 
fuses to hold 500% of their normal current rating for a minimum 
of 10 seconds. They must also pass the same opening time 
tests (135% and 200% of current rating) as fast acting fuses.

Time-delay Class CC, CD, G, Plug, and Miscellaneous fuses 
have different requirements. For more information, please 
refer to the corresponding descriptions provided in the Product 
Information Section. 

For the UL Standard, Class L fuses have no standard time-
delay. The time-delay varies from series to series for a given 
manufacturer, as well as from manufacturer to manufacturer. For 
reference, Littelfuse KLPC series POWR-PRO

®

 fuses hold 500% 

of rated current for a minimum of 10 seconds.

Ungrounded System

 – An electrical system in which no point 

in the system is intentionally grounded. This was most common 
in process industries where continuity of service during a single-
phase-to-ground-fault was required.

Unqualified Person

 – A person that does not possess 

all the skills and knowledge or has not been trained for a 
particular task.

Voltage Rating

 – The maximum rms AC voltage and/or the 

maximum DC voltage at which the fuse is designed to operate. 
For example, fuses rated 600 volts and below may be applied 
at any voltage less than their rating. There is no rule for applying 
AC fuses in DC circuits such as applying the fuse at half its AC 
voltage rating. Fuses used on DC circuits must have DC ratings.

Withstand Rating

 – See Short-Circuit.

TERMS AND DEFINITIONS

Equal

Peaks

Symmertrical Current

Zero Axis

Unequal

Peaks

Asymmertrical Current

Zero Axis

Equal

Peaks

Symmertrical Current

Zero Axis

Unequal

Peaks

Asymmertrical Current

Zero Axis

1000

4000

A

B

Fuse approximate

threshold current = 4000A

Peak let-through current

Available Fault Current Symmetrical RMS Amperes

Peak Let-Through in Amperes

Figure 19 – Determining Threshold Current from Peak 
Let-through Chart

POWRGARD-Electrical-Product-Catalog-html.html
background image

193

littelfuse.com 

© 2018 Littelfuse POWR-GARD

®

 Products Catalog

Technical Application Guide

Tec

hnical

10

Using AC Motor Protection Tables to Select 

Fuse Ratings

 

Time-delay RK1 and RK5 fuse ratings selected in 
accordance with the following recommendations also 
meet NEC

®

 requirements for Motor Branch circuit and 

Short-Circuit Protection.

Selecting Fuses for Motor Running Protection 

Based on Motor Horsepower

 

Motor horsepower and motor Full Load Amperes (FLA) 
shown are taken from NEC

®

 Tables 430.248 through 

430.250 covering standard speed AC motors with normal 
torque characteristics. Fuse ratings for motors with special 
characteristics may need to vary from given values.

If motor running protection will be provided by the 
fuses, select fuse ratings for correct type of motor 
from Motor Protection Table Columns headed, 
“Without Overload Relays.”

If overload relays will provide principal motor running 
protection, select fuse ratings for correct type of motor 
from Motor Protection Table Columns headed, “Back-up 
Running Protection” or “With Overload Relays.” Fuse ratings 
selected from these columns coordinate with most UL 
Class 10 and 20 overload relays which covers over 90% 
of motor applications.

Selecting Fuses for Motor Running Protection 

Based on Motor Actual Full Load Currents

 

Better protection is achieved when fuse ratings are based on 
motor actual FLA obtained from motor nameplates. Locate 
motor nameplate FLA in the column appropriate for the 
type of motor and type of protection required. Then select 
the corresponding ampere rating of the fuse from the first 
column of that line.

MOTOR PROTECTION TABLES

TIME DELAY 

UL CLASS RK1 

OR RK5 FUSE  

AMPERE RATING

MOTOR RUNNING PROTECTION  

(USED WITHOUT PROPERLY SIZED 

OVERLOAD RELAYS) 

MOTOR FULL-LOAD AMPS

BACK-UP MOTOR RUNNING 

PROTECTION  (USED WITH PROPERLY 

SIZED OVERLOAD  RELAYS) 

MOTOR FULL-LOAD AMPS

MOTOR SERVICE 

 FACTOR OF 1.15 OR 

GREATER OR WITH 

TEMP. RISE NOT  

OVER 40°C.

MOTOR SERVICE 

 FACTOR LESS 

THAN 1.15 OR 

WITH TEMP. RISE 

GREATER  

THAN 40°C.

MOTOR SERVICE  

FACTOR OF 1.15 OR 

GREATER OR WITH 

TEMP. RISE NOT  

OVER 40°C.

MOTOR SERVICE 

 FACTOR LESS 

THAN 1.15 OR 

WITH TEMP. RISE 

GREATER  

THAN 40°C 

1

10

0.08-0.09

0.09-0.10

0-0.08

0-0.09 

1

8

0.10-0.11

0.11-0.125

0.09-0.10

0.10-0.11 

15

100

0.12-0.15

0.14-0.15

0.11-0.12

0.12-0.13 

2

10

0.16-0.19

0.18-0.20

0.13-0.16

0.14-0.17 

1

4

0.20-0.23

0.22-0.25

0.17-0.20

0.18-0.22

3

10

0.24-0.30

0.27-0.30

0.21-0.24

0.23-0.26 

4

10

0.32-0.39

0.35-0.40

0.25-0.32

0.27-0.35 

1

2

0.40-0.47

0.44-0.50

0.33-0.40

0.36-0.43 

6

10

0.48-0.60

0.53-0.60

0.41-0.48

0.44-0.52 

8

10

0.64-0.79

0.70-0.80

0.49-0.64

0.53-0.70

1

0.80-0.89

0.87-0.97

0.65-0.80

0.71-0.87 

1

1

8

0.90-0.99

0.98-1.08

0.81-0.90

0.88-0.98 

1

1

4

1.00-1.11

1.09-1.21

0.91-1.00

0.99-1.09 

1

4

10

1.12-1.19

1.22-1.30

1.01-1.12

1.10-1.22 

1

1

2

1.20-1.27

1.31-1.39

1.13-1.20

1.23-1.30

1

6

10

1.28-1.43

1.40-1.56

1.21-1.28

1.31-1.39 

1

8

10

1.44-1.59

1.57-1.73

1.29-1.44

1.40-1.57 

2

1.60-1.79

1.74-1.95

1.45-1.60

1.58-1.74 

2

1

4

1.80-1.99

1.96-2.17

1.61-1.80

1.75-1.96 

2

1

2

2.00-2.23

2.18-2.43

1.81-2.00

1.97-2.17

2

8

10

2.24-2.39

2.44-2.60

2.01-2.24

2.18-2.43 

3

2.40-2.55

2.61-2.78

2.25-2.40

2.44-2.60 

3

2

10

2.56-2.79

2.79-3.04

2.41-2.56

2.61-2.78 

3

1

2

2.80-3.19

3.05-3.47

2.57-2.80

2.79-3.04 

4

3.20-3.59

3.48-3.91

2.81-3.20

3.05-3.48

4

1

2

3.60-3.99

3.92-4.34

3.21-3.60

3.49-3.91 

5

4.00-4.47

4.35-4.86

3.61-4.00

3.92-4.35 

5

6

10

4.48-4.79

4.87-5.21

4.01-4.48

4.36-4.87 

6

4.80-4.99

5.22-5.43

4.49-4.80

4.88-5.22 

6

1

4

5.00-5.59

5.44-6.08

4.81-5.00

5.23-5.43

7

5.60-5.99

6.09-6.52

5.01-5.60

5.44-6.09 

7

1

2

6.00-6.39

6.53-6.95

5.61-6.00

6.10-6.52 

8

6.40-7.19

6.96-7.82

6.01-6.40

6.53-6.96 

9

7.20-7.99

7.83-8.69

6.41-7.20

6.97-7.83 

10

8.00-9.59

8.70-10.00

7.21-8.00

7.84-8.70

12

9.60-11.99

10.44-12.00

8.01-9.60

8.71-10.43 

15

12.00-13.99

13.05-15.00

9.61-12.00

10.44-13.04 

17

1

2

14.00-15.99

15.22-17.39

12.01-14.00

13.05- 15.21 

20

16.00-19.99

17.40-20.00

14.01-16.00

15.22-17.39 

25

20.00-23.99

21.74-25.00

16.01-20.00

17.40-21.74

30

24.00-27.99

26.09-30.00

20.01-24.00

21.75-26.09 

35

28.00-31.99

30.44-34.78

24.01-28.00

26.10-30.43 

40

32.00-35.99

34.79-39.12

28.01-32.00

30.44-37.78 

45

36.00-39.99

39.13-43.47

32.01-36.00

37.79-39.13 

50

40.00-47.99

43.48-50.00

36.01-40.00

39.14-43.48

60

48.00-55.99

52.17-60.00

40.01-48.00

43.49-52.17 

70

56.00-59.99

60.87-65.21

48.01-56.00

52.18-60.87 

75

60.00-63.99

65.22-69.56

56.01-60.00

60.88-65.22 

80

64.00-71.99

69.57-78.25

60.01-64.00

65.23-69.57 

90

72.00-79.99

78.26-86.95

64.01-72.00

69.58-78.26

100

80.00-87.99

86.96-95.64

72.01-80.00

78.27-86.96 

110

88.00-99.99

95.65-108.69

80.01-88.00

86.97-95.65 

125

100.00-119.99

108.70-125.00

88.01-100.00

95.66-108.70 

150

120.00-139.99

131.30-150.00

100.01-120.00

108.71-130.43 

175

140.00-159.99

152.17-173.90

120.01-140.00

130.44-152.17

200

160.00-179.99

173.91-195.64

140.01-160.00

152.18-173.91 

225

180.00-199.99

195.65-217.38

160.01-180.00

173.92-195.62 

250

200.00-239.99

217.39-250.00

180.01-200.00

195.63-217.39 

300

240.00-279.99

260.87-300.00

200.01-240.00

217.40-260.87 

350

280.00-319.99

304.35-347.82

240.01-280.00

260.88-304.35

400

320.00-359.99

347.83-391.29

280.01-320.00

304.36-347.83 

450

360.00-399.99

391.30-434.77

320.01-360.00

347.84-391.30 

500

400.00-479.99

434.78-500.00

360.01-400.00

391.31-434.78 

600

480.00-600.00

521.74-600.00

400.01-480.00

434.79-521.74

Selection of Class RK5 Fuses (FLNR_ID / FLSR_ID / IDSR Series) or POWR-PRO

®

 Class 

RK1 Fuses (LLNRK / LLSRK / LLSRK_ID Series) Based on Motor Full Load Amps

Motor Protection  
White Paper

Download our white paper  
on motor protection at

 

littelfuse.com/technicalcenter

POWRGARD-Electrical-Product-Catalog-html.html
background image

194

© 2018 Littelfuse POWR-GARD

®

 Products Catalog

littelfuse.com

10

Technical Application Guide

Tec

hnical

MOTOR PROTECTION TABLES

MOTOR 

HP

FULL LOAD 

AMPS

WITHOUT OVERLOAD 

RELAYS

WITH OVERLOAD RELAYS

SWITCH OR  

FUSE CLIP 

RATING

S.F. = 1.15 OR 

MORE, TEMP 

RISE NOT 

OVER 40°C

S.F. = LESS 

THAN 1.15 OR 

TEMP RISE 

MORE THAN 

40°C

S.F. = 1.15 OR 

MORE, TEMP 

RISE NOT 

OVER 40°C

S.F. = LESS 

THAN 1.15 OR 

TEMP RISE 

MORE THAN 

40°C

460 VOLT 3-PHASE MOTORS (480V CIRCUIT)

1

2

1.1

1

4

10

1

1

4

1

4

10

1

4

10

30 

3

4

1.6

2

1

8

10

2

2

30 

1

2.1

2

1

2

2

1

4

2

8

10

2

1

2

30 

1

1

2

3.0

3

1

2

3

2

10

4

3

1

2

30 

2

3.4

4

3

1

2

4

1

2

4

30 

3

4.8

5

6

10

5

6

5

6

10

30 

5

7.6

9

8

10

9

30 

7

1

2

11

12

12

15

15

30 

10

14

17

1

2

15

17

1

2

17

1

2

30 

15

21

25

20

30

25

30 

20

27

30*

30*

35

35

60 

25

34

40

35

45

40

60 

30

40

50

45

50

50

60 

40

54

60*

60*

70

60*

100 

50

65

80

70

90

75

100 

60

77

90

80

100

90

100 

75

96

110

110

125

125

200 

100

124

150

125

175

150

200 

125

156

175

175

200

200

200 

150

180

225

200*

225

225

400 

200

240

300

250

300

300

400 

575 VOLT 3-PHASE MOTORS (600V CIRCUIT)

1

2

0.9

1

1

8

1

1

1

8

1

1

8

30 

3

4

1.3

1

6

10

1

4

10

1

6

10

1

6

10

30 

1

1.7

2

1

8

10

2

1

4

2

30 

1

1

2

2.4

3

2

1

2

3

3

30 

2

2.7

3

2

10

2

8

10

3

1

2

3

2

10

30 

3

3.9

4

1

2

4

5

4

1

2

30 

5

6.1

7

1

2

7

8

7

1

2

30 

7

1

2

9

10

10

12

12

30 

10

11

12

12

15

15

30 

15

17

20

17

1

2

25

20

30 

20

22

25

25

30

30

30 

25

27

30*

30*

35

35

60 

30

32

40

35

40

40

60 

40

41

50

45

60

50

60 

50

52

60

60

70†

60

60 

60

62

75

70

80

75

100 

75

77

90

80

100

90

100 

100

99

110

110

125

125

200 

125

125

150

125

175

150

200 

150

144

175

150

200

175

200

200

192

225

200*

250

225

400

NOTES

S.F. = Motor Service Factor
*  Fuse Reducers Required
† 100 Amp Switch Required

MOTOR 

HP

FULL LOAD 

AMPS

WITHOUT OVERLOAD 

RELAYS

WITH OVERLOAD RELAYS

SWITCH OR  

FUSE CLIP 

RATING

S.F. = 1.15 OR 

MORE, TEMP 

RISE NOT 

OVER 40°C

S.F. = LESS 

THAN 1.15 OR 

TEMP RISE 

MORE THAN 

40°C

S.F. = 1.15 OR 

MORE, TEMP 

RISE NOT 

OVER 40°C

S.F. = LESS 

THAN 1.15 OR 

TEMP RISE 

MORE THAN 

40°C

120 VOLT 1-PHASE MOTORS (120V CIRCUIT)

1

6

4.4

5

5

5

6

10

5

6

10

30 

1

4

5.8

7

6

1

4

7

1

2

7

30 

1

3

7.2

9

8

9

9

30 

1

2

9.8

12

10

15

12

30 

3

4

13.8

15

15

17

1

2

17

1

2

30 

1

16

20

17

1

2

20

20

30 

1

1

2

20

25

20

25

25

30 

2

24

30

25

30

30

30

230 VOLT 1-PHASE MOTORS (240V CIRCUIT)

1

6

2.2

2

1

2

2

1

2

2

8

10

2

8

10

30 

1

4

2.9

3

1

2

3

2

10

4

3

1

2

30 

1

3

3.6

4

1

2

4

4

1

2

4

1

2

30 

1

2

4.9

5

6

10

5

6

10

6

1

4

6

30 

3

4

6.9

8

7

1

2

9

8

30 

1

8

10

9

10

10

30 

1

1

2

10

12

10

15

12

30 

2

12

15

12

15

15

30 

3

17

20

17

1

2

25

20

30 

5

28

35

30*

35

35

60 

7

1

2

40

50

45

50

50

60 

10

50

60

50

70

60

60

200 VOLT 3-PHASE MOTORS (208V CIRCUIT)

1

2

2.5

3

2

8

10

3

2

10

3

30 

3

4

3.7

4

1

2

4

5

4

1

2

30 

1

4.8

6

5

6

10

6

1

4

6

30 

1

1

2

6.9

8

7

1

2

7

1

2

8

30 

2

7.8

9

8

10

9

30 

3

11

12

12

15

15

30 

5

17.5

20

20

25

25

30 

7

1

2

25.3

30*

25*

35

30*

60 

10

32.2

40

35

45

40

60 

15

48.3

60

50

70†

60

60 

20

62.1

75

70

80

75

100 

25

78.2

90

80

100

90

100 

30

92

110

100*

125

110

200 

40

120

150

125

150

150

200 

50

150

175

150

200

175

200 

60

177

200*

200*

225

225

400 

75

221

250

250

300

300

400 

100

285

350

300

400

350

400 

125

359

400*

400*

450

450

600 

150

414

500

450

600

500

600

230 VOLT 3-PHASE MOTORS (240V CIRCUIT)

1

2

2.2

2

8

10

2

1

2

2

8

10

2

8

10

30 

3

4

3.2

4

3

1

2

4

4

30 

1

4.2

5

4

1

2

5

6

10

5

30 

1

1

2

6.0

7

1

2

6

1

4

7

1

2

7

1

2

30 

2

6.8

8

7

1

2

9

8

30 

3

9.6

12

10

12

12

30 

5

15.2

17

1

2

17

1

2

20

17

1

2

30 

7

1

2

22

25

25

30

30

30 

10

28

35

30*

35

35

60 

15

42

50

45

60

50

60 

20

54

60*

60*

70

70

100 

25

68

80

75

90

80

100 

30

80

100

90

100

100

100 

40

104

125

110

150

125

200 

50

130

150

150

175

150

200 

60

154

175

175

200

200

200 

75

192

225

200*

250

225

400 

100

248

300

250

350

300

400 

125

312

350

350

400

400

400 

150

360

450

400*

450

450

600 

200

480

600

500

600

600

600

Selection of Class RK5 Fuses (FLNR_ID / FLSR_ID / IDSR Series) or POWR-PRO

®

 Class 

RK1 Fuses (LLNRK / LLSRK / LLSRK_ID Series) Based on Motor Horsepower

Motor Protection  
White Paper

Download our white paper  
on motor protection at

 

littelfuse.com/technicalcenter

POWRGARD-Electrical-Product-Catalog-html.html
background image

195

littelfuse.com 

© 2018 Littelfuse POWR-GARD

®

 Products Catalog

Technical Application Guide

Tec

hnical

10

MOTOR PROTECTION TABLES

MOTOR F.L.A.

JTD_ID / JTD  

AMPERE RATING

MOTOR F.L.A.

JTD_ID / JTD  

AMPERE RATING

MOTOR F.L.A.

JTD_ID / JTD 

 AMPERE RATING

0.00 – 0.60

8

10

12.1 – 14.5

17 

1

/

2

76.1 – 84.0

110 

0.61 – 0.80

1

14.6 – 17.0

20

84.1 – 90.0

125 

0.81 – 1.00

1

1

4

17.1 – 21.0

25

90.1 – 102

150

1.01 – 1.20

1

1

2

21.1 – 25.0

30

103 – 125

175 

1.21 – 1.65

2

25.1 – 28.5

35

126 – 144

200 

1.66 – 2.00

2

1

2

28.6 – 34.0

40

145 – 162

225

2.01 – 2.40

3

34.1 – 37.0

45

163 – 180

250 

2.41 – 3.30

4

37.1 – 41.0

50

181 – 204

300 

3.31 – 4.10

5

41.1 – 48.0

60

205 – 240

350

4.11 – 4.90

6

48.1 – 52.0

70

241 – 288

400 

4.91 – 6.40

8

52.1 – 59.0

80

289 – 312

450 

6.41 – 8.00

10

59.1 – 66.0

90

313 – 360

500

8.01 – 9.80

12

66.1 – 76.0

100

361 – 432

600 

9.81 – 12.0

15

NOTE: For severe motor starting conditions, fuses may be sized up to 225% motor F.L.A. (See NEC

®

 Article 430.52 for Exceptions)

MOTOR FULL LOAD CURRENT (F.L.A.)

CCMR

AMPERE RATING

FOR MOTORS WITH AN ACCELERATION 

TIME OF 2 SECONDS OR LESS

FOR MOTORS WITH AN ACCELERATION 

TIME OF 5 SECONDS OR LESS

FOR MOTORS WITH AN ACCELERATION  

TIME OF 8 SECONDS OR LESS

MIN. F.L.A. (1)

MAX F.L.A. (3)

MIN. F.L.A. (1)

MAX F.L.A. (3)

MIN F.L.A. (2)

MAX F.L.A. (3)

0.2

0.2

0.2

0.2

0.2

0.2

3

10

0.3

0.4

0.3

0.4

0.3

0.3

1

2

0.4

0.6

0.4

0.5

0.4

0.5

8

10

0.5

0.7

0.5

0.6

0.5

0.6

1

0.6

1.0

0.6

0.9

0.6

0.8

1

1

4

0.8

1.1

0.8

1.0

0.7

0.9

1

1

2

0.9

1.3

0.9

1.1

0.8

1.0

1

8

10

1.1

1.4

1.1

1.2

0.9

1.1

2

1.2

2.1

1.2

2.1

1.2

1.8

2

1

2

1.5

2.6

1.5

2.6

1.4

2.3

3

1.8

3.0

1.8

3.0

1.6

2.6

3

1

2

2.1

3.4

2.1

3.2

1.8

2.8

4

2.3

3.9

2.3

3.3

2.0

2.8

4

1

2

2.6

4.3

2.6

3.4

2.3

2.8

5

2.9

4.8

2.9

3.7

2.5

3.1

5

6

10

3.3

5.2

3.3

4.0

2.7

3.4

6

3.5

5.4

3.5

4.1

2.8

3.5

6

1

4

3.6

5.7

3.6

4.2

3.2

3.7

7

4.1

5.8

4.1

4.3

3.4

3.8

7

1

2

4.3

6.2

4.3

4.6

3.6

4.2

8

4.6

6.9

4.6

5.2

4.0

4.5

9

5.2

7.7

5.2

5.8

4.5

4.9

10

5.8

8.9

5.8

6.6

5.4

5.5

12

6.9

10.0

6.9

7.7

6.7

6.7

15

8.9

13.5

8.9

10.0

6.8

9.0

20

11.5

15.8

11.2 (2)

11.8

9.0

11.0

25

14.3

17.8

13.4 (2)

13.4

10.0

15.0

30

20.7

23.3

16.1

17.9

15.6

15.9

35

23.7

26.7

18.4

20.5

17.8

18.2

40

26.6

30.0

20.7

23.1

20.0

20.4

45

30.0

33.3

23.0

25.6

22.3

22.7

50

35.5

40.0

27.6

30.1

26.7

27.3

60

1   Based on NEC

®

 requirement limiting the rating of time-delay fuses to 175% of motor 

F.L.A., or next higher rating.

2   Based on NEC

®

 exception permitting fuse rating to be increased, but not to exceed, 

225% motor F.L.A., however per NEC

®

 Article 430.52 Class CC (0-30) fuses can now be 

sized up to 400% of motor F.L.A.

3   Based on Littelfuse CCMR time-delay characteristics.

NOTE: These values were calculated for motors with Locked Rotor 

Current (LRA), not exceeding the following values:

MOTOR F.L.A.

*LRA

0.00 – 1.00

850%

1.01 – 2.00

750%

2.01 – 10.0

650%

10.1 – 17.8

600%

*If motor LRA varies from these values, contact Littelfuse.

Selection of POWR-PRO

®

 Class J Fuses (JTD_ID / JTD Series) 

Based on Motor Full Load Amps

Selection of CCMR Time-Delay Fuses Based on Motor Full Load Amps

POWRGARD-Electrical-Product-Catalog-html.html
background image

196

© 2018 Littelfuse POWR-GARD

®

 Products Catalog

littelfuse.com

10

Technical Application Guide

Tec

hnical

CONDENSED CROSS REFERENCE GUIDE

This cross reference covers the most popular fuses for which there is a similar Littelfuse standard item. Furnished for your 

convenience, it is meant to serve as a guide for product selection. We suggest you check all applicable specifications before 

making substitutions. For special applications, more complete information, and for fuse block and medium voltage fuse cross 

referencing, visit 

Littelfuse.com

 or call 

1-800-TEC-FUSE (1-800-832-3873).

Competitor

Littelfuse

10KOTN

NLN

10KOTS

NLS

50KOTN

NLN

50KOTS

NLS

170M

PSR

A013F

L15S

A015F

L15S

A015R

L15S

A025F

L25S

A050F

L50S

A060F

L60S

A070F

L70S

A13X

L15S

A25X

L25S 

A2D-R

LLNRK 

§

A2K-R

KLNR

A3T

JLLN

A4BQ

KLPC

A4BT

KLLU or KLPC

A4BY

KLPC or KLLU

A4J

JLS

A50P (type 1 & 4)

L50S

A50QS

L50QS

A60X

L60S

A6D-R

LLSRK_ID 

§

A6K-R

KLSR

A6T

JLLS

A70P

L70S

A70QS

L70QS

ABC

314

ACK

CCK

AG

SLC

AGA

AGA

AGC

312

AGU (1-30A)

BLN

AGW

AGW

AJT

JTD_ID

AMG

MEG

AMI

MID

ANL

CNL 

§

ANN

CNN_E

ASO

SPF

ATC

ATO (287)

AT-DE

FLNR_ID 

ATDR

CCMR 

§

ATM (Mersen)

KLKD

ATMR

KLKR 

§

ATQ

FLQ

ATQR

KLDR

AX

481

A_UD

PSR

BAF

BLF

BAN

BLN

BBS

BLS

Competitor

Littelfuse

C519

229

C520

225

CHSF

L50QS

CJ

JLS

CJS

JLS

CLF

KLPC or KLLU

CLL

KLLU or KLPC

CLU

KLLU or KLPC

CM

BLF

CRN-R

FLNR_ID 

CRS-R

FLSR_ID

CTN-R

KLNR

CTS-R

KLSR

DCT

SPF 

DFJ

LDFJ

EBS

BLS

ECNR

FLNR_ID 

ECSR

FLSR_ID

ERN

FLNR 

+

ERS

FLSR 

+

FNA

FLA

FNM

FLM

FNQ

FLQ

FNQ-R

KLDR

FRN-R

FLNR_ID 

FRS-R

FLSR_ID

FWA

L15S 

† §

FWH

L50QS

FWP

L70QS

FWX

L25S * 

GDA

216

GDB

217

GDC

218

GDL

313

GEB

LEB

GEBN

LET

GFA

251

GFN

FLA

GGC

312

GGM

235

GLR

LGR

GMA

235

GMD

239

GMT

481

HCLR

KLKR

HCTR

KLDR

HEB

LEB

HET

LET

HLR

LHR

HP10M

SPF

HP6J

SPFJ *

HSJ

LDFJ

JDL

JTD_ID

JFL

JLS

Competitor

Littelfuse

JHC

JTD_ID

JHL

LDFJ

JJN

JLLN

JJS

JLLS

JKS

JLS

KAA

L15S

KAB

L25S

KAC

KLC

KBH

L50S

KLM

KLKD

KLU

KLLU or KLPC

KN

KLNR

KON

NLN

KOS

NLS

KRP-C

KLPC

KS

KLSR

KTK

KLK

KTKR

KLKR

KTNR

KLNR

KTSR

KLSR

KTU 601-2000A

LDC

KTU 2500-6000A

KLPC

LCL

KLPC or KLLU

LCU

LDC

LENRK

LLNRK

LESRK

LLSRK_ID

LKU

KLLU

LONRK

LLNRK

LOSRK

LLSRK_ID

LPCC

CCMR

LPJ (SP)

JTD_ID

LPNRK (SP)

LLNRK 

§

LPSRK (SP)

LLSRK_ID

MCL

KLK

MCR

251

MDA

326

MDL

313

MDQ

313

MDV

315

MDX

313

MEN

FLM

MEQ

FLQ

MID

FLA

MOF

BLN

MOL

BLF

MTH

312

NCLR

KLNR

NON

NLN

Competitor

Littelfuse

NOS

NLS

NRN

NLN

NRN (15-60A)

NLKP

NRS

NLS

OT

NLN

OTM

BLF or BLN

OTN

NLN

OTS

NLS

PC_UD

PSR

PSC

PSR

PV-(1-30)A10F

SPF

PV-(50A-200A)1XL15

SPNH

REN

FLNR 

+

RES

FLSR 

+

RF

FLNR 

+

RFA

L15S

RFC

KLC

RFL (750V)

L70S (700 V)

RFN (Mersen)

FLNR 

+

RFS (Mersen)

FLSR 

+

RFV

L50S

RHN

KLNR

RHS

KLSR

S

SOO

SA

SAO

SC

SLC

SEC

SLC

SF13X

L15S

SF25X

L25S

SF50P

L50S

SF60X

L60S

SF70P

L70S

SFE

SFE

SL

SLO

T

TOO

TJN

JLLN

TJS

JLLS

TL

TLO

TR

FLNR_ID 

‡ / §

TRM

FLM

TRN-R

FLNR_ID 

‡ / §

TRS

FLSR_ID 

§

TRS-R

FLSR_ID 

§

XL25X

L25S

XL50F

L50S *

XL70F

L70S *

A fuse may be used in circuits where the fuse’s voltage rating is equal to or greater than the circuit 

voltage, unless otherwise stated on the fuse. For example, the FLSR_ID indicating fuse has a voltage 

rating of 75-600 volts. This fuse can be used on 600 volts, 480 volts, 250 volts, 125 volts, or 75 volts. 

Never use a fuse in a circuit having a higher rated voltage than the fuse.
* Check specific mounting dimensions before substituting.

† Check characteristics and dimensions for application before substituting.

‡ For 

1

/

10

 - 30 amperes, order non-indicating FLNR series fuses.

§ Verify voltage for DC applications. 

+ Littelfuse product is a non-renewable fuse.

POWRGARD-Electrical-Product-Catalog-html.html
background image

197

littelfuse.com 

© 2018 Littelfuse POWR-GARD

®

 Products Catalog

Technical Application Guide

Tec

hnical

10

ALPHANUMERIC INDEX

Product Name

Page Number

097023

122

150322

131

1LFS Series

121

215 Series

35

216 Series

35

217 Series

35

218 Series

35

224 Series

34

225 Series

34

229 Series

34

230 Series

34

235 Series

35

239 Series

35

251 Series

33

273 Series

33

287 Series

36

297 Series

36

299 Series

36

312 Series

34

313 Series

34

314 Series

34

315 Series

34

318 Series

34

324 Series

34

325 Series

34

326 Series

34

342 Series

125

345 Series 

126

354 Series

121

451 Series

33

477 Series

33

481 Series

51

505 Series

33

571 Series

117

572 Series

117

ATO Series

36

BLF Series

30

BLN Series

30

BLS Series

31

Box Cover Units

167

Bus Bar Series

119

BVSP Series

164

Cable Limiters

67

CCMR Series

27

Class CC

27

Class CD

27

Class G

26

Class J

21

Class K5

20

Class L

8

Class RK1

13

Class RK5

16

Class T

24

CNL Series

64

Product Name

Page Number

CNN / CNN_E Series

64

Coordination Panels

155

Cylindrical Fuses

68

Definitions

184

Displays

169

Distribution Blocks

130

E-Rated Fuses

42

Electronic Fuses

32

FBDIN1

110

FLA Series

31

FLM Series

30

FLNR Series

17

FLNR_ID Series

17

FLQ Series

30

FLSR Series

17

FLSR_ID Series

17

FLU Series

31

Fork-Lift Fuses

64

FRCK Series

168

Fuse Blocks, Fuse Holders

90

Fuse Classifications

182

Fuse Reducers

166

Fuseology

171

GDB Series

137

GFP

122

HAZGARD™

64

High-Speed Fuses

70

IDSR Series

16

In-Line Fuse Holders

148

JCASE Series

37

JLLN Series

24

JLLS Series

24

JLS Series

22

JTD/JTD_ID Series

21

KLC Series

81

KLDR Series

28

KLK Series

30

KLKD Series

30

KLKR Series

28

KLLU Series

9

KLNR Series

15

KLPC Series

8

KLQ Series

31

KLSR Series

15

L15S Series

85

L17T Series

50

L25S Series

81

L50QS Series

75

L50S Series

81

L60030C, L60030M Series

107

L60030MPCB

103

L60S Series

81

L70QS Series

78

L70S Series

83

Product Name

Page Number

LCC Series

122

LCP Series

155

LD Series

130

LDC Series

10

LEB Series

148

LEC Series

148

LET Series

148

LEX Series

148

LEX YY Series

152

LEXT YY Series

152

LEY Series

148

LF Series Covers

111

LFC600

107

LFCL Series

67

LFFB003

123

LFG480, LFG600 Series

105

LFH250, LFH600 Series

94

LFJ 1000V Series

114

LFJ600 Series

91

LFNH

60

LFPSJ

118

LFPXV

113

LFR250, LFR600 Series

91

LFT300, LFT600 Series

100

LGR Series

66

LHFB

123

LHR Series

66

Live Parts

48

LLNRK Series

13

LLSRK/ LLSRK_ID Series

13

LMF Series

66

LPBC Series

130

LPFP

122

LPS

157

LPSC

117

LPSM

117

LPSM-QC

120

LPXV Series

112

LRU Series

166

LS Series

130

LSCR Series

127

LSCY

167

LSKA

167

LSOU

167

LSOW

167

LSOX

167

LSOY

167

LSOY-B

167

LSRU

167

LSRW

167

LSRX

167

LSRY

167

LSSU

167

LSSW

167

POWRGARD-Electrical-Product-Catalog-html.html
background image

198

© 2018 Littelfuse POWR-GARD

®

 Products Catalog

littelfuse.com

10

Technical Application Guide

Tec

hnical

Product Name

Page Number

LSSX

167

LSSY

167

LSTY

167

LTFD Series

55

LVSP Series

163

MAXI Series

36

Medium Voltage

39

MEGA Series

65

MFP

122

Midget Fuses

30

MINI Series

36

MOV

161

MROplus

3

NLKP Series

20

NLN Series

20

NLS Series

20

OEM Products

69

Overvoltage Suppression

161

Product Name

Page Number

Plug Fuses

65

Potential Transformer

47

POWR-BLOKS

130

POWR-PRO

®

 Fuses

3

Pre-Engineered Solutions

154

PSR Series

171

R-Rated Fuses

40

Semiconductor Fuses

70

SLC Series

26

Solar Fuses

56

SPF Series

62

SPFI Series

61

SPFJ Series

63

SPL001

110

Splicer Blocks

130

SPNH Series

60

SPXI Series

59

SPXV Series

58

Product Name

Page Number

Stud-Mounted Fuse Blocks

127

Suppression Products

160

Technical Information

170

Telecom Fuses

49

TLN Series

51

TLO Series

65

TLS Series

52

TMOV

162

TOO Series

65

Varistors

162

WPB Series

149

ALPHANUMERIC INDEX

POWRGARD-Electrical-Product-Catalog-html.html
background image

Kaunas

Amsterdam

Muzquiz

Bellingham

Matamoros

Boston

Essen

Saskatoon

Piedras Negras

Seoul

Tokyo

Tsukuba

Suzhou

Wuxi

Beijing

Shanghai

Kunshan

Taipei

Chu-pei

Dongguan

Shenzhen

Hong Kong

Lipa City

Singapore

São Paulo

Legnago

Bremen

Deventer

Lauf

Ozegna

Troy

Eagle Pass

Manaus

Lake Mills

Rapid City

Chicago

Champaign

Freemont

Local Resources for a 

GLOBAL

 Market

Visit Technical Resources at Littelfuse.com

  

Technical information is only a click away. The Littelfuse Technical 

Resources contains datasheets, product manuals, whitepapers, 

application guides, demos, on-line design tools, and more.

Protection Relays & Controls Catalog 

(PF130N)   

The comprehensive line of electronic and microprocessor-
based protection relays, timers, and flashers safeguard 
equipment and personnel to prevent expensive damage, 
downtime or injury due to electrical faults.

POWR-GARD

®

 Solar Catalog 

(PF140N)

POWR-GARD Solar Products are designed specifically 
for photovoltaic applications where issues such as heat, 
efficiency, longevity and global standards impact the choices  
in selecting circuit protection.

An Extension of Your Team

Technical Hotline (800-TEC-FUSE or 800-832-3873)

 

Littelfuse engineers are a phone call away to help identify potential issues and provide 
product recommendations to resolve problems. 

Application and Field Support

 

Our experienced product and application engineers work step-by-step with customers 
from design to installation to determine the best solution.

...plus 30% more fuse blocks!

NEW  POWR-SPEED

®

High-Speed Fuses

NEW 1500V Solar Fuses & Holders

LFPXV Series  

Touch-Safe Fuse Holders

SPNH Series  

Solar Fuse

LFNH Series 

Fuse Terminal 

Covers

LFNH Series

Fuse Holder

POWRGARD-Electrical-Product-Catalog-html.html
background image

POWR-GARD

®

  

PRODUCTS CATALOG

© 2018 Littelfuse, Inc.

FORM PF101N

Rev: 1-C-020818

Specifications, descriptions and illustrative material in this literature are as accurate as known at the time of publication, but are subject to changes without notice. 

Visit Littelfuse.com for the most up-to-date technical information. 

Disclaimer Notice –

 Information furnished is believed to be accurate and reliable. However, users should independently evaluate the suitability of and test each product selected for their own 

applications. Littelfuse products are not designed for, and may not be used in, all applications. 

Read complete Disclaimer Notice at www.littelfuse.com/product-disclaimer.

Littelfuse products are certified to many standards around 

the world. To check certifications on specific product please 

refer to the product datasheet on Littelfuse.com. 

Littelfuse World Headquarters

8755 West Higgins Road, Suite 500

Chicago, IL 60631, USA

Technical Support:

 

Tel: +1-800-TEC-FUSE
E-mail: techline@littelfuse.com

Customer Service:

Tel: +1-800-227-0029
E-mail: PG_CSG@littelfuse.com

Fax: +1-847-787-5190

Littelfuse SymCom

222 Disk Drive
Rapid City, SD 57701, USA

Technical Support

:

Tel: +1-800-832-3873
E-mail: techline@littelfuse.com

Customer Service:

 

Tel: +1-800-227-0029
E-mail: PG_CSG@littelfuse.com

Fax: + 1-605-348-5685

Littelfuse Startco

3714 Kinnear Place
Saskatoon, SK S7P 0A6
Canada
Tel: +1-306-373-5505
Fax: +1-306-374-2245
E-mail: techline@littelfuse.com

PO
WR-GAR

D

®

 PRODUCTS CA

TAL
OG

SURGE SUPPRESSION PRODUCTS

AUTOMOTIVE & ELECTRONIC FUSES

UL GENERAL INDUSTRIAL FUSES

HIGH-SPEED FUSES

MEDIUM VOLTAGE FUSES

PRE-ENGINEERED PANELS & SWITCHES

SOLAR PRODUCTS

BLOCKS & HOLDERS