background image

Walsin Technology Corporation

 

 

 

 

for CHIP-R and MLCC

 

 

 

 

Soldering Joint Criteria  

Page 2 

 

Screen or Stencil Printing of Solder Paste 

 

Placement Accuracy 

 

Visual inspection of soldered joints 

 

Guidelines for Footprint Design 

Page 7 

 

Footprint design for   Discrete CHIP-R / 8P4R Array Resistor 

 

Footprint design for   10P8R network Resistor 

 

Footprint design for  Discrete MLCC / 8P4CArray Capacitor 

 

Stencil thickness 

 

Reflow soldering  

Page 11 

 

Wave soldering 

Page 14 

 

Adhesive and Adhesive Application 

Page 16 

 

PCB design guidelines 

Page 18 

 

Precaution of handling 

Page 21 

 
 

 

Surface Mounted Technology Notes

 Page 

2002a 

smt_notes-html.html
background image

Walsin Technology Corporation

 

 

Soldering Joint Criteria 

The components and the printed boards must fulfil the requirements for good solderability and wettability even 

after an (accelerated) ageing treatment. The components are tested according to IEC 68-2-58 under the 

following conditions : 

Property to be tested 

Temperature of the solder (

°

C) 

Dwell time (second) 

Wettability 

235 

±

 5 

±

 0.2 

Permanent wetting 

260 

±

 5 

±

 0.5 

 

Speed of immersion 

: 25 

±

 2.5 mm/sec 

 

Speed of withdrawal 

: 25 

±

 2.5 mm/sec 

 

Depth of immersion 

: Such that the surfaces to be examined are fully immersed. 

Most reflow soldering techniques utilize a solder paste that can be applied by screen-printing, stencil-printing or 

dispensing. Solder paste is a suspension of pre-alloyed solder powder particles in a flux vehicle, to which 

special agents have been added. 

Solder balling is a common problem in reflow soldering using solder paste, because during the melting process 

the solder powder particles do not completely coalesce, so that isolated spheres of solder are left on the non-

wettable parts of the substrate. 

The solder balling test determines the reflow properties of the pre-alloyed solder powder particles in the paste. 

Preferred 

The molten solder from the paste has 
melted into one solder ball. 

Acceptable 

The molten solder from the paste has 
melted into one large solder ball 
surrounded by a small number of very 
small solder particles (

 50um)

 

Rejected 

The molten solder from the paste has 
melted into one or more solder balls 
surrounded by a lot of small solder 
particles

 

 

Surface Mounted Technology Notes

 Page 

2002a 

smt_notes-html.html
background image

Walsin Technology Corporation

 

 

 

Screen or Stencil Printing of Solder Paste 

In reflow soldering the quantity of solder at each soldered joint depends on the amount of solder paste 

deposited on each solder land. In standard cases, the amount of solder paste should be 0.8 mg/mm

2

 of 

surface area of the solder lands. For fine pitch (

 0.8mm) multi-lead components, the amount of solder 

paste should be lower, in the range of 0.5 mg/mm

2

.  

Solder paste printing shifted in x/y direction 

Criteria 

 

Preferred 

 

Acceptable 

For Components like 0805, 1206 : 

Displacement  

 0.2 mm. 

For multi-lead components like array resistor with a pitch  

 

0.8 mm : 

Displacement  

 0.1 mm.

 

 

Rejected 

For Components like 0805, 1206 : 

Displacement  > 0.2 mm. 

For multi-lead components like array resistor with a pitch 

 

0.8 mm : 

Displacement  >0.1 mm

 

 

Rejected 

Contamination of paste, too little paste and no paste 

 

Rejected 

Paste outflow more than 0.2mm outside the solder land 
caused by too much solder paste or too great a placing 
force, (for multi-lead components with pitch 

 0.8 mm : 

outflow more than 0.1mm) 

Surface Mounted Technology Notes

 Page 

2002a 

smt_notes-html.html
background image

Walsin Technology Corporation

 

 

 

Placement Accuracy 

In principle all components must be positioned exactly onto the solder lands. As a minimum condition, half 

the width of the component termination has to be placed on the solder land. Displacement in the y 

direction and/or displacement caused by rotation cause the total displacement. This demand is a practical 

value, which guarantees a reliable joint and can be visually inspected in an unambiguous way. 

Components shifted in x/y direction 

Criteria 

 

Preferred 

 

Acceptable 

Half or more of the width of the component is situated on the 
solder land. Only acceptable when the conductor is covered 
with insulating lacquer. 

 

Rework 

Less than half the width of the component is situated on the 
solder land. 

 

Rework 

The metallisation must at least be partly positioned on the 
solder land.

 

Surface Mounted Technology Notes

 Page 

2002a 

smt_notes-html.html
background image

Walsin Technology Corporation

 

 

 

Components with short leads (SO,SSOP, QFP) and

Array and Network of Resistor / Capacitor 

Criteria 

 

Preferred 

A

Lan

Termination

Distance A 

 3/4 the width of the termination 

 

Acceptable 

A

Lan

Termination

A

Distance A 

 half the width of the termination 

 

Rework 

A

Lan

Termination

A

Distance A > half the width of the termination 

 

Rework 

B

Lan

Termination

A

 Distance A and B > half the width of the 
termination

 

Surface Mounted Technology Notes

 Page 

2002a 

smt_notes-html.html
background image

Walsin Technology Corporation

 

 

 

Visual inspection of  soldered joints 

Criteria 

 

Preferred 

 

The height of the meniscus is equal to the 
component height. The solder fillet is 
concave. 

 

Acceptable 

 

For Components with a termination height H 
< 1.2mm : The height of the meniscus must 
be at least 1/3 of the height H 

For components with a termination height H  

 1.2mm : The height of the meniscus must 

be at least 0.4mm. 

 

Rework 

 

For components with a height H of less than  
1.2 mm, the height of the meniscus is less 
than 1/3 of the height H. 

For components with a height H over 1.2mm, 
the height of the meniscus is less than 
0.4mm 

 

Rework 
 

The height of the meniscus is less than 
0.4mm or the solder fillet is convex.

 

Surface Mounted Technology Notes

 Page 

2002a 

smt_notes-html.html
background image

Walsin Technology Corporation

 

 

Guidelines for Footprint Design 

The first step in circuit board design is to consider 

how the surface mounted board will be manufactured

This is because the manufacturing process determines the necessary dimensions of the solder lands, the 

minimum spacing between components, the area underneath the SMD where tracks may be laid down, and 

the required component orientation during wave soldering. Therefore a footprint related to the manufacturing 

process with all this information is an essential tool for SMD circuit board design. 

A typical SMD footprint, as shown in following figure is composed of : 

 

A

F

Occupied area

Solder resist pattern

Solder land / 

Solder paste pattern

Tracks or Dummy tracks

(for wave soldering only)

B

E

C

 

 

These footprint details depend on the following parameters : 

 

Component dimensions and tolerances as given in the component data ; 

 

Board dimensional accuracy ; 

 

Placement accuracy of the component with respect to the solder lands on the board ; 

 

Solder paste position tolerances with respect to the solder lands (for reflow soldering only) ; 

 

The soldering process parameters ; 

 

Solder resist position tolerances with respect to the solder lands ; 

 

Solder joint parameters for reliable joints. 

 

Surface Mounted Technology Notes

 Page 

2002a 

smt_notes-html.html
background image

Walsin Technology Corporation

 

 

 

Footprint design for discrete CHIP-R 

 

Reflow Soldering 

 

Footprint dimensions in mm 

SIZE 

Processing remarks 

Placement 

Accuracy 

0201 

0.75 0.30

0.30 0.30 0.20

1.10

0.50

IR 

reflow 

soldering 

±

 0.05 

0402 

1.50 0.50

0.50 0.60 0.10

1.90

1.00

±

 0.15 

0603 

2.10 0.90

0.60 0.90 0.50

2.35

1.45

±

 0.25 

0805 

2.60 1.20

0.70 1.30 0.75

2.85

1.90

±

 0.25 

1206 

3.80 2.00

0.90 1.60 1.60

4.05

2.25

±

 0.25 

1218 

3.80 2.00

0.90 4.80 1.40

4.20

5.50

±

 0.25 

2010 

5.60 3.80

0.90 2.80 3.40

5.85

3.15

±

 0.25 

2512 

7.00 3.80

1.60 3.50 3.40

7.25

3.85

IR or hot plate soldering 

±

 0.25 

 

 

Wave Soldering 

 

Footprint dimensions in mm 

SIZE 

Proposed number & Dimensions 

of dummy tracks 

Placement 

Accuracy 

0603 

2.70 0.90

0.90 0.80 0.15

3.40

1.90

1x 

(0.15x0.80) 

±

 0.25 

0805 

3.40 1.30

1.05 1.30 0.20

4.30

2.70

1x 

(0.20x1.30) 

±

 0.25 

1206 

4.80 2.30

1.25 1.70 1.25

5.90

3.20

3x 

(0.25x1.70) 

±

 0.25 

1218 

4.80 2.30

1.25 4.80 1.30

5.90

5.60

3x 

(0.25x4.80) 

±

 0.25 

2010 

6.30 3.50

1.40 2.50 3.00

7.00

3.60

3x 

(0.75x2.50) 

±

 0.25 

2512 

8.50 4.50

2.00 3.20 3.00

9.00

4.30

3x 

(1.00x3.20) 

±

 0.25 

 

Footprint design for Array Resistor :  

Type 

0603*4  

0402*4  

0402*2 

Symbol / Item  WA06X / WA06T 

WA04X 

WA04Y, WA04P

2.85 +0.10/-0.05  1.80 +0.15/-0.05

1.20 ± 0.05 

0.45 ± 0.05 

0.30 ± 0.05 

0.40 +0/-0.05 

0.80 ± 0.10 

0.50 ± 0.1 

0.50 ± 0.05 

0.80 0.50 0.65 

3.10 ± 0.30 

2.00 +0.40/-0.20

1.50 +0.20/-0.10

 

Surface Mounted Technology Notes

 Page 

2002a 

smt_notes-html.html
background image

Walsin Technology Corporation

 

 

 

Footprint design for 10P8R Network Resistor : 

Symbol 

WT04X 

W

1

 

0.35 ± 0.05 

W

2

 

0.50 ± 0.05 

H

2

 

0.80 ± 0.10 

P

1

 

0.70 ± 0.05 

P

2

 

0.65 ± 0.05 

3.20 ± 0.10 

2.80 +0.40/-0.20 

 

 
 

 

Footprint design for discrete MLCC : 

 

Reflow Soldering 

 

Footprint dimensions in mm 

SIZE 

Processing remarks 

Placement 

Accuracy 

0402 

1.50 0.50

0.50 0.50 0.10

1.75

0.95

±

 0.15 

0508 

2.50 0.50

1.00 2.00 0.15

2.90

2.40

±

 0.20 

0603 

2.30 0.70

0.80 0.80 0.20

2.55

1.40

±

 0.25 

0612 

2.80 0.80

1.00 3.20 0.20

3.08

3.85

±

 0.25 

0805 

2.80 1.00

0.90 1.30 0.40

3.08

1.85

±

 0.25 

1206 

4.00 2.20

0.90 1.60 1.60

4.25

2.25

±

 0.25 

1210 

4.00 2.20

0.90 2.50 1.60

4.25

3.15

±

 0.25 

1808 

5.40 3.30

1.05 2.30 2.70

5.80

2.90

±

 0.25 

1812 

5.30 3.50

0.90 3.80 3.00

5.55

4.05

±

 0.25 

2220 

6.50 4.70

0.90 5.60 4.20

6.75

5.85

IR or hot plate soldering 

±

 0.25 

 

 

Wave Soldering 

 

Footprint dimensions in mm 

SIZE 

Proposed number & Dimensions 

of dummy tracks 

Placement 

Accuracy 

0603 

2.40 1.00

0.70 0.80 0.20

3.10

1.90

1x 

(0.20x0.80) 

±

 0.10 

0805 

3.20 1.40

0.90 1.30 0.36

4.10

2.50

1x 

(0.30x1.30) 

±

 0.15 

1206 

4.80 2.30

1.25 1.70 1.25

5.90

3.20

3x 

(0.25x1.70) 

±

 0.25 

1210 

5.30 2.30

1.50 2.60 1.25

6.30

4.20

3x 

(0.25x2.60) 

±

 0.25 

 

Surface Mounted Technology Notes

 Page 

2002a 

smt_notes-html.html
background image

Walsin Technology Corporation

 

 

 

Stencil thickness 

The following relation between the solder land dimensions (C x D) and the solder paste apertures 

dimensions must be taken into account of solder for each solder joint : 

Solder land dimensions 

Solder paste apertures 

Max. Stencil thickness 

 0.6 

 0.6 

0.4 

 C < 0.6 

D > 0.9 

C > 0.9 

0.4 

 D < 0.6 

 

(C – 0.1) x (D – 0.1) 

 

0.20 mm 

0.4 

 C < 0.6 

0.6 

 D 

 0.9 

C x (D – 0.1) 

0.20 mm 

0.6 

 D 

 0.9 

0.4 

 D < 0.6 

(C – 0.1) x D 

0.20 mm 

0.5 

 D < 0.6 

0.5 

 D < 0.6 

C x D 

0.20 mm 

C < 0.4 

D > 0.6 

(D – 0.03) x (C – 0.1) 

0.15 mm 

C < 0.4 

 0.6 

(D – 0.03) x (C – 0.05) 

0.12 mm 

Surface Mounted Technology Notes

 Page 

10 

2002a 

smt_notes-html.html
background image

Walsin Technology Corporation

 

 

Reflow Soldering 

The most common method used for reflow soldering in mass production is an infrared or convection oven. 

In special cases vapour phase reflow is more suitable. In some situations it is required to assemble only 

one or two SMDs (e.g. a very fine pitch QFP after the assembly of more standard components, or for repair 

purposes). For this application reflow methods like resistance soldering, hot gas soldering, or laser 

soldering can be used. The following figure show the process of reflow soldering : 

Solder paste printing

Component Mounting

Reflow soldering

Cleaning (by case)

 

Temperature profile 

In cases where a combination of small and large SMDs must be reflowed, the situation is complex. When the 

solder paste for small components (e.g. MLCC, Chip-R) start to melt, the temperature near the large 

components (e.g. IC) is far below the melting point. As soon as the paste for the large components start 

melting, the temperature of the 

small components can have 

reached damaging levels. 

To prevent this large 

temperature difference it is 

advisable to use a temperature 

profile as that described in 

following figure. It is important to 

know that the temperature 

differences are the only reason 

for the typical shape of the 

temperature profile. 

Surface Mounted Technology Notes

 Page 

11 

2002a 

smt_notes-html.html
background image

Walsin Technology Corporation

 

 

In many cases the following figures can be used : 

 

The temperature rise in the first zone of the oven (

α

) should be 

 10

°

C because of possible solder 

paste spattering. 

 

The temperature in the equalise zone (Te) should be 

 160

°

C and the time in this zone (Te) 

 5 

minutes (and < 1minute if possible) because of possible solder paste degradation. 

 

The peak temperature (Tp) in the last heating zone should be at least 213

°

C with a max. of 280

°

C (for 

double-sided reflow the max. temperature is 265

°

C). 

 

Tp : 213

°

C is chosen to guarantee good soldering for 80Sn/20Pb metallisations, and 280

°

C is the max. 

temperature for the glass epoxy board. 

 

The time that the solder temperature is above the melting point (Tr) should not be longer than 1 minute 

because of possible decreasing joint strength by intermetallic layers. 

Recommendation of soldering profile 

The robust construction of chip resistors allows them to be completely immersed in a solder bath of 260

°

C for 

one minute. Therefore, it is possible to mount Surface Mount Resistors on one side of a PCB and other 
discrete components on the reverse (mixed PCBs). 

Surface Mount Resistors are tested for solderability at 235

°

C during 2 seconds. The test condition for no 

leaching is 260

°

C for 60 seconds. Typical examples of soldering processes that provide reliable joints without 

any damage are given in below. 

 

 

Figure. Infrared soldering profile for Lead-Free Chip Resistors 

 

Surface Mounted Technology Notes

 Page 

12 

2002a 

smt_notes-html.html
background image

Walsin Technology Corporation

 

 

Wave Soldering 

Wave soldering was introduced to the electronic industry in the mid-fifties. Since then wave soldering 

machine have evolved from simple soldering units to fully automated systems. 

For mass production 

purposes, wave soldering 

is very often preferred to 

reflow soldering. For mixed 

print assemblies (leaded 

components on the topside, 

SMDs underneath) on 

single-sided boards, wave 

soldering is the only 

reliable soldering 

technology. The typical 

wave soldering process is 

shown as following : 

Gluing

Component pick & place

Drying

Leaded component placing

Fluxing

Drying

Wave

Cleaning

Wetting behaviour of SMDs 

SMD wave soldering places two opposing demands on the 

solder wave :  

a.  The wave must reach all components terminations ; 

b.  Bridges between adjacent narrowly placed leads must be 

avoided. 

During soldering, the component bodies are immersed in the 

solder. “Skips” are mainly caused because plastic bodies are 

not wetted by soldering, creating a depression in the solder 

wave, which is enhanced by surface tension. This can cause a “shadow” behind the component and prevent 

solder from reaching the solder lands at trailing side of the SMD. The higher the body, the shorter the leads, 

and the smaller the footprint, the more severe the shadowing effect. The design of the circuit on the board 

plays a major part in the soldering result. The conditions for wave soldering are rather critical, especially for 

multi-lead components with closely spaced leads. 

Surface Mounted Technology Notes

 Page 

13 

2002a 

smt_notes-html.html
background image

Walsin Technology Corporation

 

 

 

 

The shadow effect in wave soldering : Surface tension 
of the molten solder prevents wetting of the 
downstream solder land. 

Extending the solder land to overcome the shadow 
effect. 

 

Recommendation of soldering profile 

Surface Mountable Resistors are 

tested for solderability at a 

temperature of 235

°

C during 2 

seconds. The test condition for no-

leaching is 260

°

C for 60 seconds. 

Typical examples of soldering 

process that provide reliable joints 

without any damage, are given in 

following figure for wave soldering. 

 

 

Wave soldering of multi-lead components 

The prevention of bridging between the leads of integrated circuit packages is a particular problem. 

Sometimes it is necessary to shorten the protruding solder 

lands, and reduce the conveyor speed, or to use 

solder 

thieves

Wave soldering is a sell-established process, that has some 
limitations in SMD applications. For example, an adhesive is 
required, and care must be taken to ensure that this does not 
contaminate solder lands, leads or terminations, which would 
affect solderability and thus quality of the joints. There are some 
limitations regarding component orientation and conductor 
spacing. On the other hand, wave soldering is useful for mass 
production.

Surface Mounted Technology Notes

 Page 

14 

2002a 

smt_notes-html.html
background image

Walsin Technology Corporation

 

 

Adhesive and Adhesive Application 

When an assembly has to be wave soldered, an adhesive is essential to bond the SMDs to the substrate. 
Under normal conditions reflow-soldered substrates do not need adhesive to maintain device orientation, 
since the solder paste does this. Sometimes and exception occurs in the case of double-sided, reflow-
soldered SMD boards. Both adhesive and solder paste are required to hold devices on the bottom of the 
substrate during the reflow process, if the ration between the weight of the component and the component 
surface wetted by solder paste is too high. 

Application Techniques 

There are three different methods of applying adhesive in SMD assembly systems. The choice depends on 
the required SMD placement capacity, and the types of components used. 

 

Pin transfer 

A pin picks up a droplet of adhesive from a reservoir and transfers it to the surface of the substrate. 
Surface tension causes a portion of the droplet on the pin to form an adhesive dot on the substrate. 

 

 

 

 

Screen or stencil printing 

A fine mesh screen, coated with emulsion except for the areas 
where adhesive is required, is placed over the substrate. A 
squeegee passing over the screen forces adhesive through the 
uncoated areas of the mesh and onto the substrate. The same 
can be done by means of stencil. 

 

 

 

 

 

 

Dispensing 

The dispenser (either a time-pressure system or a rotary pump) is 
positioned over the printed board by means of a computer 
controlled X-Y-Z moving system. The adhesive dot size is 
determined by the amount of time the dispenser is activated. 

 

 

Surface Mounted Technology Notes

 Page 

15 

2002a 

smt_notes-html.html
background image

Walsin Technology Corporation

 

 

The next table summarises the principal benefits and disadvantages of the automated adhesive application 
systems : 

 

Method 

Advantages 

Disadvantage 

Pin transfer 

 

Compact system 

 

Simple, fast process 

 

Little maintenance 

 

Simultaneous dot placement 

 

Accepts pre-loaded mixed-print board 

 

Controls adhesive quantity 

 

Needs flat board surface 

 

Open system subject to outside 
influences 

 

Can not use high yield point adhesive 

Screen / Stencil printing 

 

Simultaneous dot placement 

 

Simple process 

 

Uniform dot height 

 

Needs flat board surface 

 

No obtrusions on surface 

 

Screen maintenance required 

 

Open system 

 

Dot height limited by screen emulsion 
or stencil thickness 

Dispensing 

 

Handles irregular surfaces 

 

Accepts mixed-point boards 

 

Controls adhesive quantity 

 

Closed system not subject to outside 
influences 

 

Accepts most adhesives 

 

Requires more maintenance 

 

Equipment is bulky 

 

Much slower system 

 

Surface Mounted Technology Notes

 Page 

16 

2002a 

smt_notes-html.html
background image

Walsin Technology Corporation

 

 

Adhesive requirements 

The height and volume of adhesive dots applied at each position are critical for two reasons : t

he dot must 

be high enough to reach the SMD

 ; and there

 must not be any excess adhesive

, since this can pollute 

the solder land and prevent the formation of a good soldered joint. 

 

Criteria for dot height of adhesive : C > A+B 

One solution to the problem of height variation of solder lands is to route a dummy track of height A under 
the device, as shown in following. “C” then depends only on the thickness of the SMD metallisations “B”. 

 

 

As component weight increases, adhesive green strength becomes more important. Under these conditions an 
adhesive with specific theological properties and high yield point is needed. Epoxy resins can be adapted to 
these requirements. The important point is to match adhesive properties with type of substrate, device, and 
placement method. 

Surface Mounted Technology Notes

 Page 

17 

2002a 

smt_notes-html.html
background image

Walsin Technology Corporation

 

 

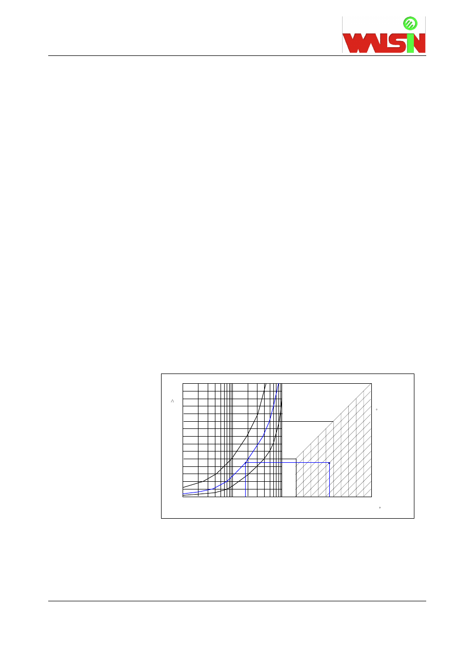
PCB design guidelines 

Mounting density 

Chip resistors are designed for handling by automatic chip placement systems. 

The temperature rise in a resistor due to power dissipation, is determined by the laws of heat - conduction, 

convection, and radiation. The maximum body temperature usually occurs in the middle of the resistor and 

is called the hot-spot temperature and depends on the ambient temperature and the dissipated power. 

The hot-spot temperature is important for mounting because the connections to the chip resistors will reach 

a temperature close to the hot-spot temperature. Heat conducted by the connections must not reach the 

melting point of the solder at the joints. Therefore a maximum solder joint temperature of 110 

°

C is advised. 

The ambient temperature on large or very dense printed-circuit boards is influenced by the dissipated power. 

The ambient temperature will again influence the hot-spot temperature. Therefore, the packing density that 

is allowed on the PCB is influenced by the dissipated power. 

Example of mounting effects 

Assume that maximum temperature of a PCB is 95 

°C

 and the ambient temperature is 50 

°C

. In this case 

the maximum temperature rise that may be allowed is 45 

°C

. In the graph below (fig.1), this point is found 

by drawing the line from point A (PCB=95 

°C

) to point B (Tamb = 50 

°C

) and from here to the left axis. 

To find the maximum 

packing density, this 

horizontal line is 

extended until it 

intersects with the 

curve, 0.125W (point 

C). The maximum 

packing, 19 

units/50*50mm

2

  (point 

D), is found on the 

horizontal axis. 

50

100

150

0

50

100

150

1

10

10

2

mounting density (units/50*50mm )

2

PCB temperature (normally around 100 C)

0

50

100

150

ambient

temperature

( C)

T

(K)

D

C

B

A

0.0625W

0.25W 0.125W

Fig.1 PCB temperature as a function of applied power, mounting density and ambient temperature

Surface Mounted Technology Notes

 Page 

18 

2002a 

smt_notes-html.html
background image

Walsin Technology Corporation

 

 

PCB design 

To take full advantage of design features embodied in the new resistors, equipment manufactures can also 

take steps to minimise thermal stress:  

1. By using forced cooling with a fan 

2. By using a board material with a high thermal conductivity (such as ceramic) 

3. By using a heat sink to reduce the temperature coefficient of the PC board 

Figures 2, 3 and 4 shows the effect of using the heat 

sink. Figure 2 plots the temperature rise as a function 

of dissipated power at the hot spot, solder spot and the 

reverse side of the PC board without heat sink. Figure 

3 shows same measurements with the board mounted 

on a 400mm

Heat sink, and figure 4 shows an 

example of the temperature rise reductions that can be 

expected when a heatsink is added on the underside of 

an FR4 PC board. 

 

 

 
 

Fig.4 Temperature rise reduction of solder spot as a 

         function of heatsink area

 

Fig.2 Temperature rise at hot and solder spot as a 

         function of dissipated, mounted on FR4 without

         use of a heatsink.

0

0.4

0.8

1.2

1.6

2.0

0

80

120

240

solder spot

T

(K)

P(W)

40

160

200

reverse side

 

0

100

200

300

400

0

10

20

30

heat sink area (mm  )

2

temperature rise 

reduction ratio

(%)

0

0.4

0.8

1.2

1.6

2.0

0

40

80

120

160

T

(K)

P(W)

solder spot

hot spot

hot spot

200

reverse side

Fig.3 Temperature rise as a function of dissipated

         power with Philips test substrate mounted on

         a 400 mm  heatsink       

2

156

 

Surface Mounted Technology Notes

 Page 

19 

2002a 

smt_notes-html.html
background image

Walsin Technology Corporation

 

 

Precaution of handling 

a. Precaution for soldering 

1.  Note that rapid heating or rapid heating or rapid cooling or local heating will easily damage 

CHIP-R/MLCC. 

2.  DO NOT give the heat shock over 100

°

C in the process of soldering. We recommend taking 

preheating and gradual cooling. 

b.  Precaution for handling of substrate 

1.  DO NOT exceed to bend the PCB 

after soldering this product extremely. 

2.  Mounting place must be as far as 

possible from the position that is 
closed to the break line of PCB, or 
on the line of large holes of PCB. 

3.  DO NOT bend extremely the PCB in 

mounting another components. IF 
necessary, use Back-up pin (Support 
pin) to prevent from bending 
extremely. 

4.  DO NOT break the PCB by hand. 

We recommend to use the machine or the jig to break it. 

c.  Caution of wave soldering 

1.  We do not recommend the wave soldering to this product, because of solder bridging 

happens owing to narrow 0.8mm pitch of this product. 

d.  Soldering gun procedure 

Note the follows, in case of using soldering gun for replacement : 

1.  The tip temperature must be less than 280

°

C for the period within 3 seconds by using 

soldering gun under 30W. 

2.  The soldering gun tip shall not touch this product directly. 

The tip of soldering iron 
should not directly touch 
the chip component to 
avoid thermal shock on the 
interface between 
termination and body 
during mounting, repairing 
or de-mounting process 
(shall ensure both 
termination had been 
molten still before chip 
component removed). 

Ha n d  s old erin g m eth od

Ha n d  s old erin g m eth od

Bod y (cera m ic)

Termination (metal)

Solder pad

Surface Mounted Technology Notes

 Page 

20 

2002a 

smt_notes-html.html
background image

Walsin Technology Corporation

 

 

e. Storage conditions 

Note the following, in case of storing this product : 

1.  Avoid the atmospheres which are high temperature, high humidity, dusty and having 

corrosive gas (Hydrogen chrolide, Sulfurous acid gas, Hydrogen sulfide etc.) to prevent 
terminal solderability fromdeclining. Keep the storage conditions less than 40

°

C and 70% 

relative humidity, and use up this product in 6 months as far as you can. 

2.  Avoid direct heat and sunshine to prevent the tape of package from transforming and 

sticking to this product. 

3.  Capacitance value occasionally will descend in several percent at the characteristic of high K 

capacitor material. 

 

 

 

Contact Information 

For more information, please contact with: 

Walsin Technology Corporation 

Tel

 

:

 886-3-475-8711 

Fax No. 

886-3-475-7130 

Web Site 

:

 

http://www.passivecomponent.com

 

e-Mail :

 

info@passivecomponent.com

 

Address : 

566-1, Kao-Shi Road, Yang-Mei, Tao Yuan, Taiwan, R.O.C. 

or your local 

Walsin Technology Corp. Sales Representatives.

  

 

Surface Mounted Technology Notes

 Page 

21 

2002a