background image

1

K.  TEST PARAMETERS AND ELECTRICAL PROPERTIES

Electrical behavior of ceramic chip capacitors is strongly dependent on test conditions, notably
temperature, voltage and frequency, for reasons explained in Sections F through I . This dependence
on test parameters is more notable with Class II ferroelectric dielectrics, and negligible or more
easily predictable with Class I formulations.  For this reason, certain standards of measurement have
been established in the industry, with the appropriate limits of performance for any given electrical
property and dielectric characteristic.

TEMPERATURE DEPENDANCE

Temperature Coefficient (Capacitance-Temperature Dependance):

 The variance of capacitance with

temperature is used to classify dielectric formulations, as described in Section J. In general, it is
found that materials with higher dielectric constants at 25

°

C display greater change with tempera-

ture, on the hot or cold side of reference, as the higher K materials are based on formulations which
shift the sharp Curie peak to room temperature.  Lower K dielectrics, which are formulated to
suppress and broaden the Curie peak over temperature, display more stability, as intended.  This
effect is clearly evident in the curves of Figure J-3 for X7R and High-K dielectrics.

The temperature coefficient (T.C.) is expressed in ppm/

°

C for Class I type ceramics, and as %

C for

Class II.  Measurements are obtained by maintaining chip capacitor samples under controlled tem-
perature conditions in a temperature or “T.C.” chamber, while accurate readings of capacitance are
made at various temperatures, usually -55

°

C , 25

°

C  and 125

°

C.  Accuracy of fixtures and test equip-

ment is obviously important, especially when measuring lower capacitance values where small changes
in ppm/

°

C  may provide only a fraction of a picofarad in capacitance change from the reference

value.  Care must also be exercised when measuring higher value Class II dielectrics, due to the de-
aging property of these materials.  The de-aging of samples at the hot stage of the measurements
may result in erroneous T.C. calculations; it should be a practice to de-age these capacitors for a
minimum of one hour before T.C. measurements are made.

The temperature coefficient for Class I dielectrics is calculated in ppm/

°

C  for any given temperature

range, using the following expression:

T.C. (ppm/

°

C) = [(C

2

- C

1

)

  

/ C

1

(T

2

-T

1

)]10

6

where: C

= capacitance @ T

1

C

2

 = capacitance @ T

2

and T

2

>T

1

NOVACAP

TECHNICAL BROCHURE

tech_test_params-html.html
background image

2

Examples:

Capacitance measurements at temperature are as follows:

-55

°

C, 1997 pF

25

°

C, 2000 pF

125

°

C, 2004 pF

Computation of the T.C. slope for the -55

°

C to 25

°

C range:

T.C. = [(2000-1997) 10

6

] / 1997[25-(-55)] = 18.7 ppm/

°

C

Computation of the T.C. slope for the 25

°

C to 125

°

C range:

T.C. = [(2004-2000) 10

6

] / 2000(125-25) = 20.0 ppm/

°

C

The temperature coefficient for Class II dielectrics is reported as the percent change from the room
temperature measurement, as the variations observed are several orders of magnitude greater than
those for the linear dielectrics.

The acceptable limits for any given dielectric characteristic are specified in the EIA 198 specifica-
tion, as shown in Tables J-1 and J-2.

Dielectric Loss and Temperature:

  Class I dielectrics display only negligible change in dissipation

factor with temperature over the standard -55

°

C to 125

°

C temperature range.  Industry standards

require that at 25

°

C the DF is not to exceed .001 (0.1%) for standard linear dielectrics (COG-NPO)

and not to exceed .002 (0.2%) for the extended T.C. series of dielectrics.

Class II dielectrics show a general decrease of DF with temperature, notably at or near the Curie
Point of the material.  Above the Curie Point, the energy consuming ferroelectric domains no longer
operate and internal losses are minimized.  At temperatures below the Curie Point, the domain
relaxation processes for any given Vac signal are activated, and energy loss is reflected in an increase
in the dissipation factor.  The complexity of the ceramic microstructure and the resultant multiple
Curie Points of the aggregate polycrystalline components in any given formulation do not permit a
clear prediction of DF behavior with temperature, other than the fact that DF is inversely propor-
tional to temperature.  Industry standards for Mid-K dielectrics, such as X7R, require that at 25

°

C

the DF not exceed .025 (2.5%). High-K dielectrics, such as Z5U and Y5V, are often specified with
a maximum DF of .030 (3.0%) at 25

°

C.  Typical DF curves with temperature are shown in Figure K-

1 for several dielectrics.

NOVACAP

TECHNICAL BROCHURE

tech_test_params-html.html
background image

3

Insulation Resistance and Temperature:

 The properties which give rise to the insulation resistance of

dielectrics were outlined in Section G-1.  As described in that portion of the text, the mechanisms of
conduction are temperature dependent, and leakage of current increases with temperature, as added
thermal energy increases the diffusion of charge carriers.  It is found that in general the IR of most
dielectrics at 125°C decreases by a factor of one to two orders of magnitude from the 25°C measure-
ment.  Industry standards require that the IR readings at 125°C exceed 100 ohm-Farad, (10% of the
values shown in Table G-1).

Dielectric Strength and Temperature:

 The dielectric strength of insulators is inversely proportional

to temperature, as heat lowers the intrinsic resistivity of the material as discussed previously.  As a
general rule, a properly designed capacitor of sound construction should withstand the normal 25°C
dielectric withstanding “flash” voltage at 125°C.

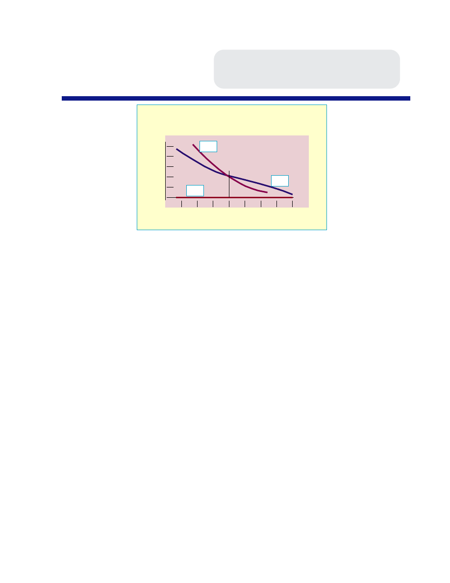
VOLTAGE (VDC) DEPENDANCE

Vdc Coefficient:

 Ferroelectric Class II formulations are sensitive to dc voltage.  In all cases an

eventual decrease in dielectric constant occurs with dc bias, which is more severe with dielectrics of
higher dielectric constant.  This behavior is attributed to a constraint of the dc voltage on the re-
sponse of the polarizing mechanisms which give rise to the dielectric constant of the material.

The curves of Figure K-2 are data for various formulations.  The curves show the expected capaci-
tance change with increased volts/mil dc bias.  As is evident from these data, consideration of the
effect of dc bias requires knowledge of the construction of the capacitor, as the thickness of the
individual dielectric layers will determine the volts/mil loading of the device during operation.  In
effect capacitors of identical capacitance value and voltage rating may behave quite differently de-
pending upon internal construction.

-50    -25      0      25     50      75    100    125

temperature, 

o

C

%DF

5.0
4.0
3.0
2.0
1.0

0

FIGURE K - 1

DF VS. TEMPERATURE

12345

12345

12345

COG

1234

1234

1234

Y5V

1234

1234

1234

X7R

NOVACAP

TECHNICAL BROCHURE

tech_test_params-html.html
background image

4

Consider the following examples:

a. Capacitor of  0.1 mfd, constructed of 20 layers, 1.0 mil thick, X7R dielectric, rated at 50
volts: The predicted capacitance change, based on the data of Figure K-2, is -25%, as the
dielectric is stressed at 50 volts/mil when operating at 50 Vdc.

b. Capacitor of 0.1 mfd, built with the same dielectric, but constructed with 30 layers 1.5
mils thick.  At 50 Vdc. operation, however, the dielectric layers experience only 33 volts/mil,
and the predicted capacitance change is therefore reduced to -15%.

c. Capacitor of 0.1 mfd, built with 40 layers of 2.0 mil dielectric will experience only 25
volts/mil at 50 Vdc, and the predicted capacitance change is further reduced to -10%. The
effect is of considerable importance in the design of capacitors intended to meet characteris-
tics which require that the combined temperature and voltage coefficients (TVC) not exceed
a certain 

C over the operating temperature range, at working voltage.  Assuming that a

dielectric is available with T.C. characteristics well within the ±15% max 

C, the manufac-

turer need only be concerned with the negative contribution of the voltage coefficient.  For
the examples stated above, and assuming that the T.C. of the dielectric utilized varies typi-
cally ±7% maximum, the maximum TVC for the three examples are as follows:

T.C.

VC

Max. TVC

Characteristic

a.

+7%-7%

-25% (+7%-32%)

X7R only

b.

+7%-7%

-15% (+7%-22%)

X7R and BX (marginal)

c.

+7%-7%

-10% (+7%-17%)

X7R and BX

10     20      30     40     50      60     70     80

Volts/Mil dielectric thickness

%

C

0

-10
-20
-30
-40
-50

FIGURE  K - 2

VOLTAGE COEFFICIENTS

1234

1234

1234

Y5V

1234

1234

1234

BX

1234

1234

1234

X7R

NOVACAP

TECHNICAL BROCHURE

tech_test_params-html.html
background image

5

Voltage Conditioning - Aging Effects:

 Class II dielectrics experience an accelerated aging effect when

stressed by dc voltage, as briefly described in Section G-3.  This effect is evident even at room tempera-
ture, and is more dominant at higher voltage and with dielectrics with elevated dielectric constant.  In the
manufacture of close tolerance (±5%) Mid-K dielectrics, or high voltage units, the product is usually
reheated after IR or dielectric withstanding voltage testing, to maintain capacitance tolerance and establish
a fresh aging cycle.  X7R units may derate as much as 3% in capacitance after dc withstanding voltage
testing at 300 volts/mil.

DF and dc Voltage:

 Class II dielectrics experience a decrease in dielectric loss with increasing volt-

age.  The DF may be reduced by a factor of 75% at 100 volts/mil bias for X7R dielectric.

AC VOLTAGE DEPENDANCE

AC Voltage Coefficient:

 Class II dielectrics are fairly sensitive to test voltage, which can create

significant changes in the measured dielectric constant, as illustrated in Figure K-3.  The response to
AC voltage always shows an increase in dielectric constant with the AC signal, with the higher K
dielectrics responding more readily, until some threshold voltage value is reached where the effect
reverses. Class I dielectrics, operating in the paraelectric state, display negligible or only limited
response to the AC bias.

Industry standards specify a test voltage of 1.0 +/- 0.2 Vrms for all dielectrics with the exception of
some High-K less stable Class II bodies which are specified by manufacturers at 0.1 or 0.5 Vrms,
typically.  Application of these materials at other voltages therefore presents correlation problems,
even at low voltage stress (under 5 Vrms/mil) as evident from the data of Figure K-3.  As occurs
with the interpretation of dc voltage coefficient, the situation is further complicated by the added
variable of capacitor design, i.e. dielectric thickness of the individual layers.

0.1                        1.0                     10

test voltage (Vrms/Mil diel thick)

%

C

50
40
30
20
10

0

FIGURE  K -3

AC  VOLTAGE  COEFFICIENT

1234

1234

1234

COG

1234

1234

1234

X7R

1234

1234

1234

Y5V

NOVACAP

TECHNICAL BROCHURE

tech_test_params-html.html
background image

6

Dielectric Loss and AC Voltage:

 The increase of dielectric constant with AC test voltage is accompanied

by a marked increase in the dissipation factor, as illustrated in Figure K-4.  The multilayer construction of
chip capacitors, with thin dielectric layers, precludes application in circuitry with large AC voltage and high
current, as dielectric losses become quite significant between 5 and 20 Vrms/mil stress.

FREQUENCY DEPENDANCE

The close interrelationship of frequency and dielectric polarization and dielectric loss was described
in some detail in Sections F-2 and F-4.  Increased frequency of an applied field results in a decrease
of the measured capacitance value.  This dependence is due to the inability of some of the polarizing
processes to respond to the ever faster polarity reversals of the field, such that the net contribution
of polarization to the dielectric constant of the material is reduced, and the dielectric loss is in-
creased.  These effects are common to all the dielectric groups, but are more predominant in the
ferroelectric formulations which display large ionic polarization. Typical curves for capacitance and
dissipation factor versus frequency are illustrated in Figures K-5 and K-6.

AGING -TIME DEPENDANCE

The phenomenon of ferroelectric dielectric aging is described in Section G-3.  Restraints on the %
per decade hour aging rates are usually specified by users of chip capacitors.  X7R is expected to age
less than 2.5%/decade hour, and most dielectrics within this characteristic typically have aging rates
from 0.8% to 2.0% per decade hour.  The High-K aging specification is more liberal by necessity; an
aging rate of 5% per decade hour is considered normal.

0.1                        1.0                     10

test voltage (Vrms/Mil diel thick)

%DF

6
5
4
3
2
1

FIGURE K -4

AC BIAS EFFECT ON DIELECTRIC LOSS

12345

12345

12345

X7R

1234

1234

1234

Y5V

NOVACAP

TECHNICAL BROCHURE

tech_test_params-html.html
background image

7

Many of the Class II dielectrics may also display aging of the dissipation factor, an effect more predomi-
nant with High-K formulations.

1.0               10             100           1000

frequency (K

 

Hz)

%

C

FIGURE  K -5

CAPACITANCE VS. FREQUENCY

0

-5

-10

-15

1234

1234

1234

COG

1234

1234

1234

X7R

1.0               10             100           1000

frequency (K

 

Hz)

% DF

FIGURE  K -6

DF VS. FREQUENCY

4.0

3.0

2.0

1.0

0.0

1234

1234

1234

X7R

1234

1234

1234

COG

NOVACAP

TECHNICAL BROCHURE